Skip to main content
U.S. flag

An official website of the United States government

Here’s how you know

Dot gov

Official websites use .gov
A .gov website belongs to an official government organization in the United States.

HTTPS

Secure .gov websites use HTTPS
A lock (LockA locked padlock) or https:// means you have safely connected to the .gov website. Share sensitive information only on official, secure websites.

  • Environmental Topics
  • Laws & Regulations
  • Report a Violation
  • About EPA
Contact Us

Grantee Research Project Results

Final Report: μ-Integrated Sensing System (μ-ISS) by Controlled Assembly of Carbon Nanotubes on MEMS Structures

EPA Grant Number: R830901
Title: μ-Integrated Sensing System (μ-ISS) by Controlled Assembly of Carbon Nanotubes on MEMS Structures
Investigators: Mitra, Somenath
Institution: New Jersey Institute of Technology
EPA Project Officer: Hahn, Intaek
Project Period: May 15, 2003 through May 14, 2006
Project Amount: $346,000
RFA: Environmental Futures Research in Nanoscale Science Engineering and Technology (2002) RFA Text |  Recipients Lists
Research Category: Nanotechnology , Safer Chemicals

Objective:

Introduction
The increasing need for inexpensive, portable monitoring devices have added new impetus to chemical analysis systems using low cost microsensors. It is well known that miniaturization yields many functional and economical benefits because of the reduction of the sample size, decrease in reagent consumption and inexpensive mass production. Another important consideration for trace environmental monitoring is that the Figures of merit necessary for measurements are high sensitivity, selectivity, reproducibility, short response time and long-term stability. To solve real-world problems, the sensing systems need to meet these requirements. The limited success of the sensors in trace environmental monitoring is due to the relatively low sensitivity and high detection limit of these devices. A method to enhance sensitivity in any analytical measurement is to preconcentrate the species of interest. Sorbent trapping during air sampling, and solid phase extraction are common preconcentration techniques that allow larger volumes of analyte to be concentrated and then released into the detector, thus resulting in a high signal-to-noise ratio. Moreover, complex volatile organic samples in air and water require chromatographic separation for the identification of different components. Consequent both high-resolution separation and sensitive detection play important roles developing sensing systems.

In this project we propose to develop a micro integrated sensing system (μ-ISS) for environmental sensing, where preconcentration and chromatographic separation leading to enhanced performance will be achieved at the nanoscale level via quantum interactions on carbon nanotubes (CNTs) directly self-assembled on the devices. The integrated system will be fabricated with the CNTs are self-assembled by chemical vapor deposition (CVD).

In this reporting period The objective of this research was to scale-up SWNT self-assembly via catalytic CVD to fabricate open tubular GC columns. Such large-scale assembly is being reported for the first time and required process and catalyst optimization.

Summary/Accomplishments (Outputs/Outcomes):

Singlewall Carbon Nanotubes (SWNT) as Stationary Phase for Chromatography
Gas-solid chromatography (GSC) is powerful analytical tool in the separation-analysis of gases and low boiling analytes. GSC columns utilize the sorption of the solute on a solid stationary phase as opposed to the partitioning in gas-liquid chromatography (GLC) as the dominant mechanism. The use of a solid sorbent film in place of a liquid stationary phase may allow the magnitude of the mass transfer term to be reduced and there by allow high efficiency in gas-solid columns. Typical solid phases for gas chromatography (GC) include porous polymers (e.g. Porapak), silica, molecular sieves, and activated carbons. Their microporosity and large surface area (500 – 3000 m2/g) are mainly responsible for the enhanced sorption capacity. Traditionally these solid phases are packed into a tube as in a packed column, although open tubular phases (PLOT columns) are also available. Many of these sorbents have an upper limit in operation temperatures of about 250 - 350°C, above which they begin to bleed.

Varied affinity and selectivity for a wide range of analytes may be possible with CNTs based upon their size, diameter, form (SWNTs or MWNTs), functionalization and film thickness. Two aspects of CNTs are important for chromatography, namely adsorption and fast desorption to achieve separation with in a reasonable time and at high resolutions. The physical / chemical affinity between the sorbate and the sorbent needs to be optimum for this to occur. Recent studies have evaluated MWNTs as gas chromatographic stationary phase where they were packed into a tube7, or self-assembled into a steel capillary in an open tubular format5. When packed as a powder, some of the nano-characteristics may be lost due to agglomeration, while in-situ self-assembly retains these features.

SWNTs are extremely attractive as chromatography stationary phase because of large aspect ratio and higher surface area, as much higher chromatographic efficiencies may be realized. They are significantly smaller in diameter than MWNTs and are known to possess properties that are quite different8. SWNTs are generally synthesized by either laser ablation9, catalytic arc discharge10 and chemical vapor deposition (CVD)11-13. However, CVD is most suited for direct deposition and the self-assembly on micro/macro structures. Recently we have reported the scaling up of MWNT self-assembly14. It is well known that SWNT synthesis is significantly more complex15-16, as MWNTs and amorphous carbon tend to grow preferentially during such a process. Selective growth of SWNTs requires precise preparation and laying down of transition metal catalyst such as, Ni, Co or Mo17. An additional requirement for the SWNT growth is the presence of these catalyst particles in angstrom size18. The objective of this research was to scale-up SWNT self-assembly via catalytic CVD to fabricate open tubular GC columns. Such large-scale assembly is being reported for the first time and required process and catalyst optimization. Gas chromatographic separation of various class of compounds was carried out, their chromatographic efficiencies and mass transfer behavior was investigated on this novel stationary phase. Capacity factors and isosteric heats of adsorption (ΔHs) of few representative samples were calculated and compared with the packed Carbopack C™ column. The polarity of the SWNT phase was determined from the McReynolds constants.

Experimental
Cobalt nitrate hexahydrate, Molybdenum acetate, ethanol, benzene, toluene, ethylbenzene, O-xylene, methylenechloride, carbontetrachloride, trichloroethylene, Methanol, ethanol, 2-propanol, 2-pentanone, methyl ethyl ketone, acetone, iso butyl butyrate, 95% n-hexane, heptane, octane, nonane, and decane were purchased from Aldrich (Milwaukee, WI). The PAH mixture was obtained from Ultra scientific (North Kingstown, RI). All gases were zero grade and obtained from Matheson Tri-Gas (Montgomeryville, PA). The standard hydrocarbon mixture consisting of methane, ethane, propane, butane, pentane and hexane and the branched hydrocarbon standard mixture containing isobutane, 2,2-dimethylpropane, 2-methylbutane, 2,2-dimethylbutane, 2-methylpentane, 3-methylpentane were purchased from Scott speciality gases (Plumsteadville, PA).

Cobalt nitrate hexahydrate, Co(NO3)2.6H2O and Molybdenum acetate, (CH3COOH)2Mo were dissolved in ethanol at 0.2 wt% and 0.05 wt% concentrations respectively. The dissolution process was assisted by sonication. The CVD system is shown in Fig. 1 and was located in a fume hood. The ethanolic solution containing the catalyst in the dissolved form was injected into the capillary metal tubing using a HPLC pump (Waters, Model 501). Typical flow rate was 100 μl/min. Hydrogen was simultaneously introduced into the tubing through a three way connector. The typical hydrogen flow rate was 40 cm3/min. Check valves (R.S.Crum & Co. Mountainside, NJ) were placed on both lines to restrict back-flow. The CVD was performed typically for about 12 min. Considering the use of hydrogen in presence of high temperature, the experiments were carried out in a fume hood and adequate safety precautions were taken. Various substrates, such as, 304 and 316 type stainless steel capillary tubing (Alltech, Deerfield, IL), silica lined metal capillary tubings, such as, Silcosteel™, and Sulfinert™ (Restek, Bellefonte, PA) were tested for the self-assembly of SWNTs. Prior to CVD, the tubes were washed with ethanol to remove any particles / impurities. The tubes were 1 meter long, with 0.53 mm ID. Though a meter long tube was used for the CVD, few centimeters extended out of the furnace. The total length used in GC separation was just 0.75 m. After the CVD, prior to their use in gas chromatography, the columns were treated at 200°C in air for 1 hr to oxidize amorphous carbon and other impurities generated during the process. Later, the column was heated in argon at 425°C for 1 hr to remove any low boiling impurities.

The SWNT film was characterized by Raman spectroscopy performed at 632.8 nm excitation using a Jubin-Yuon / Horiba Confocal micro raman. To study the CNT formation, one cm long segments were cut from the steel tube at five equidistant locations. The samples were cut open to expose the inside surface, and were analyzed by Leo 1530 VP (Carl Zeiss SMT AG Company, Oberkochen, Germany) field emission-scanning electron microscope. The distribution, surface coverage, and the thickness of the SWNT coating were studied based on the SEM images.

A Hewlett-Packard (HP) model 5870 series II gas chromatograph with a flame ionization detector (FID), interfaced with HP 3365 chemstation data acquisition and processing software was used to study the analyte separations. Gas samples were injected using a electronically controlled Valco 10 port sampling valve with injector and detector temperatures at 250°C. Liquid injections were made manually using an injection port with injector and detector temperatures at 280°C. Helium was used as the carrier gas.

Results and Discussion
The role of iron in the steel tubings as a catalyst for formation of MWNTs has been studied previously14. The presence of iron always led to MWNT formation rather than SWNTs. So, the strategy for selective SWNT growth required the prevention of iron in the bulk steel from participating in the process. Consequently silica lined stainless steel tubing, such as, sulfinert™ were selected. The SEM images (figure 2) showed that during high temperature CVD, the silica coating developed microscale cracks, thus increasing the surface area and roughness. This provided sites for catalyst deposition. The nano-structured metal catalyst was generated in-situ during the CVD process. The catalyst precursor metal complex was dissolved in ethanol and the solution in conjunction with the flowing hydrogen created an ethanol-catalyst aerosol inside the tube. At high temperature (725°C), the solution vaporized and distributed the catalyst along the whole length. The Co-nitrate broke down to form Co nano particles that were activated in the reducing H2 environment. The metal then catalyzed the SWNT growth, where the alcohol served as the carbon source.

The SEM images of the silica lined tube sections along the length of the tube revealed a randomly aligned, layer of thin SWNT film occasionally interspersed with little MWNTs and amorphous carbon. The surface coverage along the length varied with the mid-section having a higher density of relatively constant thickness. The variation in film thickness along the length of the column is presented in figure 1b. The drop in film thickness at the ends was probably due to the relatively cooler temperatures than in the mid-sections. Although variation in film thickness was not studied here; based on our previous results14 it is inferred that that film thickness can be varied by altering CVD conditions. The presence of SWNTs was confirmed by Raman spectroscopy on all the sections of the tubing. Multiple tubes were analyzed to check reproducibility. The Raman spectrum is shown in figure 3a and 3b, it showed the presence of the radial breathing mode (RBM) which is a characteristic of the SWNTs. Based on the characteristic peaks at wave numbers of 190, 217, 221, 248 and 287 cm-1 the SWNT diameters19 were calculated to be between 0.87 and 1.3 nm.

The SWNT film was morphologically different from the MWNT films reported before5. The MWNTs were vertically aligned with the tubes forming forest-like structure. The density could be quite high based on the CVD conditions. In the case of the SWNTs, the tubes did not have any preferential alignment and formed noodle-like structures. The tube density was significantly smaller than the MWNTs as shown in figure 3d. Thus, these two stationary phases are expected to be functionally different.

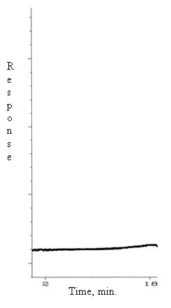
A wide range of organic compounds could be separated on these columns. Separation of the low molecular weights C1-C6 alkanes is shown in figure 4a, while larger molecular weights, such as, C6-C14, and the polyaromatic hydrocarbon (PAH) mixture are shown in figure 4b and 4c respectively. Normally, the former would be carried out in a packed GC column, while an open tubular column would be suitable for the latter. The SWNT allowed both these separation to be carried out in an open tubular format at high resolution. Although methane and ethane could not be separated on a 0.75 m column it is anticipated that longer length column or sub ambient cooling could be used to separate them. The ability of the SWNT phase in the separation of analytes with a wide range of boiling points and volatility is quite exciting from the standpoint of gas chromatography. This was possible due to the stability of the SWNT phase at high temperatures. This column was also used for a variety of other separations, such as, halo-hydrocarbons, alcohols, ketones and alkane isomers. The chromatogram in figure 4d shows the separation of alcohols. The other chromatograms are not presented here for brevity. The baseline from heating the column to 425°C is shown in figure 4e. It is evident that there was no column bleed or other instability at higher temperatures. It is pertinent to note that the analytes, chrysene and perylene in the PAH mixture, as well as, dodecane and tetradecane in the n-alkanes mixture (Figures 4b, 4c) eluted at temperatures around 425°C with near symmetrical peaks. Typical reproducibility in retention time measured as relative standard deviation (RSD) was less than 2%, which is comparable to those from commercial GC columns.

The band broadening and column efficiency were obtained from the plate theory of chromatography20. Typical chromatographic efficiencies on this column are presented in Table 1. The number of theoretical plates (N) obtained on the SWNT film for a 0.75 m length were comparable to the conventional open tubular columns. Figure 5 shows the Van deemter plot for the column with ethylbenzene at 200°C. The minimum height equivalent theoretical plate (HETP) was 0.42 cm and the optimum flow rate of the carrier gas ranged between 3.5 to 4.5 ml/min, which is typical of these columns with this internal diameter. Figure 6 shows the Van’t Hoff plot with the dependence of log k’ vs. reciprocal temperature for n-hexane as well as benzene. The linear plot (with correlation coefficients of 0.99) suggests that the separation follows classical chromatographic behavior.

Retention on the SWNT film was compared to that on a column packed with a commercial carbon phase, such as, Carbopack C™ (Supelco, Bellefonte, PA). Table 2 presents the capacity factors of few representative analytes on SWNT column versus the in-house packed Carbopack C™ column. The capacity factors are usually proportional to the mass and the surface areas of the sorbent material used. The table suggests that the capacity factors obtained on the 200 - 300 nm thick SWNT phase were comparable to a packed column containing 0.352 gm of the sorbent material. The specific surface area of the Carbopack C™ was about 10 m2/g.21 The high capacity factor on such a thin film reflects the high surface area of the SWNT phase.

Table 3 presents the isosteric heats of adsorption (ΔHs) in the infinite dilution region for selected analytes on the SWNT column and on the packed Carbopack C™ column over a temperature range of 443 – 493 K. The ΔHs values for the adsorption of organic vapors were calculated from the retention volumes (plot of ln(VN) / T against 1 / T, where the slope is -ΔHs / R. The regression coefficients were about 0.99 for all the plots.) as described by Bilgic et al.22 The isosteric heats of adsorption characterizes the activation energy for sorption, and consequently is a measure of sorbate-sorbent interaction. The data suggests stronger interaction of organic vapors with the SWNT sorbent, relative to the Carbopack C™. The trend of ΔHs of adsorption for the SWNT phase was hexane > benzene > Methyl ethyl ketone (MEK), opposite to that of their dipole moments and capacity factors (k’). This trend was similar to that observed by Agnihotri et al23 in their estimation of ΔHs for these organic vapors from a gravimetric approach. Polarity of the SWNT stationary phase was evaluated by calculating the McReynolds constants (ΔI) at 120°C.24-25 The data presented in Table 4 suggests that the SWNT phase was non-polar. Benzene showed a negative ΔI value, which implies hexane adsorbed more strongly than benzene. This was also observed from the ΔHs of adsorption and the capacity factors. This property of the CNTs has been reported previously by Bittner et al26 during their study on the characterization of the surfaces of SWNTs by pulse adsorption technique. They observed that hexane was the most strongly held among other organic compounds such as benzene, ethanol and iso-propanol. Therefore with respect to benzene, the SWNT phase is more non-polar than squalane. The elution sequences of the McReynolds probes were benzene, 1-butanol, 2-pentanone and pyridine respectively.

In order to evaluate the column-to-column reproducibility, three SWNT columns were prepared under identical conditions and the capacity factors were obtained for selected solutes (Table 5). The low RSD values bear testimony to the fact that the CVD process used for the SWNT deposition was a reliable technique and reproducible.

Figure 1a) Setup of the vapor phase catalytic synthesis of SWNTs inside the metal capillary tubing. 1b) Variation in SWNT film thickness as a function of column length.

Figure 1a) Setup of the vapor phase catalytic synthesis of SWNTs inside the metal capillary tubing.

Figure 1b) Variation in SWNT film thickness as a function of column length.

Figure 2. SEM images of the surface of the silica lined tubing a) SEM image of the surface AS-IS without subjected to any pretreatment. b) SEM image of the surface silica lined tubing with water sprayed at 725°C showing the microscale cracks.

Figure 2. SEM images of the surface of the silica lined tubing a) SEM image of the surface AS-IS without subjected to any pretreatment. Figure 2. SEM images of the surface of the silica lined tubing b) SEM image of the surface silica lined tubing with water sprayed at 725°C showing the microscale cracks.

(2c)

Figure 3. a) RBM spectra of the SWNTs synthesized at 725°C. b) Raman Spectra showing the D and G signals of the SWNTs. c) & d) SEM images showing the SWNT film on the metal capillary.

Figure 3.

(3c)

(3d)

Figure 3.

Figure 3.

Figure 4. Typical chromatograms generated from the SWNT columnmn a) ppm level of alkanes standard, conditions: 30°C, 0.5min, at 40°C/min. to 250°C, flow rate of carrier gas was 1.5 ml/min, 20 μl injection. b) high molecular weight n-alkanes, conditions: 120°C, 0.1min, at 40°C/min. to 425°C, 5 min; flow rate of carrier gas was 5.0 ml/min 4c) Separation of deuterated PAH mixture, 0.6 μl, 1:20 split ratio, Oven temperature 125°C at 30°C/min. to 425°C, 10 min, 300°C injector, detector. 4d) Separation of alcohols, conditions: 120°C for 0.5mins, 40°C/min. to 250°C, flow rate of carrier gas was 5.7ml/min. 4e) Chromatogram illustrating the column bleed test. The test shows a stable baseline. Conditions: 30°C, 2 min, at 30°C / min to 425°C, 4 min.

Figure 4.

Figure 4.

Figure 4.

Figure 5. Van deemter plot for ethylbenzene. (Hmin: 0.42 cm at 3.5 ml/min)

Figure 5. Van deemter plot for ethylbenzene. (Hmin: 0.42 cm at 3.5 ml/min)

Figure 6. Van’t Hoff plots (Variation in capacity factor with temperature) for hexane and benzene (dotted plot)

Figure 6. Van’t Hoff plots (Variation in capacity factor with temperature) for hexane and benzene (dotted plot)

Table 1. Column efficiency data

Solute

Column efficiency (N)

Capacity Factor (k’)

Temp.
(°C)

Pentane

759

3.270

130

Dichloromethane

745

4.486

50

Toluene

785

7.283

200

O-Xylene

793

10.962

240

Ethylbenzene

689

6.216

230

Nonane

625

13.915

270

Table 2. Comparison of capacity factors (k’) on SWNT column and packed Carbopack C™ column

Sample

SWNT-k’

Carbopack-k’

Temp.

Hexane

3.390

4.005

180

Benzene

3.125

2.562

180

Methylethylketone

0.531

1.500

180

Chloroform

3.450

3.048

100

Propane

1.508

1.625

30

Table 3. Isosteric heats of adsorption (ΔHs) on SWNT column and packed Carbopack C™ column

Sample

SWNT-ΔHs (kJ.mol-1)

Carbopack-C- ΔHs
(kJ.mol-1)

Hexane

59.53

19.18

Benzene

55.88

16.0

Methyl ethyl ketone

39.12

14.88

Table 4. McReynolds Constants for SWNT column

Probe

benzene

1-butanol

2-pentanone

1-nitropropane

pyridine

I for swnt

589.7

689.5

752.2

-

874.9

I for squalane

653

590

627

652

699

ΔI

-63 (x’)

100 (y’)

125 (z’)

(u’)

176 (s’)

Table 5. Evaluation of Capacity factors for column-column reproducibility.

Column

Ethylbenzene
Capacity Factor (k’)

Nonane
Capacity Factor (k’)

1

10.423

8.690

2

10.269

8.653

3

10.216

8.480

RSD (%) 1.04

RSD (%) 1.3

Conclusions:

SWNT based open tubular GC stationary phase was fabricated via catalytic CVD inside silica lined steel capillary columns. SWNTs demonstrated good separation efficiency, classical chromatography behavior, and high-resolution separations. The high surface area of the SWNT phase allowed separations of gases, and at the same time, its high thermal stability permitted separations of higher molecular weights at higher temperatures, thus extending the range of conventional chromatography on the same column. SWNTs therefore have the potential to be the high-performance separation media through nanoscale interactions.

References:

  1. Dai, H. Acc. Chem. Res. 2002, 35, 1035-1044.
  2. Guaya, P.; Stansfielda, B. L.; Rochefort, A. Carbon 2004, 42, 2187-2193.
  3. Saridara, C.; Brukh, R.; Iqbal, Z.; Mitra, S. Anal. Chem. 2005, 77, 1183-1187.
  4. Cai, Y.; Jiang, G.; Liu, J.; Zhou, Q. Anal. Chem. 2003, 75, 2517-2521.
  5. Saridara, C.; Mitra, S. Anal. Chem. 2005, 77, 7094-7097.
  6. Fujiwara, A.; ishii, K.; suematsu, H.; Kataura, H.; Maniwa, Y.; Suzuki, S.; Achiba, Y. Chem. Phys. Lett. 2001, 336, 205-211.
  7. Li, Q.; Yuan, D. J. Chromatogr. A 2003, 1003, 203-209.
  8. Saito, R.; Dresselhaus, G.; Dresselhaus, M.S. Physical Properties of Carbon Nanotubes; Imperial College Press: London, 1998.
  9. Thess, A.; Lee, R.; Nikolaev, P.; Dai, H.; Petit, P.; Robert, J.; Xu, C.; Lee, Y. H.; Smalley, R. E. Science 1996, 273, 483-487.
  10. Journet, C.; Matser, W. K.; Bernier, P.; Laiseau, L.; Lefrant, S.; Deniard, P.; Lee, R.; Fischer, J. E. Nature 1997, 388, 756-758.
  11. Makris, T. D.; Giorgi, L.; Giorgi, R.; Lisi, N.; Salernitano, E. Diamond Relat. Mater. 2005, 14, 815-819.
  12. Nasibulin, A. G.; Moisala, A.; Brown, D. P.; Jiang, H.; Kauppinen, E. I. Chem. Phys. Lett. 2005, 402, 227-232.
  13. Flahaut, E.; Laurent, C.; Peigney, A. Carbon 2005, 43, 375-383.
  14. Karwa, M.; Iqbal, Z.; Mitra, S. Carbon 2006 In Press.
  15. Ward, J. W.; Wei, B. Q.; Ajayan, P. M. Chem. Phys. Lett. 2003, 376, 717-725.
  16. Karwa, M.; Iqbal, Z.; Mitra, S. Carbon. Submitted.
  17. Dupuis, A.-C. Progress Mater Sci 2005, 50, 929-961.
  18. Cheung, C. L.; Kurtz, A.; Park, H.; Lieber, C. M. J. Phy. Chem. B 2002, 106, 2429-2433.
  19. Bandow, S.; Asaka, S.; Saito, Y.; Rao, A.M.; Grigorian, L.; Richter, E.; Eklund, P.C. Phy. Rev. Lett. 1998, 80, 2779.
  20. Skoog, D. A.; Holler, F. J.; Niemann, T. A. Principles of Instrumental Analysis; Saunders College Publishing: Philadelphia, PA, 1998.
  21. Catalog, Chromatography Products for Analysis and Purification, Supelco, Bellefonte, PA 2005.
  22. Bilgic, C.; Askin, A. J. Chromatogra. A 2003, 1006, 281-286.
  23. Agnihotri, S.; J.Rood, M.; Rostam-Abadi, M. Carbon 2005, 43, 2379-2388.
  24. McReynolds, W. O. J. Chromatogra. Sci. 1970, 8, 685-691.
  25. Rotzsche, H. Stationary Phases in Gas Chromatography, Elsevier Science B.V.; Amsterdam, 1991, 81-94.
  26. Bittner, E. W.; Smith, M. R.; Bockrath, B. C. Carbon 2003, 41, 1231-1239.

Student Supported:

  1. Dr. Chutarat Saridara – Completed Ph.D. in January 2005.
  2. Dr. Yubing Wang – Completed Ph.D. in August 2005
  3. Dr. Mahesh Karwa – Complete Ph.D. in may 2006.
  4. Dr.. KIamilah Hylton - Complete Ph.D. in may 2008.


Journal Articles on this Report : 12 Displayed | Download in RIS Format

Publications Views
Other project views: All 37 publications 13 publications in selected types All 13 journal articles
Publications
Type Citation Project Document Sources
Journal Article Brukh R, Mitra S. Mechanism of carbon nanotube growth by CVD. Chemical Physics Letters 2006;424(1-3):126-132. R830901 (Final)
  • Full-text: ScienceDirect-Full Text HTML
    Exit
  • Abstract: ScienceDirect
    Exit
  • Other: ScienceDirect-PDF
    Exit
  • Journal Article Brukh R, Mitra S. Kinetics of carbon nanotube oxidation. Journal of Materials Chemistry 2007;17(7):619-623. R830901 (Final)
  • Abstract: RSC Publishing-Abstract
    Exit
  • Journal Article Chen Y, Iqbal Z, Mitra S. Microwave-induced controlled purification of single-walled carbon nanotubes without sidewall functionalization. Advanced Functional Materials 2007;17(18):3946-3951. R830901 (Final)
  • Abstract: Wiley Online-Abstract
    Exit
  • Journal Article Chen Y, Mitra S. Fast microwave-assisted purification, functionalization and dispersion of multi-walled carbon nanotubes. Journal of Nanoscience and Nanotechnology 2008;8(11):5770-5775. R830901 (Final)
  • Abstract from PubMed
  • Abstract: IngentaConnect-Abstract
    Exit
  • Journal Article Hussain CM, Saridara C, Mitra S. Microtrapping characteristics of single and multi-walled carbon nanotubes. Journal of Chromatography A 2008;1185(2):161-166. R830901 (Final)
  • Abstract from PubMed
  • Full-text: ScienceDirect-Full Text HTML
    Exit
  • Abstract: ScienceDirect-Abstract
    Exit
  • Other: ScienceDirect-PDF
    Exit
  • Journal Article Karwa M, Iqbal Z, Mitra S. Scaled-up self-assembly of carbon nanotubes inside long stainless steel tubing. Carbon 2006;44(7):1235-1242. R830901 (2005)
    R830901 (Final)
  • Abstract: ScienceDirect-Abstract
    Exit
  • Journal Article Karwa M, Mitra S. Gas chromatography of self-assembled, single-walled carbon nanotubes. Analytical Chemistry 2006;78(6):2064-2070. R830901 (Final)
  • Abstract from PubMed
  • Abstract: ACS Publications-Abstract
    Exit
  • Journal Article Karwa M, Iqbal Z, Mitra S. Selective self-assembly of single walled carbon nanotubes in long steel tubing for chemical separations. Journal of Materials Chemistry 2006;16(28):2890-2895. R830901 (Final)
  • Abstract: RSC Publishing-Abstract
    Exit
  • Journal Article Saridara C, Brukh R, Iqbal Z, Mitra S. Preconcentration of volatile organics on self-assembled, carbon nanotubes in a microtrap. Analytical Chemistry 2005;77(4):1183-1187. R830901 (2005)
    R830901 (Final)
  • Abstract from PubMed
  • Full-text: ThaiScience-PDF
    Exit
  • Abstract: ACS Publications-Abstract
    Exit
  • Journal Article Saridara C, Mitra S. Chromatography on self-assembled carbon nanotubes. Analytical Chemistry 2005;77(21):7094-7097. R830901 (2005)
    R830901 (Final)
  • Abstract from PubMed
  • Full-text: Thai Science-PDF
    Exit
  • Abstract: ACS Publications-Abstract
    Exit
  • Journal Article Wang Y, Iqbal Z, Mitra S. Rapidly functionalized, water-dispersed carbon nanotubes at high concentration. Journal of the American Chemical Society 2006;128(1):95-99. R830901 (Final)
  • Abstract from PubMed
  • Abstract: ACS Publications-Abstract
    Exit
  • Journal Article Wang Y, Iqbal Z, Mitra S. Rapid, low temperature microwave synthesis of novel carbon nanotube-silicon carbide composite. Carbon 2006;44(13):2804-2808. R830901 (Final)
  • Abstract: ScienceDirect-Abstract
    Exit
  • Supplemental Keywords:

    Sustainable Industry/Business, RFA, Air, Ecosystem Protection/Environmental Exposure & Risk, Scientific Discipline, Engineering, Chemistry, & Physics, Chemistry and Materials Science, Monitoring/Modeling, New/Innovative technologies, Environmental Engineering, Environmental Monitoring, micro integrated sensinig system, environmental measurement, carbon nanotubes, nanotechnology, nanoengineering, micro electromechanical system, aerosol analyzers, nanocrystals, geometric catalytic selectivity, nanoparticle catalysts, air pollution, air pollution control

    Relevant Websites:

    Chemical Technology, published by Royal Society of Chemistry, http://www.rsc.org/Publishing/ChemTech/Volume/2006/8/GC_nanotubes.asp Exit
    Royal Society of Chemistry feature related to Soluble Carbon Nanotubes http://www.rsc.org/chemistryworld/News/2005/December/20120501.asp Exit
    Other features on soluble nanotubes: http://www.sciencedaily.com/releases/2006/02/060209083822.htm Exit http://www.chemie.de/news/e/44511/?pw=a&defop=and&wild=yes&sdate=01/01/1995&edate=03/21/2005 Exit
    National Cancer Institute feature on making nanotubes water-soluble, perhaps safer: http://nano.cancer.gov/news_center/nanotech_news_2006-02-21d.asp Exit
    Nanotech Wire: http://nanotechwire.com/news.asp?nid=2967 Exit

    Progress and Final Reports:

    Original Abstract
  • 2003
  • 2004 Progress Report
  • Top of Page

    The perspectives, information and conclusions conveyed in research project abstracts, progress reports, final reports, journal abstracts and journal publications convey the viewpoints of the principal investigator and may not represent the views and policies of ORD and EPA. Conclusions drawn by the principal investigators have not been reviewed by the Agency.

    Project Research Results

    • 2004 Progress Report
    • 2003
    • Original Abstract
    37 publications for this project
    13 journal articles for this project

    Site Navigation

    • Grantee Research Project Results Home
    • Grantee Research Project Results Basic Search
    • Grantee Research Project Results Advanced Search
    • Grantee Research Project Results Fielded Search
    • Publication search
    • EPA Regional Search

    Related Information

    • Search Help
    • About our data collection
    • Research Grants
    • P3: Student Design Competition
    • Research Fellowships
    • Small Business Innovation Research (SBIR)
    Contact Us to ask a question, provide feedback, or report a problem.
    Last updated April 28, 2023
    United States Environmental Protection Agency

    Discover.

    • Accessibility
    • Budget & Performance
    • Contracting
    • EPA www Web Snapshot
    • Grants
    • No FEAR Act Data
    • Plain Writing
    • Privacy
    • Privacy and Security Notice

    Connect.

    • Data.gov
    • Inspector General
    • Jobs
    • Newsroom
    • Open Government
    • Regulations.gov
    • Subscribe
    • USA.gov
    • White House

    Ask.

    • Contact EPA
    • EPA Disclaimers
    • Hotlines
    • FOIA Requests
    • Frequent Questions

    Follow.