Skip to main content
U.S. flag

An official website of the United States government

Here’s how you know

Dot gov

Official websites use .gov
A .gov website belongs to an official government organization in the United States.

HTTPS

Secure .gov websites use HTTPS
A lock (LockA locked padlock) or https:// means you have safely connected to the .gov website. Share sensitive information only on official, secure websites.

  • Environmental Topics
  • Laws & Regulations
  • Report a Violation
  • About EPA
Contact Us

Grantee Research Project Results

2005 Progress Report: Pollution-Enhanced Allergic Inflammation and Phase II Enzymes

EPA Grant Number: R831861C002
Subproject: this is subproject number 002 , established and managed by the Center Director under grant R831861
(EPA does not fund or establish subprojects; EPA awards and manages the overall grant for this center).

Center: Southern California Children's Environmental Health Center
Center Director: McConnell, Rob Scot
Title: Pollution-Enhanced Allergic Inflammation and Phase II Enzymes
Investigators: Gilliland, Frank D.
Current Investigators: Gilliland, Frank D. , Diaz-Sanchez, David
Institution: University of Southern California
EPA Project Officer: Callan, Richard
Project Period: November 1, 2003 through October 31, 2008 (Extended to October 31, 2010)
Project Period Covered by this Report: November 1, 2004 through October 31, 2005
RFA: Centers for Children's Environmental Health and Disease Prevention Research (2003) RFA Text |  Recipients Lists
Research Category: Children's Health , Human Health

Objective:

The objective of this research project is to study the role of Phase II enzymes in regulating responses to pollutants in:  children’s upper airways (Aim #1); the lower airways of healthy and asthmatic individuals (Aim #2); and mechanistic animal and cellular models of allergic inflammation (Aim #3).

Progress Summary:

Aim #1

We plan to determine whether nasal challenge with diesel exhaust particles (DEP) will induce reproducible gene expression of Phase II enzymes and compare expression in children versus adults.  Previously, we had shown that challenge of individuals with DEP-induced GSTM1 expression in adults.  In preparation for the main part of this aim, we have developed real-time quantitative polymerase chain reaction to measure gene expression of the other sentinel Phase II enzymes that we will use in the study, NQO1, and validated its use.  We identified eight adult individuals who had functional versions of NQO1 polymorphisms and challenged them with either DEP (300 μg) or saline during separate visits spaced 3 weeks apart.  Three weeks later, the subjects were recalled and challenged with DEP again.  Cells were obtained from nasal lavages performed before or 24 hours following each challenge.


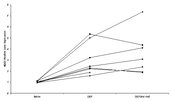
Figure 1.  Relative Levels of NQO1 Gene Expression After Normalization to an Internal Control.

Figure 1.  Relative Levels of NQO1 Gene Expression After Normalization to an Internal Control

Figure 1 shows the relative levels of NQO1 gene expression after normalization to an internal control from eight subjects.  In each case, control expression (i.e., that seen in cells from lavages after challenge with saline) of the genes was given an arbitrary figure of 1.0, and the relative expression was calculated with reference to baseline.  In all cases, NQO1 increased, as was the case for GSTM1 gene expression; although there was considerable interindividual expression of NQO1, intraindividual expression was considerably less.

Aim #2

As proposed in our timeline, we intend to commence studies on the effect of Phase II on the lower airway response to diesel in Year 2 of the project.  We have tested the exposure chamber and can reproducibly produce a DEP level that is within 10 percent of the target level every time.  We can measure accurately particle mass, number, size, and composition generated by the diesel engine.

Aim #3

We had shown previously that enhancement of Phase II enzyme expression could inhibit enhancement of IgE production by peripheral blood cells in vitro.  In those experiments we used sulforaphane, a potent inducer of Phase II enzymes found in cruciferous vegetables, which functions by activating Nrf2.  We tested whether this same reagent could block DEP-mediated adjuvant events in vivo.  Groups of six female BALB/c mice matched for age and weight (10-12 weeks) received aerosolized exposures to either:  saline, ovalbumin (OVA) (1% 20 minutes), DEP (1 hour), or OVA followed immediately by DEP for 10 consecutive days.  Mice were administered either vehicle (corn oil) or sulforaphane (4.5 μmol/mouse/day) by gavage (0.2 ml) for 1 week prior to the commencement of exposures up until 2 days after the last exposure.

Figure 2.   Serum Levels of IgG1 14 Days After Allergen Exposure in Mice Given Sulphoraphane (S) or No Sulforaphane (NS).

Figure 2.   Serum Levels of IgG1 14 Days After Allergen Exposure in Mice Given Sulphoraphane (S) or No Sulforaphane (NS)

Figure 2 shows serum levels of the antigen-specific allergic antibody IgG1 14 days after allergen exposure in mice given sulforaphane or no sulforaphane.  As expected, in the untreated group, IgG1 levels were significantly higher in mice that received both DEP and OVA than in those that were exposed to OVA alone.  Administration of sulforaphane, however, completely ablated the adjuvant effects of DEP.

Significance

Our results show that Phase II enzymes can be induced by our model air pollutant, DEP, and are critical in regulating responses and determining susceptibility to these xenobiotics.  These promising results also suggest a possible intervention strategy to augment the body’s natural defense to air pollutants.

Future Activities:

During Year 3, we intend to recruit adults and children for Aim #1, commence recruitment for Aim #2, and repeat our mouse/sulforaphane experiment in Nrf-2 knock-out mice to confirm that the action of sulforaphane is indeed through activation of Nrf-2.

Journal Articles:

No journal articles submitted with this report: View all 138 publications for this subproject

Supplemental Keywords:

asthma, children, susceptibility, community, children’s health, health effects, risk assessment, airway disease, allergen, asthma, childhood respiratory disease, children’s environmental health, community-based intervention, outreach and education, respiratory problems,, RFA, Health, Scientific Discipline, ENVIRONMENTAL MANAGEMENT, HUMAN HEALTH, Health Risk Assessment, Children's Health, Biochemistry, Health Effects, Risk Assessment, childhood respiratory disease, Human Health Risk Assessment, allergen, asthma, susceptibility, animal model, community-based intervention, airway disease, children's environmental health, outreach and education

Relevant Websites:

http://www.usc.edu/schools/medicine/research/centers_programs/cehc/ Exit

http://www.usc.edu/schools/medicine/departments/preventive_medicine/divisions/occupational/occ_environmental/cehc/index.html Exit

Progress and Final Reports:

Original Abstract
  • 2004 Progress Report
  • 2006 Progress Report
  • 2007 Progress Report
  • 2008
  • 2009
  • Final Report

  • Main Center Abstract and Reports:

    R831861    Southern California Children's Environmental Health Center

    Subprojects under this Center: (EPA does not fund or establish subprojects; EPA awards and manages the overall grant for this center).
    R831861C001 Urban Air Pollution and Persistent Early Life Asthma
    R831861C002 Pollution-Enhanced Allergic Inflammation and Phase II Enzymes
    R831861C003 Air Pollution, Exhaled Breath Markers, and Asthma in Susceptible Children

    Top of Page

    The perspectives, information and conclusions conveyed in research project abstracts, progress reports, final reports, journal abstracts and journal publications convey the viewpoints of the principal investigator and may not represent the views and policies of ORD and EPA. Conclusions drawn by the principal investigators have not been reviewed by the Agency.

    Project Research Results

    • Final Report
    • 2009
    • 2008
    • 2007 Progress Report
    • 2006 Progress Report
    • 2004 Progress Report
    • Original Abstract
    138 publications for this subproject
    89 journal articles for this subproject
    Main Center: R831861
    202 publications for this center
    131 journal articles for this center

    Site Navigation

    • Grantee Research Project Results Home
    • Grantee Research Project Results Basic Search
    • Grantee Research Project Results Advanced Search
    • Grantee Research Project Results Fielded Search
    • Publication search
    • EPA Regional Search

    Related Information

    • Search Help
    • About our data collection
    • Research Grants
    • P3: Student Design Competition
    • Research Fellowships
    • Small Business Innovation Research (SBIR)
    Contact Us to ask a question, provide feedback, or report a problem.
    Last updated April 28, 2023
    United States Environmental Protection Agency

    Discover.

    • Accessibility
    • Budget & Performance
    • Contracting
    • EPA www Web Snapshot
    • Grants
    • No FEAR Act Data
    • Plain Writing
    • Privacy
    • Privacy and Security Notice

    Connect.

    • Data.gov
    • Inspector General
    • Jobs
    • Newsroom
    • Open Government
    • Regulations.gov
    • Subscribe
    • USA.gov
    • White House

    Ask.

    • Contact EPA
    • EPA Disclaimers
    • Hotlines
    • FOIA Requests
    • Frequent Questions

    Follow.