Skip to main content
U.S. flag

An official website of the United States government

Here’s how you know

Dot gov

Official websites use .gov
A .gov website belongs to an official government organization in the United States.

HTTPS

Secure .gov websites use HTTPS
A lock (LockA locked padlock) or https:// means you have safely connected to the .gov website. Share sensitive information only on official, secure websites.

  • Environmental Topics
  • Laws & Regulations
  • Report a Violation
  • About EPA
Contact Us

Grantee Research Project Results

2006 Progress Report: Integrating the Thermal Behavior and Optical Properties of Carbonaceous Particles: Theory, Laboratory Studies, and Application to Field Data

EPA Grant Number: R831085
Title: Integrating the Thermal Behavior and Optical Properties of Carbonaceous Particles: Theory, Laboratory Studies, and Application to Field Data
Investigators: Bond, Tami C.
Institution: University of Illinois Urbana-Champaign
EPA Project Officer: Chung, Serena
Project Period: September 1, 2003 through August 31, 2006 (Extended to August 31, 2008)
Project Period Covered by this Report: September 1, 2005 through August 31, 2006
Project Amount: $247,815
RFA: Measurement, Modeling, and Analysis Methods for Airborne Carbonaceous Fine Particulate Matter (PM2.5) (2003) RFA Text |  Recipients Lists
Research Category: Particulate Matter , Air Quality and Air Toxics , Air

Objective:

This project examines thermal-optical methods for elemental carbon (EC) and organic carbon (OC) aerosols. Many thousands of samples have been collected by this method, and for a large fraction of them, archived information is available on the carbon released and the optical nature of an aerosol sample as it passes through different temperatures. The overall goal of the project is to provide improved interpretation of this wealth of information. Here, we summarize progress toward the three goals identified in our proposal.

1. Improving Fundamental Understanding of the Analytical Behavior of Components of Realistic Carbonaceous Aerosols

A major component of this project is examining the response of thermal-optical analysis (TOA) to realistic but controlled aerosol from combustion. During this year, we have examined samples from major sources of carbonaceous aerosol (especially wood burning and diesel engines). We found that the kinetic response of these samples is not repeatable enough that they can serve as indicators of source types, even if no atmospheric processing has affected them.

2. Delineating Ranges of Validity for the Use of Thermally-Measured Elemental Carbon as a Conserved Tracer

We examined how mixed aerosol on the same filter, especially particles that pyrolyze (char), could affect the measurement of elemental carbon. Using scanning electron microscopy, we showed that pyrolytic carbon is present as liquid fiber coatings, explaining its vastly different optical properties. We created a “best representation” of optical response during thermal-optical analysis based on over 100 samples of laboratory and source aerosol, and incorporated this into the interpretation model described below.

3. Demonstrating Enhanced Interpretations of Thermal and Optical Analyses of Carbonaceous Particles

We created a general model framework (ReACTO, or ReAnalyzing Carbon Traces Optically) that represents transitions during thermal-optical analysis. This model can process raw data files, calculates loading of different carbon types, and calculates uncertainty considering most of the known artifacts in the analysis. We generated controlled samples to allow us to reproduce artifacts, and investigated several algorithms for automated correction. Some of these algorithms did not work because the analysis is not reproducible. While we are dissatisfied with the uncertainties that must remain in TOA , ReACTO is the most analytically sound representation of OC/EC analysis to date. We believe that one of the most interesting results is the finding of early pyrolysis onset for heavy, cross-linkable aerosol.

Progress Summary:

Background

TOA assumes that the initial EC has the same absorption efficiency as the EC remaining after thermal processing. The absorption efficiency may change during thermal processing due to changes in morphology or chemical composition. Our project focuses on enhanced interpretation of these transitions for two reasons. First, apparent “artifacts” in the analysis might be correctable if these transitions are understood. Second, these transitions might be indicators of certain kinds of carbon or atmospheric processing, providing more information for source apportionment studies. During the first two years of this project, we generated samples to examine artifacts and began developing the interpretation method which we felt was most promising. This year, we have finalized the reactor model and used it to estimate uncertainty.

Year 3 Accomplishments

Principles. Here, we review and extend the foundation developed last year. This forms the basis of the new model ReACTO. The sample being analyzed is a reactor containing four carbon species:

Reactor containing four carbon species.

where OCc is charrable, OCn is non-charrable, PC is formed from pyrolysis, and LAC is carbon that was strongly absorbing when deposited. The new representation developed this year is the response vector:

Response vector.

where R is a transfer function containing the filter magnification K and the absorption cross-section σ:

The absorption cross-section.

Equation (2) is underdetermined, and thus other constraints need to be applied, as in the following equation:

Equation (2).

Here, I is the identity matrix and Y is a yield matrix. The “standard” OC/EC analysis is just a special case of this general model: yields of all but one species are assumed to be zero during each temperature step. We account for artifacts and uncertainties by lifting these restrictions.

We maintain that all uncertainties in the division between OC and EC can be estimated by propagating uncertainties through Equation (4).

We worked toward finalizing the tools necessary to perform this analysis for individual samples. Optical properties of the combined particle-filter system are required to fill in the matrix in Equation 3. During this year we have found more complications than expected. We are disappointed, because our findings mean that the thermal-optical method will always have fundamental uncertainties, regardless of analysis method. However, we still retain hope that we can represent these uncertainties quantitatively.

Microscopy. In published works on carbon particle analysis (e.g., Chow, et al., 2004), there are suggestions regarding the formation of pyrolytic carbon, and we developed more hypotheses on that formation during this project. Rather than rely on theories, we decided to conduct a series of controlled experiments. The University of Illinois at Urbana-Champaign possesses an Environmental Scanning Electron Microscope (ESEM) in which the sample can be heated gradually from room temperature to over 1000°C. Our experiment, as initially designed, involved collecting samples which formed charred carbon during OC/EC analysis, and examining the transformation of this material in the ESEM during heating. The low pressure (10 torr) would simulate an oxygen-free atmosphere, as occurs during the initial stages of thermal-optical heating. We felt that this would unequivocally demonstrate whether pyrolytic carbon was formed from particles; we would be able to see any transformation. To conduct this experiment, we generated samples which we knew to result in charring, through smoldering combustion of wood. In generating the samples, we avoided any burning with flames, which we knew would produce “black” or “soot” carbon and could confound the interpretation of charring.

To our surprise and chagrin, we were unable to observe any particles at all with the ESEM, even before heating. We pursued several explanations. We examined various loadings. We tested whether the carbon had volatilized by post-analyzing the small punches with the Sunset OC/EC after placing them in the ESEM. Finally, observations of gold-palladium coated filters in the Scanning Electron Microscope (SEM) provided the answer. Some pyrolyzable, organic carbon is not collected as particles at all. Only a few larger particles remain as beadlike droplets (Figure 1); the remainder become sheathlike coatings on the filter fibers, whose formation is described by existing theories. Once we began to look for these filter coatings, we found evidence in both laboratory and field samples. From our measurements, it appears that they are widespread.

This observation has two important repercussions. First, it can explain why pyrolytic carbon has such a high specific absorption: it is not present as particles, which have a lower absorption per mass. Second, it implies that filter-based measurements of absorption measure organic particles in a deformed state; that deformation affects the inferred absorption. A paper on these findings has been accepted (Subramanian, et al., 2007).

Figure 1. Top: SEM Image of Organic Matter Devolatilized From Wood and Sampled on a Fiber Filter in the Laboratory. Bottom: Field samples of wood burning: left, smoldering combustion showing filter wetted with organic matter; and right, flaming combustion showing defined particles.

    Figure 1. Top: SEM Image of Organic Matter Devolatilized From Wood and Sampled on a Fiber Filter in the Laboratory. Numerical labels indicate collected particles; arrows without labels indicate fiber intersections that appear to be wetted, possibly with collected organic matter. Bottom: Field samples of wood burning: left, smoldering combustion showing filter wetted with organic matter; and right, flaming combustion showing defined particles.

Specific Absorption. We investigated several samples to obtain values of filter enhancement and optical cross-section for use in the model. In our progress report of last year, we demonstrated the concept of the “thermabsgram” (Figure 2), which shows loss of both carbon and light absorption. As stated in our last report, we were concerned about the apparent difference in absorption cross-section of carbon released at different temperatures. First, we identified analyses with pyrolytic carbon only and native light-absorbing carbon only. We found that the absorption cross-section of pyrolytic carbon was similar to that found in other reports (Chow, et al., 2004) that it was much higher than expected for native particulate carbon, and that it varied little (Figure 3).

Figure 2. Thermabsgram of Aerosol From Flaming Combustion of Wood, as Reported in Year 2 Progress Report.
Time (sec)

Figure 2. “Thermabsgram” of Aerosol From Flaming Combustion of Wood, as Reported in Year 2 Progress Report

Figure 3. Absorption Cross-Section of Pyrolytic Carbon, for Individual 10-Second Values During Thermal-Optical Analysis.

Figure 3. Absorption Cross-Section of Pyrolytic Carbon, for Individual 10-Second Values During Thermal-Optical Analysis.

We also examined light-absorbing carbon from hexane-soot standards, diesel combustion, and wood burning, for samples where no significant pyrolysis occurred. The results are shown in Figure 4 as a function of loading. The figure shows that the filter-based absorption cross-section of absorbing carbon is significantly different for the three different types of burning. It also demonstrates that it is a function of loading (or filter transmission). In retrospect, this last finding should not be a surprise. Absorption instruments such as the Particle Soot Absorption Photometer (PSAP) incorporate transmission-dependent loading corrections. This finding does mean that the difference between pyrolytic carbon and native soot carbon is slightly more difficult to compensate because it changes during the analysis. However, this finding also explains the results demonstrated in last year’s thermabsgram (Figure 2). The absorption cross-section is not higher for carbon released at higher temperatures. We believe that the magnification by the filter is higher when the filter is more lightly loaded, and this is consistent with knowledge about other filter-based measurements.

Figure 4. Filter-Enhanced Absorption Cross-Section of Carbon From Three Types of Combustion. Left: Change in filter attenuation with loading over 10-second periods for 148 samples. Right: Apparent K-sigma (filter enhancement times absorption cross-section) versus transmittance.

    Figure 4. Filter-Enhanced Absorption Cross-Section of Carbon From Three Types of Combustion. Left: Change in filter attenuation with loading over 10-second periods for 148 samples. Right: Apparent K-sigma (filter enhancement times absorption cross-section) versus transmittance.

We have examined ways of incorporating this dependence into the automated analysis, as is also shown in Figure 4 for individual samples. The optical response varies between samples, enough so that an automated approach cannot work in all but a general sense. (We have attempted to fit these curves with several functional forms.) This means that a fundamental uncertainty will remain in the thermal-optical analysis. We found the mean and standard deviation for optical responses of about 100 samples, and use these as values of K-σ.

Pyrolysis as an Indicator. Because we hoped to use the formation of pyrolytic carbon as an indicator for source apportionment studies, we first investigated the types of material that could pyrolyze (“char” in common parlance). Yu, et al. (2002) suggested that water-soluble organic material contained most of the charrable material and we investigated many compounds that are thought to form the water-soluble aerosol by pipetting them onto filters before analysis. We were surprised to find that the common compounds sucrose, levoglucosan, adipic acid, phthalic acid, and glutaric acid did not pyrolyze significantly. Diesel smoke did not pyrolyze either. However, both emissions from smoldering wood and humic acid did produce pyrolytic carbon, as shown in Figure 5.

Figure 5. Thermabsgrams of Smoldering Oak Emissions.
Time (seconds)

Humic Acid
Figure 5. Thermabsgrams of Humic Acid.
Time (seconds)

    Figure 5. Thermabsgrams of Smoldering Oak Emissions (Top) and Humic Acid (Bottom). Green trace is formation (negative) or loss (positive) of pyrolytic carbon. The humic acid sample was filtered before pipetting onto the filter.

The two substances show interesting differences: humic acid is an “early-charring” material and oak smoke is a “late-charring” material. Humic acid is thought to have similar origins (plant material) but has undergone polymerization. Based on a review of literature on pyrolysis (Subramanian, et al., 2007) and our laboratory experiments, we suggest that the onset of pyrolysis is likely to give clues to the nature and size of large, complex molecules, and that these compounds are probably oxygenated. Smoldering oak produces lignin and some pyrolysis products which volatilize or thermally degrade at low temperatures. Compared with this material, humic acid prefers to char or cross-link rather than thermally degrade.

While early pyrolysis is often found in atmospheric samples, we have not yet found it in source samples, including those which produce most of the primary atmospheric carbonaceous aerosol (diesel engines, wood burning, and coal burning). This suggests that early pyrolysis is an indicator of a process that occurs only in the atmosphere.

Large Organic Molecules. The lower panel in Figure 5 also shows an interesting feature. Humic acid, which is only mildly light-absorbing, volatilizes slowly even at the highest temperature experienced in this analysis (870°C, approximately 450–550 seconds). The dashed green trace shows the approximate loss of pyrolytic carbon (when positive) or formation (when negative), and indicates that this loss rate is not great enough to account for the slowly lost carbon. Thus, some organic carbon is not volatile enough to be driven off at this temperature. Here we used the manufacturer’s protocol, often referred to as the National Institute for Occupational Safety and Health (NIOSH) protocol, which is the thermal-optical transmittance method with a high temperature in an inert atmosphere (Birch and Cary, 1996). A competing protocol, IMPROVE (Chow, et al., 1993), has a maximum temperature of 550°C and even less humic acid is driven off at that temperature. The existence of low-volatility organic carbon is confirmed by the fact that some of the thermograms displayed in IMPROVE literature return to zero slope (as shown in Figure 5) but not to zero carbon release.

Of course, one could argue that humic acid is not found in the atmosphere, so that Figure 5 is unrepresentative of atmospheric compounds. Indeed fulvic and humic acids are thought to be heavier than atmospheric organic compounds (Graber and Rudich, 2006). However, charring onset in atmospheric compounds is approximately evenly divided between “early-charring” and “late-charring” compounds (R. Subramanian, personal communication). Thus, with regard to molecular weight, we hypothesize that lignin is a lower bound and humic acid an upper bound for atmospheric charrable compounds.

We completed several experiments (not tabulated here) to determine whether the amount of organic carbon could be projected from the slopes of carbon loss. These experiments included analyzing parallel samples of humic acid with the NIOSH protocol and with an extended protocol that allowed the sample to evolve completely. We developed an automated method of identifying consistent slope groupings which could be projected to zero release. However, the slope of this carbon release is so close to zero that the projection is quite uncertain. Thus, information on heavy organic carbon is probably lost, even in those protocols (such as IMPROVE) which hold a constant temperature until the slope returns to zero. Protocols that do not account for this heavy organic carbon probably overestimate elemental carbon. Estimating this uncertainty is the subject of our present investigations.

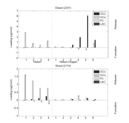
ReACTO Results. Figure 6 shows results from ReACTO. At this time only uncertainties due to optical properties are propagated through the model and shown in the figure. We believe that the presence of heavy organic carbon will introduce larger errors than those shown in this figure, and this is an area of active investigation.

Figure 6. Results of ReACTO for Diesel (Top) and Wood (Bottom) Samples.

    Figure 6. Results of ReACTO for Diesel (Top) and Wood (Bottom) Samples. Only wood smoke pyrolyzes and does so primarily in the highest temperature step.

Targets. In this section we assess how completely the goals of the project have been accomplished.

Task 1, Integration of Theory. Between the review paper and the fully developed filter model, we are generally happy with the completion of this task.

Task 2, Laboratory Characterization. The full ReACTO model is nearly complete, and incorporates our understanding of optics based on available samples. In addition to the approximately 400 laboratory samples generated for this project, we are drawing information from about 140 diesel samples, 50 wood-burning samples, 70 coal-burning samples and over 100 blank filters. As discussed earlier in this report, the challenging identification of non-volatile or “heavy” OC from existing analyses comprises our final investigation before the paper detailing ReACTO is complete. This investigation should be finished by mid-April, 2007. It will include, to the best of the model’s predictive ability, an interpretation and reconciliation of different temperature protocols.

The complexity of the analysis has delayed our intended application to field data (Task 3), and we will contact the project manager to discuss a revised scope for the project. Two issues have required more effort than expected. First, at the outset of the project, we had hoped that examining loss rates (kinetics) would be sufficient to identify important transitions. These proved to be less reproducible than we had hoped. We ultimately realized that representing co­evolving species with a reactor model was required in order to account for the physics. This was not identified in the original proposal. Second, at the beginning of this project, knowledge about optical properties of pyrolytic carbon was sparse. Through our own work and that of others, the stark differences between pyrolytic carbon and “native” EC became more apparent. We felt it important to confirm the form of charrable OC, which has implications for both TOA and absorption measurements.

References:

Birch ME, Cary RA. Elemental carbon-based method for monitoring occupational exposures to particulate diesel exhaust. Aerosol Science and Technology 1996;25:221-241.

Chow JC, Watson JG, Chen LWA, Arnott WP, Moosmüller H. Equivalence of elemental carbon by thermal/optical reflectance and transmittance with different temperature protocols. Environmental Science & Technology 2004;38:4414-4422.

Chow JC, Watson JG, Pritchett LC, Pierson WR, Frazier CA, Purcell RG. The DRI thermal/optical reflectance carbon analysis system: description, evaluation and applications in U.S. air quality studies. Atmospheric Environment 1993;27A(8):1185-1201.

Graber ER, Rudich Y. Atmospheric HULIS: how humic-like are they? A comprehensive and critical review. Atmospheric Chemistry and Physics 2006;6:729-753.

Subramanian R. Personal communication based on Pittsburgh Supersite data.

Subramanian R, Boparai P, Bond TC. Charring of organic compounds during thermal-optical analysis: what can we learn about the carbonaceous aerosol? To be presented at AmericanChemical Society, March 2007.

Subramanian R, Roden CA, Boparai P, Bond TC. Yellow beads and missing particles: trouble ahead for filter-based absorption measurements. Aerosol Science and Technology 2007;41(6):630-637.

Yu JZ, Xu J, Yang H. Charring characteristics of atmospheric organic particulate matter in thermal analysis. Environmental Science and Technology 2002;36:754-761.


Journal Articles on this Report : 2 Displayed | Download in RIS Format

Publications Views
Other project views: All 19 publications 5 publications in selected types All 5 journal articles
Publications
Type Citation Project Document Sources
Journal Article Bond TC, Bergstrom RW. Light absorption by carbonaceous particles: an investigative review. Aerosol Science and Technology 2006;40(1):27-67. R831085 (2005)
R831085 (2006)
R831085 (Final)
  • Full-text: Taylor and Francis-Full Text HTML
    Exit
  • Abstract: Taylor and Francis-Abstract
    Exit
  • Other: Taylor and Francis-Full Text PDF
    Exit
  • Journal Article Subramanian R, Roden CA, Boparai P, Bond TC. Yellow beads and missing particles:trouble ahead for filter-based absorption measurements. Aerosol Science and Technology 2007;41(6):630-637. R831085 (2006)
    R831085 (Final)
  • Full-text: Taylor and Francis-Full Text HTML
    Exit
  • Abstract: Taylor and Francis-Abstract
    Exit
  • Other: Taylor and Francis-Full Text PDF
    Exit
  • Supplemental Keywords:

    RFA, Scientific Discipline, Air, Ecosystem Protection/Environmental Exposure & Risk, particulate matter, Air Quality, Environmental Chemistry, Engineering, Chemistry, & Physics, Analytical Chemistry, Monitoring/Modeling, Air Pollution Effects, Atmospheric Sciences, air toxics, Environmental Engineering, Environmental Monitoring, aerosol particles, health effects, particle size, air sampling, carbon particles, emissions, chemical characteristics, air quality modeling, measurement methods, aersol particles, airborne particulate matter, thermal properties, atmospheric particles, modeling studies, thermal desorption, particulate matter mass, air quality model, particulate organic carbon, carbon aerosols, aerosol analyzers, particle phase molecular markers, air quality models, atmospheric particulate matter, ultrafine particulate matter, chemical speciation sampling, particle size measurement, particle dispersion, air modeling

    Progress and Final Reports:

    Original Abstract
  • 2004 Progress Report
  • 2005 Progress Report
  • 2007
  • Final Report
  • Top of Page

    The perspectives, information and conclusions conveyed in research project abstracts, progress reports, final reports, journal abstracts and journal publications convey the viewpoints of the principal investigator and may not represent the views and policies of ORD and EPA. Conclusions drawn by the principal investigators have not been reviewed by the Agency.

    Project Research Results

    • Final Report
    • 2007
    • 2005 Progress Report
    • 2004 Progress Report
    • Original Abstract
    19 publications for this project
    5 journal articles for this project

    Site Navigation

    • Grantee Research Project Results Home
    • Grantee Research Project Results Basic Search
    • Grantee Research Project Results Advanced Search
    • Grantee Research Project Results Fielded Search
    • Publication search
    • EPA Regional Search

    Related Information

    • Search Help
    • About our data collection
    • Research Grants
    • P3: Student Design Competition
    • Research Fellowships
    • Small Business Innovation Research (SBIR)
    Contact Us to ask a question, provide feedback, or report a problem.
    Last updated April 28, 2023
    United States Environmental Protection Agency

    Discover.

    • Accessibility
    • Budget & Performance
    • Contracting
    • EPA www Web Snapshot
    • Grants
    • No FEAR Act Data
    • Plain Writing
    • Privacy
    • Privacy and Security Notice

    Connect.

    • Data.gov
    • Inspector General
    • Jobs
    • Newsroom
    • Open Government
    • Regulations.gov
    • Subscribe
    • USA.gov
    • White House

    Ask.

    • Contact EPA
    • EPA Disclaimers
    • Hotlines
    • FOIA Requests
    • Frequent Questions

    Follow.