Skip to main content
U.S. flag

An official website of the United States government

Here’s how you know

Dot gov

Official websites use .gov
A .gov website belongs to an official government organization in the United States.

HTTPS

Secure .gov websites use HTTPS
A lock (LockA locked padlock) or https:// means you have safely connected to the .gov website. Share sensitive information only on official, secure websites.

  • Environmental Topics
  • Laws & Regulations
  • Report a Violation
  • About EPA
Contact Us

Grantee Research Project Results

2011 Progress Report: Environmental Research and Technology Transfer Program of The Consortium for Plant Biotechnology Research, Inc.

EPA Grant Number: EM834388
Center: The Consortium for Plant Biotechnology Research, Inc., Environmental Research and Technology Transfer Program
Center Director: Schumacher, Dorin
Title: Environmental Research and Technology Transfer Program of The Consortium for Plant Biotechnology Research, Inc.
Investigators: Schumacher, Dorin , Bonning, Bryony C. , Pantalone, Vincent R , Doty, Sharon , Ellis, Deborah Landau , Qu, Rongda , Robertson, Dominique
Current Investigators: Schumacher, Dorin , Cheng, Zong-Ming , Kessler, Michael , Larock, Richard C. , Paterson, Andrew , Pullman, Gerald , May, Sheldon
Institution: The Consortium for Plant Biotechnology Research, Inc , Iowa State University , University of Tennessee , University of Washington , North Carolina State University
Current Institution: The Consortium for Plant Biotechnology Research, Inc
EPA Project Officer: Packard, Benjamin H
Project Period: January 1, 2009 through December 31, 2012 (Extended to December 31, 2013)
Project Period Covered by this Report: January 1, 2011 through December 31,2011
Project Amount: $1,706,000
RFA: Targeted Research Center (2009) RFA Text |  Recipients Lists
Research Category: Targeted Research , Consortium for Plant Biotechnology

Objective:

Iowa State University

The overall goal of this project is determine whether an aphid gut binding peptide such as GBP3.1 can be combined with the Bt-derived cytolytic toxin for production of aphicidal toxins. Our ultimate goal is to produce transgenic plants that are aphid resistant. The objectives of this proposal are to (i) determine which peptide characteristics are essential for binding to the aphid gut, and (ii) insert the gut binding residues into a Bt-derived cytolytic toxin, and test the modified toxins for stability in and increased binding to the aphid gut, and for toxicity. We have made significant progress with both of these objectives during year 2 of the project.

University of Washington

Our overall objectives were to develop efficient transformation protocols for willow, and then to produce transgenic plants with CYP2E1 for enhanced phytoremediation of TCE and other pollutants and with antisense 4CL-1 for reduced lignin to enhance efficiency of biofuel production.

University of Tennessee

The long term objective of this proposed research is to develop a commercially acceptable, environmentally superior, high yielding soybean variety with low seed phytate. We have four specific aims: 1) Production of low phytate soybean seeds to enable multiple environment field research and pilot plant research processing of soy meal, 2) Analytical testing of the improved low phytate soybean seeds, 3) Chicken feeding trials to document enhanced nutrition, and 4) Insertion of a novel industry proprietary RFO transgene to soybean that modifies expression as an alternative strategy to improve livestock nutrition and metabolic growth rates.

North Carolina State University

  1. Test AtAVP1, and maize CBP (calcium binding domain of careticulin) transgenic rice lines, and F1 progeny of the CBP-expressing transgenic rice lines crossed with AVP1- expressing transgenic rice lines for drought tolerance.
  2. Test AtAVP1, and maize CBP (calcium binding domain of careticulin) transgenic rice lines, and F1 progeny of the CBP-expressing transgenic rice lines crossed with AVP1- expressing transgenic rice lines for salt stress tolerance.

Progress Summary:

Iowa State University

Specific Aim 1. Determine peptide characteristics essential for binding
The goal of this objective is to characterize the gut binding properties of the peptide GBP3.1 and to identify the minimum sequence required for gut binding. This minimal sequence could then be added to the Cyt2Aa toxin for aphid gut binding. The approach was to generate Alanine mutants of GBP3.1, produce recombinant proteins fused with EGFP and test for pea aphid gut binding.

Three alanine mutants of GBP3.1 constructed during Year 1 of the project were used to test the role of three charged amino acids Lys4, Lys5 and Arg8 in GBP3.1 in binding to the aphid gut. These residues are targets for proteolytic cleavage by trypsin and chymotrypsin and may render modified Cyt2Aa constructs produced in Aim 2 susceptible to proteolytic degradation. Peptide- EGFP fusion proteins were expressed in E. coli Top10 cells using the pBAD-His-B vector, and purified on a nickel affinity column (Sigma) along with native GBP3.1-EGFP, EGFP alone and C6-EGFP (C6 is an in vivo, non-binding peptide) as control treatments. The relative binding of native and mutant GBP3.1 peptides to pea aphid gut brush boarder membrane vesicles (BBMV) was estimated by pull down assay. Briefly, equal amounts of pea aphid gut BBMV protein were incubated with 50 nM (125 ng) of GBP3.1-EGFP, alanine mutant, or EGFP in binding buffer. Proteins that bound BBMV were separated by 12% SDS-PAGE and detected by Western blotting using anti-GFP antibodies. To quantify the relative binding to pea aphid BBMV, ImageJ software was used to measure the intensities of each band in a scanned image of the blot, which were then compared with the intensities of known amounts of protein. The experiment was conducted twice, with the ImageJ analysis conducted for one blot. None of the three mutations made in GBP3.1 completely abolished binding to pea aphid BBMV. The ImageJ analysis indicated no difference in the pea aphid gut BBMV binding efficiency of GBP3.1(K5A)-EGFP and GBP3.1(R8A)-EGFP while the GBP3.1(K4A)-EGFP showed significantly less binding when to GBP3.1 (Figure 1).

Figure 1

Figure 1. Relative binding of GBP3.1- EGFP and GBP3.1 alanine mutants to pea aphid gut BBMV. No binding was detected for EGFP and BBMV only (negative controls) in binding experiments. Band intensities from the Western blot were quantified using ImageJ software.

In vivo binding analysis of GBP3.1 and the GBP3.1 mutant-EGFP fusions showed binding in the anterior midgut (stomach) region of the pea aphid gut. These results confirm the in vitro binding results that the alanine mutations did not abolish pea aphid gut binding of the peptide. No binding was observed in the EGFP only and diet only control aphids.

Summary (Aim 1) Mutation of Lys4, but not Lys5 or Arg8, significantly decreased binding to pea aphid gut BBMV. Feeding assays showed that GBP3.1-EGFP and the mutant constructs behaved in a similar manner to GBP3.1-EGFP, with fluorescence observed in the stomach.

Specific Aim 2. Construct novel Cyt proteins with aphid toxicity
The goal of this aim is to develop aphid active Cyt2Aa by introducing an aphid gut binding peptide into the toxin. The three dimensional structure of Cyt2Aa (Li et al., 1996) indicates the presence of seven exposed loops. Loop 6, which is believed to be involved in toxicity, was not modified (Perez et al., 2005). Constructs for addition to (Cyt2Aa-GBP3.1-Addition-Loopn, CGALn), or substitution (Cyt2Aa- GBP3.1-Substitution-Loopn, CGSLn) of the Cyt2Aa loops with the 12 amino acid GBP3.1 have been made. In contrast to all other constructs, CGSL3 was highly unstable and hence was not used for further analysis.

Relative binding of wild type Cyt2Aa and CGALn to pea aphid gut BBMV
Changes in the ability of Cyt2Aa to bind to pea aphid gut proteins following introduction of GBP3.1 were examined by pull down assay. Figure 2 shows binding of CGALn mutants from two replicate experiments: In contrast to Cyt2Aa, all of the addition mutants showed some binding to the pea aphid gut BBMV. CGAL4 appeared to bind more extensively than other CGALn mutants. CGAL1, CGAL4 and CGAL7 showed higher binding in both replicate experiments. In addition, both CGAL1 and CGAL4 were shown to bind to the pea aphid gut membrane (data not shown). Importantly, the toxins were processed in the aphid gut to their active, stable form.

Figure 2

Figure 2: Relative binding of wild type Cyt2Aa and CGALn to pea aphid gut BBMV in pull down assays. Band intensities from the Western blot (below) were quantified using ImageJ software.

 

Toxicity of CGALn against mosquito larvae and aphids
To assess whether introduction of the peptide sequence GBP3.1 into Cyt2Aa altered toxicity against mosquito larvae, mosquito feeding assays were conducted with CGALn and wild type Cyt2Aa. The feeding assay results showed that CGAL1, CGAL3 and CGAL4 as well as Cyt2Aa retained toxicity, which indicates that introduction of the GBP3.1 into loop 1, 3 or 4 of Cyt2Aa did not significantly affect the core structure or functional domains (Table 1). This is consistent with studies showing that mutation of amino acid residues in these loops does not affect the pore forming activity of Cyt2Aa (Promdonkoy and Ellar, 2000; Promdonkoy and Ellar, 2005). In contrast, the toxicity of CGAL2, CGAL5 and CGAL7 against mosquito larvae was significantly reduced compared to wild type Cyt2Aa indicating that addition of the peptide to loops 2, 5, or 7 disrupted toxin function.

All six addition mutants were tested for their relative toxicity against the pea aphid, Acyrthosiphon pisum and the green peach aphid, Myzus persciae by membrane feeding assay. The mutant toxins, CGAL1, CGAL3 and CGAL4 showed concentration dependent effects against A. pisum and M. persciae. CGAL1, CGAL3 and CGAL4 were less toxic to M. persciae than to A. pisum (Table 1), which may result from weaker binding of the mutant toxins: GBP3.1 itself binds only weakly to the M. persciae gut when compared to binding to the gut of A. pisum (Liu et al., 2010). LC50 values for CGAL1, CGAL3 and CGAL4 against the pea aphid were 12.809, 5.807 and 8.93 μg/mL, respectively (Table 1). The relative toxicity compared to wild type Cyt2Aa could not be compared as the Cyt2Aa LC50 could not be estimated under the experimental conditions employed. The highest Cyt2Aa concentration used (150 μg/ml), exerted little effect indicating that the LC50 was well above 150 μg/mL.

Table 1: Toxicity of wild type Cyt2Aa and Cyt2Aa-GBP3.1 addition mutants against A. aegypti, A. pisum and M. persciae LC50 values were estimated for mortality at day 4 (except where indicated) by probit analysis using PoloPlus statistical software. The relative LC50 for mosquitoes was calculated by dividing the mutant toxin LC50 by the wild type Cyt2Aa LC50. ND could not be determined under the experimental conditions used. LC50 values could not be determined for CGAL2, CGAL5 and CGAL7 under the conditions employed.

Toxin Mosquital activity A. pisumtoxicity M. persicae toxicity
LC50
(µh/ml)
CL95% Relative
toxicity
LC50
(µg/ml)
CL95% LC50
(µg/ml)
CL95%
Cyt2Aa 0.368 0.210 - 0.903 1 ND ND ND ND
CGAL1 0.217 0.058 - 0.432 0.58 12.809 2.51 - 21.00 55.96 3501 - 65.73
CGAL3 0.621 0.238 - 1.301 1.68 5.807 0.65 - 12.23 43.17 17.18 - 83.04
CGAL4 0.181 0.008 - 0.822 0.49 8.93 (Day3) 0.83 - 22.43 95.29 34.67 - 152.9

Table 2: Toxicity of wild type Cyt2Aa and Cyt2Aa-GBP3.1 substitution mutants against A. aegypti and A. pisum. LC50 values were estimated for mortality at day 3 by probit analysis using PoloPlus statistical software. The relative LC50 for mosquitoes was calculated by dividing the mutant toxin LC50 by the wild type Cyt2Aa LC50. ND, not determined.

CGAL5 and CGAL7 under the conditions employed.

Toxin Mosquital activity A. pisumtoxicity
LC50
(µh/ml)
CL95% Relative
Toxicity
LC50
(µg/ml)
CL95% Relative
Toxicity
Cyt2Aa 0.295 0.103 - 0.890 1 ND ND ND
CGSL1 0.358 0.192 - 0.793 1.21 32.95 6.40 - 93.40 ND
CGSL4 0.402 0.116 - 0.915 1.36 14.88 4.3 - 25.6 ND

Toxicity of CGSLn against mosquito larvae and aphids
Mosquito feeding bioassays showed that CGSL1, and CGSL4 retained toxicity similar to Cyt2Aa (Table 2). The toxicity of CGSL3 could not be determined due to the instability of this protein. CGSL2, CGSL5 and CGSL7 showed reduced toxicity against mosquito larvae and LC50 values could not be determined from the dose range used for these assays.

All six substitution mutants were tested for their relative toxicity against A. pisum using membrane feeding assay. The LC50 values for CGSL1 and CGSL4 against the pea aphid were 32.95 and 14.88 μg/mL, respectively (Table 1). The relative toxicity could not be compared with wild type Cyt2Aa as the LC50 for Cyt2Aa could not be estimated under the experimental conditions employed.

TEM analysis of physiological damage caused by CGAL1
Pea aphids (second instar) were fed on a single concentration (100 μg/mL) of CGAL1 or wild type Cyt2Aa in complete artificial diet by membrane feeding assay. Control aphids were fed on diet only. After 72 hr, aphids were processed for transmission electron microscope analysis. CGAL1 caused significant damage to the pea aphid gut microvilli (Figure 3) compared to the control, in which the microvilli are densely packed. Wild type Cyt2Aa also showed some damage to the gut microvilli; however it was not as severe as observed for CGAL1-fed aphids where almost complete loss of the microvilli was observed.

Figure 3

Figure 3: CGAL1 destroys the pea aphid gut membrane. Transmission electron micrographs show the intact apical surface of the gut membrane and well-structured microvillar membranes (M) projecting into the gut lumen (L) in aphids fed on control diet (Control). In contrast, the guts of aphids fed on CGAL1 were severely damaged (CGAL1), and minor damage was observed in aphids fed on Cyt2Aa (WTCyt2Aa).

Summary (Aim 2)
All mutant constructs were proteolytically stable except for CGSL3. Pull-down assays showed increased binding of CGALn mutants to pea aphid gut BBMV and no binding of Cyt2Aa. In vivo proteolytic activation and gut binding experiments indicated that mutant toxins are processed to their active state in the pea aphid. Four mutant toxins, CGAL1, CGAL4, CGSL1 and CGSL4 were detected in the pea aphid gut membrane fraction.

Three addition mutants (CGAL1, CGAL3 and CGAL4) and two substitution mutants (CGSL1 and CGSL4) showed toxicity to mosquito larvae, while the other mutant toxins showed reduced toxicity. These five mutant toxins, which maintained toxicity against mosquito larvae also showed increased toxicity against aphids. CGAL1, CGAL3 and CGAL4 showed significantly higher toxicity against A. pisum and M. persciae compared to Cyt2Aa. CGSL1 and CGSL4 also showed significantly higher toxicity against the pea aphid compared to Cyt2Aa. Comparative analysis of pea aphid toxicity for both the addition and substitution mutants indicates that loop 4 mutants have similar toxicity indicating that loop 4 is the ideal site for Cyt2Aa modifications. TEM analysis of the guts of CGAL1 fed pea aphids showed clear damage to the microvillar structure with almost complete loss of microvilli from the gut membrane.

University of Washington

We have nearly a dozen willow clones that have exhibited superior performance in the field. From our studies with these different willow clones, we have found line S-365 (Salix discolor) a suitable line for transformation experiments based on its ease of propagation both in vitro and by greenhouse cuttings and by its natural abilities in TCE removal. We therefore focused on this willow line for transformation.

Over the year, we tried numerous combinations and levels of anti-oxidants, media supplements, and hormone treatments to encourage development of calli without necrosis following transformation. Unfortunately, none of the methods were successful. Willow continues to be an extremely recalcitrant genus for plant tissue culture and transformation. With the application of the antioxidants to the MS medium, however, explants remained green longer before ultimately succumbing to necrosis.

University of Tennessee

Using single nucleotide polymorphism (SNP) marker technology, with SNPs constructed directly from soybean (Glycine max) DNA sequence information, we can now select individual single plant progenies with 100% accuracy for each of the two low phytate genes. Our confirmed molecular markers have been approved the gene symbols cqPha-001 and cqPha-002 by the Soybean Genetics Committee. We have used SNP markers this year to confirm that our new low phytate soybean line TN09-239 is double homozygous recessive for the two alleles that express low phytate concentration in soybean seeds. The gene with the greatest effect is located approximately 75 cM from the telomere of Chromosome 3 and the modifier gene is located approximately 71.4 cM from the telomere of Chromosome 19 on the USDA consensus map (Figure 1, supplemental attachment). Our new line is a BC4-derivative of its high yielding recurrent parent commercial cultivar 5601T developed by our program.

We produced seed stocks in the 2010 winter nursery that enabled us to enter TN09-239 to the 2010 USDA Southern Uniform Preliminary Test. Its recurrent parent, 5601T is our commercial cultivar that serves as a USDA high yielding check for that test. The experiment was planted at twelve field trial sites in nine states, with two replications, throughout the southern region: Rohwer, AR; Pine Tree, AR; Ullin, IL; McCune, KS; Pittsburg, KS; Queenstown, MD; Portageville, MO; Stoneville, MS; Plymouth, NC; Kinston, NC; Jackson, TN; and Warsaw, VA. The multi-environment field test was used to gauge the agronomic and seed quality performance of TN09-239 relative to its recurrent parent commercial cultivar 5601T, in order to gauge commercial suitability or provide additional information to target further agronomic improvement prior to commercial launch. The low phytate line TN09-239 was equivalent to its recurrent parent 5601T for seed protein concentration (405 g Kg-1 for TN09-239 vs. 403 g Kg-1 for 5601T), seed oil concentration (202 g Kg-1 for TN09-239 vs. 201 g Kg-1 for 5601T), reaction to soybean cyst nematode HG types 1.2.5.7 and 5.7, stem canker resistance score, flower, pubescence, and pod color, and days to plant maturity. However the seed yield of the low phytate line TN09-239 (2,714 Kg ha-1) was 85% the yield of 5601T (3,185 Kg ha-1) and was 91% of the yield of all 47 test entries, which included four commercial cultivars. Although the seed yield level averaged over this broad number of environments is reasonably good, the material is not yet up to commercial high yielding cultivar status. Thus, we plan further development with the material to target commercialization. Moreover, It was notable that TN09-239 (at 114 cm plant height) was significantly taller than 5601T (at 74 cm plant height). This likely contributed to the higher plant lodging score and reduced seed yield in TN09-239.

Our seed stock increase was also sufficient to plant 5601T (normal, high yield check), TN09-239 (BC4- derived, low phytate), TN07-602 (BC3-derived, low phytate), and TN07-604 (BC2-derived, low phytate) in the 2010 Quality Traits Test over nine field trial locations in seven states: Stuttgart, AR, Pitsburg, KS, Lexington, KY, Queenstown, MD, Portageville-Clay, MO, Portageville-Loam, MO, Knoxville, TN, Blacksburg, VA, and Warsaw, VA. In addition to testing agronomic performance, this test analyzes the total content of soy meal produced by each entry. Moreover, we were interested in testing the effect of anticipated yield increases with each additional backcross generation.

Data analyzed from the 2010 Quality Traits Test showed that our low phytate line TN09-239 averaged 93% the yield of 5601T and 107% the yield of all 27 test entries, including the checks; however, in that test the 23 entries were specifically placed in the test because of their unique quality traits (eg. protein or oil quality) and experimental lines bred for seed quality traits typically do not yield as high as lines bred directly for yield, like those entered in the USDA Uniform Tests. Nevertheless, because an important goal of this project is to remedy the yield limitations of low phytate soybean, it was encouraging that our new low phytate TN09-239 yielded reasonably well ( 2,748 Kg ha-1) in that test. Its prior generation BC3 sister line TN07-602 (2,667 Kg ha-1) produced lower seed yield and the BC2 sister line TN07-604 (2,446 Kg ha-1) yielded even less, as anticipated, due to lower recurrent parent genome recovery in earlier backcross generations. Graphically, if the backcross generation was plotted on the X-axis, with 5601T recurrent parent indicated at '9' for illustration purposes (because an average BC9 generation without molecular fingerprinting would be expected to have essentially all (99.9%) of recurrent parent genome recovery), and seed yield plotted on the Y-axis, the trend in this study appeared to fit a logarithmic function (R2 = 0.95), asymptotically approaching the yield of 5601T (Figure 2). Similar to what we observed in the USDA Southern Uniform Preliminary Test, TN09-239 (at 117 cm plant height) was significantly taller than 5601T (at 81cm plant height) in the Quality Traits Test.

Figure 2

Figure 2. Generation of backcross (X-axis, where the low phytate lines are depicted at backcross 2 = TN07-604, 3= TN07-602, 4 = TN09-209 and the normal recurrent parent at 9 = 5601T) exhibited an asymptotic approach to full seed yield levels of the recurrent parent.

We presently speculate that TN09-239 is segregating for the Dt1 locus on chromosome 19 (LG L), where the dominant form of that locus has the indeterminate growth habit. Indeterminacy in a MG V soybean would lead to excessive plant height and contribute to lodging. The two genes for low phytate were introgressed from the indeterminate line Cx1834-2, and one of the genes (Pha-002) resides on LG L, approximately 18 cM from the Dt1 locus (Figure 1, supplemental attachment). Selection for that low phytate locus likely brought along the dominant form of the relatively nearby Dt1 locus. To overcome this problem, we accomplished a fifth backcross to the recurrent parent and harvested individual BC5F2 single plants keeping those that appeared determinate separate from those indeterminate. Among the plants we found 6 that inorganic phosphorous analysis identified as double homozygous recessive for the two low phytate genes, and which were also considered as homozygous recessive at the Dt1 locus (dt1dt1) because of their phenotypic growth habit. DNA will be extracted from those plants to confirm the presence of each of the low phytate gene. Successfully confirmed plants will be further tested in 2011.

Soy meal processed at the Texas A&M Food Protein R&D Center's pilot plant from 45 Kg of seed stock each of 5601T (normal) and TN09-239 (low phytate soybean) grown in the same environment were analyzed for nutritional parameters in preparation for chicken feeding trial with collaborator at NC State University.

A material transfer agreement (MTA) is pending final execution to transfer seeds of TN09-239 to industry partner for novel RFO transgene insertion.

North Carolina State University

We have successfully expressed the Arabidopsis AVP1 gene and the ER-targeted GFP- calcium binding peptide (CBP) fusion gene individually and combined in transgenic rice plants. To test for drought tolerance we chose one wild type rice line (cv. Taipei 309) and 9 transgenic lines- one transgenic rice line that only expressed GFP; one GFP-CBP transgenic rice line that showed a low level of GFP-CBP mRNA transcripts (GFP-CBP-Low); one GFP-CBP transgenic line that showed a high level of GFP-CBP mRNA transcripts (GFP-CBP-High), two independent AVP1 transgenic rice lines that showed different levels of AVP1 mRNA transcripts, AVP1-1 and AVP1-2; one transgenic rice line from F1 progeny of GFP-CBP-Low x AVP1-1; one transgenic rice line from F1 progeny of GFP-CBP-Low x AVP1-2; one transgenic rice line from F1 progeny of GFP-CBP-High x AVP1-1; and one transgenic rice line from F1 progeny of GFP- CBP-High x AVP1-2. We have conducted tests for drought and salt tolerance on the above transgenic lines and the control non-transgenic line.

F1 progeny from GFP-CBP-, AVP1- and the cross of GFP-CBP x AVP1- transgenic plants all exhibited better drought tolerance than controls. F1 progeny from GFP-CBP x AVP1 transgenic rice plants showed higher leaf chlorophyll content and relative water content, and less wilting after intermittent drought for a period of 2 weeks. We did not, however, observe any additive or synergistic effects of CBP and AVP1 expression in the transgenic rice plants. We have also tested our transgenic rice plants for salt tolerance and F1 progeny from CBP-, AVP1- and the cross of CBP x AVP1- transgenic plants all exhibited significantly improved salt tolerance than control transgenic rice lines.

The GFP-CBP fusion protein is localized in the rice endoplasmic reticulum

The GFP-CBP fusion protein in GFP-CBP transgenic rice plants is targeted to the endoplasmic reticulum. In order to verify whether the GFP-CBP fusion protein is localized in the endoplasmic reticulum of rice, we used a Zeiss laser scanning confocal microscope 700 to detect GFP fluorescence in the root of rice seedlings. We observed that the GFP-CBP fusion protein is localized in the endoplasmic reticulum (Figure 1).

Figure 1

Figure 1. The GFP-CBP fusion protein localization in the endoplasmic reticulum was verified using a Zeiss confocal laser scanning microscope. A, B and C: rice root cells in GFP only (A) and GFP-CBP (B and C) transgenic rice seedlings. D; root hairs of a GFP-CBP transgenic rice seedling. Rice seeds were germinated on half strength MS media and grown for one week. 2 cm rice roots were taken from the rice seedlings and mounted on a microscope slide.

AVP1, GFP-CBP, and F1 progeny of GFP-CBP x AVP1 transgenic rice plants exhibit improved drought tolerance

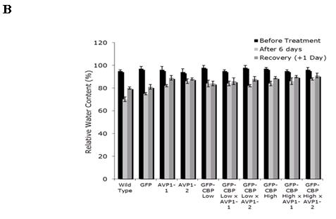
It was previously shown that constitutive expression of CBP, the calcium binding domain of the maize calreticulin gene, and AVP1, the Arabidopsis gene encoding H+- pyrophosphatase, each confers drought tolerance in transgenic Arabidopsis plants. We wanted to test whether we could observe similarly enhanced drought tolerance in rice with these genes individually and combined. Twelve-week-old T1 and F1 transgenic plants were subjected to intermittent water stress for a period of 14 days. AVP1, GFP-CBP, and F1 progeny of GFP-CBP x AVP1 transgenic rice plants exhibited enhanced drought tolerance compared to GFP control transgenic rice and wild type control rice plants (Figure 2). Both AVP1 and CBP- transgenic rice plants showed higher relative water content and chlorophyll content compared to a GFP control rice line and wild type control rice line (Figures 2B and 2C). AVP1 and CBP- transgenic rice plants also exhibited longer plant height after a period of intermittent water stress treatment (Figure 2D). We measured the average seed yield per panicle, and observed that both transgenic rice plants that have either AVP1 and/or CBP had higher total seed weight compared to GFP and wild type control lines under growth chamber conditions (Figure 2E).

Figure 2

Figure 2

Figure 2b

Figure 2c

Figure 2d

Figure 2e

Figure 2. Enhanced tolerance to intermittent drought stress. A: Transgenic and control lines after 14 days of intermittent drought stress. 1. WT, 2. GFP, 3. AVP1-1, 4. AVP1-2, 5. GFP-CBP- Low, 6. GFP-CBP-High, 7. GFP-CBP-Low x AVP1-1, 8. GFP-CBP-High x AVP1-2. Watering was withheld for 6 days and then resumed. The picture was taken 6 days after rewatering them. B: Relative water content of transgenic and control rice plants was measured three times, one before intermittent drought treatment and two times during intermittent water stress. C: Chlorophyll content of transgenic and control rice plants. The chlorophyll content was measured before and after drought treatments. D: Plant height of control and drought treated rice plants. E: The average seed weight per panicle in 10 different transgenic rice lines. All of the transgenic lines showed higher seed weight compared to control rice lines.

AVP1, GFP-CBP, and F1 progeny of GFP-CBP x AVP1 transgenic rice plants exhibit salt tolerance

We treated AVP1, GFP-CBP and F1 progeny of GFP-CBP x AVP1 transgenic rice plant lines with two different concentrations of NaCl solution (100 mM and 200 mM) for a period of 12 days to test whether these transgenic lines exhibited salt tolerance. All the transgenic lines that have either AVP1 or CBP showed better growth in two different concentrations of NaCl solution (Figures 3A and 3B). The chlorophyll content was higher in AVP1, GFP-CBP and F1 progeny of GFP-CBP x AVP1 transgenic rice plant lines (Figure 3C). The plants of transgenic lines that had the AVP1 or CBP transgene was taller compared to control rice plant lines, GFP and wild type control (Figure 3D) in two different NaCl treatments.

Figure 3

Figure 3a

Figure 3b

Future Activities:

Iowa State University

For completion of this project, we plan to (i) examine the binding of CGSLn to pea aphid gut BBMV using pull-down assay, and (ii) examine the integrity of the pea aphid gut membrane following ingestion of CGSL1 by TEM.

University of Washington

This small fellowship ended in December 2011. With no corporate interest in this project, we plan to stop this project as soon as we publish a manuscript on our tissue culture methods. The use of endophytes rather than transgenic technology seems to be the better approach for enhancing phytoremediation and plant growth.

University of Tennessee

Extraction of DNA and SNP analysis of two low phytate loci anticipated in homozygous form, from putative homozygous recessive dt1dt1 determinate BC5-derived individual plants. Selection among those plants for 2011 field advancement. DNA collection and SNP analysis of two low phytate loci anticipated in double heterozygous condition from putative BC6F1 hybrid plants at winter nursery. Establish BC6F2 progeny rows at the East Tennessee Research and Education Center (ETREC) at Knoxville, TN. Field trials of BC2, BC3, and BC4-derived lines, and recurrent parent 5601T at ETREC, Highland Rim Research & Education Center (Springfield, TN), and the Research and Education Center at Milan, (Milan, TN). Work with collaborators for progress on the chicken feeding trial and RFO transgene objectives. Work with collaborators at Virginia State, a HBCU for training in DNA technology assays for the low phytate trait.

References:

Koni, P. A. and Ellar, D. J. (1994). Biochemical characterization of Bacillus thuringiensis cytolytic delta-endotoxins. Microbiology 140 ( 8), 1869-1880

Li, J., Koni, P. A. and Ellar, D. J. (1996). Structure of the mosquitocidal delta-endotoxin CytB from Bacillus thuringiensis sp. kyushuensis and implications for membrane pore formation. J. Mol. Biol. 257, 129-152.

Liu, S., Sivakumar, S., Sparks, W.O., Miller, W.A., Bonning, B.C. (2010). A peptide that binds the pea aphid gut impedes entry of Pea enation mosaic virus into the aphid hemocoel. Virology 401 (1): 107-16

Pérez C., Fernandez L.E., Sun J., Folch J.L., Gill S.S., Soberón M. (2005). Bacillus thuringiensis subsp. israelensis Cyt1Aa synergizes Cry11Aa toxin by functioning  as a membrane-bound receptor. PNAS, vol. 102 no. 51 18303-18308

Promdonkoy B. and Ellar D. J. (2000) Membrane pore architecture of a cytolytic toxin from Bacillus thuringenesis. Biochem. J. 350:275-282

Promdonkoy, B. and Ellar, D. J. (2003), Investigation of the pore-forming mechanism of a cytolytic delta-endotoxin from Bacillus thuringiensis. Biochem. J. 374, 255-259.


Journal Articles: 10 Displayed | Download in RIS Format

Publications Views
Other center views: All 32 publications 11 publications in selected types All 10 journal articles
Publications
Type Citation Sub Project Document Sources
Journal Article Chougule NP, Li H, Liu S, Linz LB, Narva KE, Meade T, Bonning BC. Retargeting of the Bacillus thuringiensis toxin Cyt2Aa against hemipteran insect pests. Proceedings of the National Academy of Sciences of the United States of America 2013;110(21):8465-8470. EM834388 (2012)
  • Full-text from PubMed
  • Abstract from PubMed
  • Associated PubMed link
  • Full-text: PNAS-Full Text HTML
    Exit
  • Abstract: PNAS-Abstract
    Exit
  • Other: PNAS-Full Text PDF
    Exit
  • Journal Article Cui H, Kessler MR. Glass fiber reinforced ROMP-based bio-renewable polymers: enhancement of the interface with silane coupling agents. Composites Science and Technology 2012;72(11):1264-1272. EM834388 (2012)
    EM834388 (Final)
  • Abstract: ScienceDirect-Abstract
    Exit
  • Other: ResearchGate-Abstract
    Exit
  • Journal Article Madbouly SA, Xia Y, Kessler MR. Rheokinetics of ring-opening metathesis polymerization of bio-based castor oil thermoset. Macromolecules 2012;45(19):7729-7739. EM834388 (2012)
  • Abstract: ACS-Abstract
    Exit
  • Journal Article Paterson AH, Wendel JF, Gundlach H, Guo H, Jenkins J, Jin D, Llewellyn D, Showmaker KC, Shu S, Udall J, Yoo MJ, Byers R, Chen W, Doron-Faigenboim A, Duke MV, Gong L, Grimwood J, Grover C, Grupp K, Hu G, Lee TH, Li J, Lin L, Liu T, Marler BS, Page JT, Roberts AW, Romanel E, Sanders WS, Szadkowski E, Tan X, Tang H, Xu C, Wang J, Wang Z, Zhang D, Zhang L, Ashrafi H, Bedon F, Bowers JE, Brubaker CL, Chee PW, Das S, Gingle AR, Haigler CH, Harker D, Hoffmann LV, Hovav R, Jones DC, Lemke C, Mansoor S, ur Rahman M, Rainville LN, Rambani A, Reddy UK, Rong JK, Saranga Y, Scheffler BE, Scheffler JA, Stelly DM, Triplett BA, Van Deynze A, Vaslin MF, Waghmare VN, Walford SA, Wright RJ, Zaki EA, Zhang T, Dennis ES, Mayer KF, Peterson DG, Rokhsar DS, Wang X, Schmutz J. Repeated polyploidization of Gossypium genomes and the evolution of spinnable cotton fibres. Nature 2012;492(7429):423-427. EM834388 (2012)
  • Abstract from PubMed
  • Full-text: Nature-Full Text PDF
    Exit
  • Abstract: Nature-Abstract & Full Text HTML
    Exit
  • Other: ResearchGate-Abstract & Full Text PDF
    Exit
  • Journal Article Thunga M, Xia Y, Gohs U, Heinrich G, Larock RC, Kessler MR. Influence of electron beam irradiation on the mechanical properties of vegetable-oil-based biopolymers. Macromolecular Materials and Engineering 2012;297(8):799-806. EM834388 (2012)
    EM834388 (Final)
  • Abstract: Wiley-Abstract
    Exit
  • Journal Article Ye X, Yuan S, Guo H, Chen F, Tuskan GA, Cheng Z-M. Evolution and divergence in the coding and promoter regions of the Populus gene family encoding xyloglucan endotransglycosylase/hydrolases. Tree Genetics & Genomes 2012;8(1):177-194. EM834388 (2012)
    EM834388 (Final)
  • Full-text: Bioenergy Center-Full Text PDF
    Exit
  • Abstract: Springer-Abstract
    Exit
  • Other: ResearchGate-Abstract
    Exit
  • Journal Article Ye X, Busov V, Zhao N, Meilan R, McDonnell LM, Coleman HD, Mansfield SD, Chen F, Li Y, Cheng ZM. Transgenic Populus trees for forest products, bioenergy, and functional genomics. Critical Reviews in Plant Sciences 2011;30(5):415-434. EM834388 (Final)
  • Abstract: Abstract TAND HTML
    Exit
  • Journal Article Cui H, Hanus R, Kessler MR. Degradation of ROMP-based bio-renewable polymers by UV radiation. Polymer Degradation and Stability 2013;98(11):2357-2365. EM834388 (Final)
  • Full-text: Science Direct Full Text HTML
    Exit
  • Journal Article Lin W, Hagen E, Fulcher A, Hren MT, Cheng ZM. Overexpressing the ZmDof1 gene in Populus does not improve growth and nitrogen assimilation under low-nitrogen conditions. Plant Cell, Tissue and Organ Culture (PCTOC) 2013;113:51-61. EM834388 (Final)
  • Full-text: Springer Full Text HTML
    Exit
  • Journal Article Lin WL, Cai B, Cheng ZM. Identification and characterization of lineage-specific genes in Populus trichocarpa. Plant Cell, Tissue and Organ Culture (PCTOC) 2014;116:217-225. EM834388 (Final)
  • Full-text: Springer Full Text HTML
    Exit
  • Supplemental Keywords:

    Bt toxin, aphid control, Salix, plant tissue culture, Inorganic phosphorous, soybean high protein meal, eutrophication, water quality

    Progress and Final Reports:

    Original Abstract
  • 2009
  • 2010
  • 2012 Progress Report
  • Final Report
  • Top of Page

    The perspectives, information and conclusions conveyed in research project abstracts, progress reports, final reports, journal abstracts and journal publications convey the viewpoints of the principal investigator and may not represent the views and policies of ORD and EPA. Conclusions drawn by the principal investigators have not been reviewed by the Agency.

    Project Research Results

    • Final Report
    • 2012 Progress Report
    • 2010
    • 2009
    • Original Abstract
    32 publications for this center
    10 journal articles for this center

    Site Navigation

    • Grantee Research Project Results Home
    • Grantee Research Project Results Basic Search
    • Grantee Research Project Results Advanced Search
    • Grantee Research Project Results Fielded Search
    • Publication search
    • EPA Regional Search

    Related Information

    • Search Help
    • About our data collection
    • Research Grants
    • P3: Student Design Competition
    • Research Fellowships
    • Small Business Innovation Research (SBIR)
    Contact Us to ask a question, provide feedback, or report a problem.
    Last updated April 28, 2023
    United States Environmental Protection Agency

    Discover.

    • Accessibility
    • Budget & Performance
    • Contracting
    • EPA www Web Snapshot
    • Grants
    • No FEAR Act Data
    • Plain Writing
    • Privacy
    • Privacy and Security Notice

    Connect.

    • Data.gov
    • Inspector General
    • Jobs
    • Newsroom
    • Open Government
    • Regulations.gov
    • Subscribe
    • USA.gov
    • White House

    Ask.

    • Contact EPA
    • EPA Disclaimers
    • Hotlines
    • FOIA Requests
    • Frequent Questions

    Follow.