Skip to main content
U.S. flag

An official website of the United States government

Here’s how you know

Dot gov

Official websites use .gov
A .gov website belongs to an official government organization in the United States.

HTTPS

Secure .gov websites use HTTPS
A lock (LockA locked padlock) or https:// means you have safely connected to the .gov website. Share sensitive information only on official, secure websites.

  • Environmental Topics
  • Laws & Regulations
  • Report a Violation
  • About EPA
Contact Us

Grantee Research Project Results

Final Report: Development of a Continuous Monitoring System for PM10 and Components of PM2.5

EPA Grant Number: R825305
Title: Development of a Continuous Monitoring System for PM10 and Components of PM2.5
Investigators: Lippmann, Morton
Institution: New York University Medical Center
EPA Project Officer: Hahn, Intaek
Project Period: October 1, 1996 through September 30, 1999
Project Amount: $436,262
RFA: Analytical and Monitoring Methods (1996) RFA Text |  Recipients Lists
Research Category: Ecological Indicators/Assessment/Restoration , Environmental Statistics , Air Quality and Air Toxics , Water , Air , Land and Waste Management

Objective:

The objectives of this research project were to produce a working model and calibration and performance specifications of a monitoring system that addresses the need for continuous measurement of the mass concentrations of particulate matter (PM), including ultrafine particles, PM2.5 and PM10, NH4NO3, and particle-bound water. Such a monitoring system is needed for: (1) studies of PM exposures and their health effects; and (2) studies of PM source attribution and control efficacy. These studies also are needed for the periodic review of the National Ambient Air Quality Standards (NAAQS) mandated by the Clean Air Act Amendments of 1990. The concentrations of components to be measured separately by the system were: coarse mode particle mass (PM10–PM2.5), accumulation mode sulfate (SO42-), accumulation mode nitrate (NO3¯), accumulation mode ammonium (NH4+), accumulation mode organic carbon (OC) and elemental carbon (EC), accumulation mode water (H2O), fine particle mass (PM2.5), and ultrafine mode mass (PM0.15).

Summary/Accomplishments (Outputs/Outcomes):

Design Concept

The continuous monitoring system was designed to aerodynamically sort PM10 into three size-fractions: (1) coarse mode (PM10-PM2.5); (2) accumulation mode (PM2.5-PM0.15); and (3) ultrafine mode (PM0.15). The mass concentration of each mode is measured using the method developed by Koutrakis (linear relation between accumulated mass and pressure drop on polycarbonate pore filters). For the accumulation mode aerosol (PM2.5-PM0.15), which contains nearly all of the semivolatiles and particle-bound water by mass, the aerosol components are continuously monitored with respect to sulfate (by flame photometry), ammonium, and nitrate (by chemiluminescence after collection and thermal-desorption by Tungustic Acid Coated Metal Filter Converter), organic carbon (OC), elemental carbon (EC) (by thermal-optical), and particle-bound water (by electrolytic hygrometry). The concentration of H+ then can be determined (by ion balance using the data on NO3¯, NH4+, and SO42-). The overall design concept is illustrated schematically in Figure 1.

 

Figure 1

Figure 1. Overview of the System for Continuous Measurement of PM, and Components of Accumulation Mode

A pair of PM10 inlets limit access to those particles that can penetrate into the human thorax. They are followed by a virtual impactor with a 2.5 µm cut-size. The coarse particle mode (suspended in 3.4 L/minute of the inlet air) is directed onto a spot on a polycarbonate pore (Nuclepore™) filter tape using the filter resistance method developed by Koutrakis, et al. (1995). After a suitable sampling interval and determination of particle mass collected, the tape spot is mechanically advanced for sample storage and presentation of a fresh filter surface for the next sampling interval. The fine particle fraction (suspended in 30 µm of the inlet flow) is divided into a: (1) PM2.5 filter tape mass monitor (0.2 µm); (2) PM0.15 sequential filter mass monitor after passing a 0.15 µm cut impactor (0.8 µm); and (3) 29 µm virtual impactor with a 0.15 µm cut-size (lowest practical cut-size). The particles in the streams (1) and (2) accumulate on the filter samplers for periodic mass concentration analyses in a manner similar to that used to measure the coarse particle fraction. The development of this extension of the method of Koutrakis, et al. (1995) to ultrafine particles is described in detail in section 4D. The accumulation mode particles (0.15 to 2.5 µm), suspended in 2.9 µm of the inlet air, are directed into a: (1) stream of 1.8 µm leading to the aerosol water detector; and (2) stream of 1.1 µm leading to the inlets of the continuous detectors for accumulation mode aerosol components of primary interest (i.e., SO42-, NO3¯, NH4+, OC, and EC).

With the exception of the aerosol water, ammonium, nitrates, and particulate mass detectors, each of the continuous monitors uses well-established detection methods available in widely used commercial instruments. Similarly, the PM10 inlet and 2.5-µm virtual impactor are widely used and commercially available.

Monitoring System Elements Based on Commercially Available Equipment

Flame-Photometric Detector (FPD) for Aerosol Sulfate. The Meloy Model 285 FPD is a well-proven instrument for the measurement of the sulfur in ambient air in all of its compounds. It is commonly used to measure total concentration of sulfur in aerosol by using PbO diffusion enuders at the inlet to remove ambient vapors such as SO2, H2S, and mercaptans. Sulfur appears in aerosol in sulfates (H2SO4, NH4HSO4, and (NH4)2SO4). Thus, the sulfate ion mass concentration is essentially equivalent to three times the measured sulfur concentration. This application of the FPD has been described by Cobourn, et al. (1978) and Allen, et al. (1984). The instrument detection limit is 1 ppb (4 µg/m3 SO42-), with a sampling flow rate of 180 mL/minute. Because the sample is preconcentrated 10 times by means of a 0.15 µm virtual impactor before analysis, the detection limit is expected to be 0.4 µg/m3 for accumulation mode particulate SO42- in ambient air.

Thermal-Optical Technique for Measurement of Aerosol OC and EC. For future measurements of aerosol organic and elemental carbon, we plan to adopt an in situ aerosol carbon analysis method developed by Turpin, et al. (1990). The method combines the sampling function of a two-port parallel filter sampling technique with the analytical function of a thermal-optical carbon analyzer (Johnson, et al., 1981; Huntzicker, et al., 1982), and was employed in the Carbonaceous Species Method Comparison Study (CSMCS) in Glendora, CA, in the summer of 1986 for side-by-side measurement of sub-2.5 mm aerosol carbon concentrations with other conventional sampling and analysis methods (Bering, et al., 1990). The detection limit of the method was reported to be as low as 0.2 µg carbon with a precision of about 3 percent.

PM10 Inlet. Currently, two 16.7 Lpm inlets from Graseby-Andersen Dichotomous Samplers are used in the monitoring system.

PM2.5 Virtual Impactor. Two 2.5 µm virtual impactors from Series 241 Graseby-Andersen PM10 Manual Dichotomous Samplers are used in the system, which separate the 16.7 L/minute of inlet flow into a: (1) 1.7 L/minute stream containing the PM10 coarse-mode fraction along with 10 percent of the fine fraction; and (2) 15 L/minute stream containing 90 percent of the fine PM fraction.

Virtual Impactor With 0.15 mm Cut-Size. To continuously monitor the chemical composition of the accumulation mode particles, we use a rectangular virtual impactor that was designed and tested by Sioutas, et al. (1994), to preconcentrate the sample. The operational and performance characteristics of this impactor are summarized in Table 1. It demonstrates the technical feasibility of a 0.15 µm cut size.

 

Table 1. Particle Collection Characteristics of the Sioutas, et al. (1994) Low Outpoint Virtual Impactor
Particle Diameter
Collection Efficiency
Losses
0.05
34.9 ± 2.8
7.4 ± 2.3
0.12
49.5 ± 1.5
8.1 ± 1.7
0.20
61.l ± 1.6
13.8 ± 3.6
0.45
91.4 ± 4.5
5.9 ± 1.9
0.75
98.0 ± 0.8
2.6 ± 0.8
1.10
97.1 ± 1.3
4.6 ± 1.3
2.00
98.3 ± 0.7
7.0 ± 2.5

PM10 and PM2.5 Particle Mass Monitors. For PM10 and PM2.5 particle mass concentration measurements, we use the Continuous Particle Mass Monitor (CPMM) developed by Koutrakis, et al. (1995), in which the mass accumulated on a polycarbonate pore filter (Nuclepore™) can be shown to be directly proportional to the pressure drop across that filter during sampling. The CPMM was validated in laboratory and field tests in Boston.

The basis for the method is that the particles are collected at the entries to and within the pores of the Nuclepore™ filter by interception or Brownian diffusion, rather than on the surfaces between the pores by impaction. The flow through the pores is restricted by the presence of the collected particles in proportion to their volume. The CPMM method combines measurement at ambient temperature, short sampling durations, and low face velocity, which together result in minimum volatilization or adsorption artifacts. It is important for accurate aerosol measurement, and is not possible with previous methods. The low face velocity is achieved by using only 1.5 percent of the flow stream; the balance is vented. The stream to the CPMM passes through a diffusion dryer that removes excess water by reducing the relative humidity (RH) to 40 percent or less.

Monitoring System Elements Developed and/or Evaluated in This Research

Continuous Ultrafine Particle Mass Monitors (CPMM-U). For monitoring the fine particles (PM2.5) and the coarse particles (PM10-PM2.5), the pore-sizes of Nuclepore™ filter used are 2 µm and 10 µm, respectively. To measure the mass concentration of ultrafine particles (PM0.15), a very small pore size is needed to match the size of particles of interest and optimize the sensitivity of the instrument. A 0.2 µm pore filter has to be chosen according to our experimental data. This results in a: (1) very high baseline pressure drop across the capillary pore filter; and (2) very small mass increments because collected ultrafines will markedly increase the resistance, providing a very sensitive measure of the mass concentration of ultrafine particles. The typical pressure drop in the Koutrakis CPMM design using a 2 µm pore size was about 12 inches of water column, and the pressure drop in CPMM-U using a 0.2 µm pore size is around 70 inches of water column. Two problems arise as a result of the greater pressure drop and need to be overcome: (1) the difficulty of balancing both pressure transducers as the sampling time increases (use of a pressure transducer with a broad measurement range limits the sensitivity); and (2) the difficulty of maintaining a leak-free system increases (a small leak in the system will cause errors in mass measurement). In this work, we revised the original version of CPMM to apply it for monitoring the mass of ultrafine particles and renamed it as CPMM-U.

A CPMM-U consists of two parallel channels, four capillary pore filters (N1...N4), and two HEPA filters (see Figure 2). In addition, needle valves and flow meters are used to control and monitor the flow rates in each channel. Two sensitive pressure transducers (range ± 2 cm H2O, Validyne Engineering Corp., Northridge, CA), Tl and T2, are used to measure the change in pressure drop at two locations along each channel as shown in Figure 2. The measured pressure drops can be related to the mass loading of the first capillary pore filter of the measurement channel. The left channel, which has a capillary pore filter exposed to ambient particles, is the measurement channel. The right channel, with both capillary pore filters behind the HEPA filter, is the reference channel.

 

Figure 2

Figure 2. Schematic Layout of the Basic Elements of the System for the Measurement of the Mass Concentration of the Ultrafine Function of Ambient Air Particulate Matter. The increased flow resistance across the N1 Nuclepore filter is proportional to the accumulated mass and number of ultrafine particles.

The pressure drop across a capillary pore filter is affected by relative humidity of the air, the temperature, the flow rate, and the static pressure at the entrance of the filter. The effect of any one of these three factors can exceed the change in pressure drop because of particle loading. Although N2 serves as a reference to eliminate the fluctuations in relative humidity, temperature, and flow rate, a one-channel design has some serious limitations. First, because the linear range of the change in pressure drop across N1 is very small (less than 5 percent) in comparison with the overall pressure drop of the filter, it is difficult to accurately measure the change in pressure drop because of particle loading. Also, it cannot be assumed that N2 operates at the same conditions as N1. This requirement is approximately satisfied for humidity, temperature, and flow rate. However, the pressure at the entrance of N2 may be different if N1 causes a significant pressure drop, as in the case of using a capillary pore filter with a small pore size. A two-channel design greatly improves on these limitations.

Only particles that deposit at the entrances to, or inside the pores of, a filter can contribute to the increase in pressure drop. Therefore, the flow rate was selected to minimize the impaction of particles on the surface of a capillary pore filter, and to maximize the diffusion and interception of particles inside the pores. Other factors that are important in the selection of flow rate include: (1) ensuring that the change in pressure drop across N1 can be measured in a reasonable period of time for the typical ambient particle concentration; and (2) achieving a pressure drop that is not too high (causing operational problems). A capillary pore filter with 0.2 mm pore size and a face velocity of 5 cm/sec was selected. The theoretical basis for the collection efficiencies from different collection mechanisms was developed by Spumy et al. (1969).

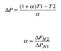
Koutrakis, et al. (1995) have shown that, for the CPMM, the increase in pressure drop of N1 can be calculated by 2T1-T2. One of the assumptions is that the pressure drop of N2 is the same as that of N1. This condition is satisfied when using capillary pore filter of larger pore size (2.0 µm). However, this condition is not satisfied when 0.2 µm capillary pore filters are used, because the pressure drop across a capillary pore filter depends on the flow rate and pressure at the filter face. Because of the pressure drop across N1 (approximately 70 inches of water), the pressure drop across N2 is only about 85 percent of that across N1. Generally, the pressure drop across N1, ΔP, can be expressed as:

 

Formula

where Tl and T2 are the pressure differentials recorded by pressure transducer 1 and 2. delta2PN1 and delta2PN2 are the pressure drop across N1 and N2 at a given flow rate, respectively. For a velocity of 5 cm/sec, the a has a value of 0.85.

As aerosol enters the CPMM-U, it is dried by passing through a diffusion dryer. The flow then splits into two streams. On the left path, particles deposit on N1, causing an increase in flow restriction across N1. Any particle that penetrates N1 will be removed completely by the HEPA filter that is located further down the line. Therefore, the flow restriction of N2 will not change as a result of particle loading during sampling. On the right path, particles are immediately removed by the HEPA filter. The flow restrictions of both the first and second capillary filters will not change as a result of particle loading during sampling because: (1) the capacity of the HEPA filter is much larger than that of a capillary filter; and (2) the pressure drop across the HEPA filter is less than one hundredth of that across a capillary pore filter under our experimental conditions. Thus, the increase in flow restriction to the HEPA filter is negligible in comparison to that of the capillary pore filter.

As particles deposit on N1, the balance of the system is self-adjusted to accommodate the change in flow restriction of N1. As a result, the pressure drop across the N1 increases and the T1 reading increases. Assuming that the flow rates of both lines are not significantly changed during the period of sampling, the T2 reading also increases.

Because the mass of a particle decreases as the third power of particle size, a gravimetric method was impractical for the calibration of the CPMM-U. Therefore, we employed a method using an Ultrafine Condensation Particle Counter and monodisperse particles to calibrate the CPMM-U. The results of the calibration tests for various sizes of monodisperse ultrafine particles are shown in Figure 3.

 

Figure 3

Figure 3. The Results of the Calibration Tests for Various Sizes of Monodisperse Ultrafine Particles

To make this CPMM-U system capable of running under unattended conditions, the development of a continuous system is needed. The Koutrakis CPMM was developed as an automated PM2.5 system capable of running 7 days without attendance (1996). To change the filter for every measurement, the CPMM uses a step motor to advance a roll of capillary pore filter to a new position before each run starts. A sealing mechanism was designed to seal around the filter during sampling and release the filter during filter advancement.

Because the pressure drop across the capillary pore filters in the CPMM-U is five to seven times higher than that in the CPMM, the filter advancement system for CPMM was considered unsuitable for the CPMM-U. Koutrakis, et al. (1996) have shown that a small leak in the CPMM can cause a significant error in the measurement of mass concentration. Therefore, we concluded that a better sealing mechanism was needed to withstand the higher pressure drop required for the CPMM-U. Also, the high pressure drop across a capillary pore filter may fix the filter in place, and hence, may damage the filter during tape advancement. To avoid such problems, we use a multi-head filter holder that can provide a good seal for each filter. Instead of a filter advancement system, we use a sequential sampling approach. Figure 4 shows the systematic design of the multi-head filter holder.

 

Figure 4

Figure 4. Systematic Design of the Multi-Head Filter Holder

The multi-head filter holder is machined from an aluminum block. Recessed filter holders (the number depends on the optimization of the CPMM-U) are machined into the block. Each filter holder includes a stainless steel screen backup and a gasket. The solenoid valves, which are controlled by a computer, select one sampling channel at a time. The capillary pore filters are loaded into the filter holder block in the laboratory, and the multi-head filter holder is replaced as a whole in the field.

Because the linear range of the instrument extends to a mass concentration as high as 20 µg/m3, one filter may be used for a long period of sampling if the mass concentration of particles is relatively low. For example, if the mass concentration of the ultrafine fraction is 1 µg/m3, the linear response range will not be exceeded until 20 1-hour consecutive samplings are made on one filter. Therefore, a multi-head holder containing 14 filter holders should be sufficient for a 1-week sampling under almost all ambient conditions in the United States.

Particle-Bound Water Detector (PBWD). An innovative technology for continuous monitoring particle-bound water in accumulation mode aerosol was developed as part of this research grant project. The basic problem that had to be overcome was the extremely high background water vapor concentration in ambient air compared to the water bound by particles at normal environmental conditions. Because of the rapid equilibration between water vapor and particle surface water (milliseconds time-scale), there is no conventional method for separating the particle-bound water and its co-existing vapor without disturbing the phase equilibrium. The concepts underlying the development of the PBWD are to: (1) collect particles over a relatively short time period (compared with the time scale of environmental variation); (2) collect the particles without disturbing the water equilibrium between the particle and gas phases (by maintaining the sampling system at the condition of the ambient environment); and (3) minimize the sample cell volume in which the associated air remains. The particle-bound water then can be readily detected above the water vapor background in air by means of a highly sensitive moisture detector, such as a P2O5-Pt electrolytic hygrometer. The electrolytic hygrometer was chosen as a water detector for our system because it: (1) has the lowest detection limits currently available; (2) is relatively inexpensive; and (3) is convenient to operate. Our schematic diagram for the semi-realtime analyzer for particle-bound water in accumulation mode aerosol is illustrated in Figure 5.

 

Figure 5

Figure 5. Schematic Diagram of the System for the PBWD

The basis for the technique is the accretion of PM2.5-PM0.15 particles by means of a membrane filter over a preset period of time. Two identical sample cells, each one consisting of a 13 mm diameter. Teflon membrane filter (1.0 µm pore size) and a small enclosure are connected in series. The Teflon membrane filters were selected because of their excellent particle collection efficiency, low moisture uptake, and low trace background, although loss of nitrate and nitric acid from the Teflon filter may cause a minor sampling artifact. The upstream sample cell collects and preconcentrates the particles in the air sampled from the 0.15 µm virtual impactor, while the second cell analyzes the backgrounds from the air and filter. Multiple parallel sampling lines are used for alternating the sampling and analysis processes, and are controlled by solenoid valves. All of the solenoid valves are operated by an interfacing computer with a preset program.

Because every H2O molecule electrolyzed on a P2O5-Pt electrode produces two electrons (based on Faraday's Law of Electrolysis), the current relates to the number of H2O molecules electrolyzed and is directly proportional to the concentration of the H2O molecules in the gas stream. An advantage is that this correlation is insensitive to gas pressure and mass flow rate. The sensor is commercially available for sampling moisture in gas streams and at normal atmospheric pressure. The lowest reported detection limit is 10 ppb (McAndrew, 1992).

Currently, the PBWD is using a Meeco Aquamatic Moisture Analyzer (Meeco Inc., Warrington, PA), which consists of a P2O5-Pt electrolytic cell, an accurate flow control system, and an electronic signal reading and output. The working range of this instrument is 0-2,000 ppm with an accuracy of ± 5 percent. The particle-bound water can be determined from the difference between the signals from the sample cell and the background cell. The filter of the aerosol sample cell is changed after each run. Because of the rapid equilibrium between the water in particulate and gaseous phases, the particle-bound water is evaporated rapidly and carried by helium into the gas stream that passes through the P2O5-Pt electrode. The experimental results showed that the P2O5-Pt electrode has a very sharp output signal response, with a linear correlation between the signal peak height and the total water mass (mw) collected in each filter sample (see Figure 6).

 

Figure 6

Figure 6. Typical Signal Output of PBWD to Water Mass Containing in H2SO4 Aerosol (left: mw = 8.1 µg, right: mw = 14.0 µg)

The sample cell was designed to be small (2 cm3). For a flow rate of 1.8 Lpm and a sampling time of 60 minutes, the concentration of particle-bound water can be elevated by a factor of 5.4 x 105 in relation to its carrier air stream (including a preconcentration factor of 10 provided by the PM0.15 virtual impactor). Therefore, the particle-bound water can be measured despite the associated vapor in the air stream. A detection limit of the system is estimated to be as low as 5 µg/m3 total particle water mass concentration with a water composition of 15 percent at RH above 40 percent, and 5 percent at RH below 40 percent, in a sampling period of 60 minutes.

For system calibration, monodisperse H2SO4 aerosols (dp of from 0.1 to 0.8 µm) with known size and concentration were used as reference atmospheres. The hygroscopic properties of H2SO4 aerosols are strongly dependent on RH, and the dependency of the particle-bound water of H2SO4 aerosols on RH are known (Bray, 1970). A condensation H2SO4 aerosol generator for generating nearly monodisperse sulfuric acid aerosol under very dry conditions, and an aerosol humidifier that had been built in this laboratory was available for this research. The experimental results of our previous research (EPA Grant R822476, Dr. Lippmann, PI, and Dr. Xiong, Co-PI) showed that the generator has a very stable output regarding the particle number concentration and size distribution (Xiong, et al., 1998). The aerosol undergoes hygroscopic growth by passing through a cylindrical steady-state humidifier, and its size is dependent on the original particle size (under very low humidity condition) and the RH. The aerosol size change and concentration can be determined by a Scanning Tandem Differential Mobility Particle Spectrometer (STDMPS), a precise particle measurement and sizing system that was built and used in our laboratory in a complementary study. Figure 7 shows a typical calibration curve of the PBWD system by using monodisperse H2SO4 aerosol as the test aerosol.

 

Figure 7

Figure 7. Response of PBWD Output Signal Peak to Total Water Mass Contained in Monodisperse H2SO4 Aerosol Samples (dp = 0.1 µm)

Particulate Nitrate (NO3-) and Ammonium (NH4+ Monitor). A system for continuous measurement of particulate NO3- and NH4+ (see Figure 8), was designed, assembled, and validated. The system combines a two-channel chemiluminescent NOx detector (CLD) (Monitor Labs, Model 8840) with a pair of tungstic acid coated metal filters (TAMF). Collection and phase separation of nitrate and ammonia can be achieved by means of an upstream denuder pack and the TAMFs. The denuder pack removes gas phase HNO3 and NH3, which could otherwise confound the measurement of the nitrogen containing aerosol components. The TAMF, a porous stainless steel filter impregnated with tungstic acid, collects particles from the flow stream, but not the NOx in the gas phase. Ambient air is drawn through the denuder pack and TAMF for a preset period of time by a small diaphragm pump. At the end of the sampling period, the inlet solenoid valve and the pump solenoid valve both close. After purging the system with helium under room temperature, both the helium gas stream and the TAMF are rapidly heated to 350°C. The nitrate in the sampled particulate is stoichiometrically converted to gaseous NO2 during the heating of the TAMF, while the ammonium in the particulate is released to the gas phase at the same time as ammonia. The desorbed NO2 and NH3 are carried by helium through the system. Makeup air is added to convert NH3 to NO2 in a Thermocon converter (Monitor Labs, Model 8750). The gas stream is then equally split into two lines. One stream passes through a molybdenum converter, where the NO2 (representing the aerosol nitrate contents) is catalytically converted to NO at near 300°C prior to passage through the CLD sensing zone of the first channel (other nitrogen compounds, such as NH3, are not converted to NO2 at this temperature). The other stream passes through a Thermocon converter, a high temperature thermodynamic converter where both NO2 and NH3 are stoichiometrically converted to NO2 at a temperature of 750°C before entering the sensing zone of the second channel. A multichannel computer interfaced data acquisition system is used in recording and processing the output of both channels. The concentration of ammonia can be determined from the difference between the simultaneous measurements in the two channels. For continuous analyses, two parallel TAMF sampling lines are built into the system, which can be switched for sampling or analysis by three-way solenoid valves (see Figure 8).

 

Figure 8

Figure 8. Schematic Diagram of Tungustic Acid Coated Metal Filter-Chemiluminescent NOx Detector (TAMF-CLD) System for the Continuous Measurement of Particulate Nitrate and Ammonium Concentrations

The modified TAMF technique developed in this study was based on the principle of the previous tungstic acid technique (TAT) of Braman, et al. (1982), which was used for preconcentration and determination of gaseous and particulate nitrate and ammonia. Nitrate and ammonia can be quantitatively chemisorbed at the tungstic acid-coated surfaces at room temperature, and thermally desorbed at high temperature (350°C). The advantage of the Braman TAT was that there was essentially no interference of gaseous NOx in either the NO3¯ or the NH4+ analyses. The weakness of the Braman's TAT was its limited particle collection efficiency, which was essentially a quartz tube packed with tungstic acid-coated sand. For a 34 cm long three-section tube, the particle penetration was reported as high as 22 percent at a sampling flow rate of l Lpm. Large packed tubes can be used to improve efficiency, but this limits the sampling flow rate attainable. Thus, the original TAT-CLD did not perform well during the 1985 Nitrogen Species Methods Comparison Study (Hering, et al., 1988). However, this technology was greatly improved in this study by using the tungstic acid-coated inline metal filter (Swagelok F-series, 0.5 µm pore size, Swagelok, Solon, OH), which is able to collect the particulate components of interest physically and chemically. Our experimental data showed that the particle collection efficiency of the modified TAMF was greater than 99 percent for all particle sizes. Furthermore, a two-channel CLD was used for the parallel detection of NO3¯ and NH4+, which simplifies the processes of sample separation and minimizes the sampling artifacts reported by Braman, et al. (1982). The instrument detection limit of CLD is 2 ppb, with a sampling flow rate of 250 mL/min for each channel. Because the particle sample is preconcentrated 10 times prior to entering the analysis system, the detection limits of our TAMF-CLD system for ambient accumulation mode particulate NO3¯ and NH4+ are estimated to be below 0.1 µg/m3 for a 30-minute sampling period.

As shown in Figure 9, there is a nearly linear correlation between the peak values of NH, mass concentration measured by TAMF-CLD system and standard NH, mass load in the range of 60- 550 ng.

 

Figure 9

Figure 9. Correlation Between Peak Value NH3 Mass Concentration Measured by TAMF-CLD and Actual NH3 Mass Load in the Range of 60-550 ng (Error Bar Indicated the 95 Percent Confidence Intervals)

Data Acquisition and System Control. To automate the detection system and the data acquisition, we use a 64-channel computer interfaced data acquisition and a 24-channel instrument control system (Labview DAQ, National Instruments, Austin, TX). The system consists of an interface IBM-PC computer: a multifunction analog, digital, and timing input/output (I/O) board (Labview-windows/PCI-MIO-16XE-50); an analog multiplexer; two electromechanical relay boards (ERB) (one 8-channel and one 16-channel); and a software package with various control options. This system features a 16-bit analog-to-digital converter (ADC) with 64 analog inputs, and a 16-bit digital-to-analog converter (DAC) with 24 voltage outputs. The signals received from ADC are recorded, processed, and stored in the computer at specified intervals. The system is automated via solenoid valves and controlled by the ERBs and the DAC.

Using the monitoring system described here, researchers will be able to measure the mass concentrations of PM2.5 components in near real-time and without sampling artifacts because of sample volatilization and particle-bound water. They will be able to develop databases for the concentrations of specific components of PM2.5 that may be causal factors for the PM-associated health effects of concern (e.g., H+, SO42-, NO3, and ultrafines), thereby providing opportunities for more definitive epidemiological studies. Such studies could provide the basis for future NAAQS for specific PM components and thereby more rationale design and implementation of source controls of PM and/or PM precursors.

Conclusions:

We have developed, built, and validated a continuous monitoring system for the mass concentrations of components of accumulation mode aerosol (PM10-PM2.5) of primary interests: sulfate, nitrate, ammonium, H+, and particle-bound water. The system is capable of sorting PM10 into three aerodynamic size-fractions: (1) coarse mode (PM10-PM2.5); (2) accumulation mode (PM2.5-PM0.15); and (3) ultrafine mode (PM0.15). The mass concentration of each mode can be measured using the method developed by Koutrakis, et al. (CPMM, a linear relation between accumulated mass and pressure drop on polycarbonate pore filters). For the accumulation mode aerosol (PM2.5-PM0.15), which contains nearly all of the semi-volatiles and particle-bound water by mass, the aerosol components are continuously monitored in respect to sulfate (by flame photometry), ammonium and nitrate (by TAMF-CLD, chemiluminescence after collection and thermal-desorption on TAMF), OC and EC (by thermal-optical), and particle-bound water (by electrolytic hygrometry). The concentration of H+ can then be determined (by ion balance using the data on NO3¯, NH4+, and SO42-).

References:

Alien GA, Sioutas C, Koutrakis P, Burton RM. Journal of the Air and Waste Management Association (submitted, 1996).

Alien GA, Turner WA, Wolfson JM, Spengler JD. Description of a continuous sulfuric acid/sulfate monitor. In: Proceedings of the U.S. Environmental Protection Agency National Symposium on Recent Advances in Pollutant Monitoring of Ambient Air and Stationary Sources, Raleigh, NC, 1984, EPA-600/9-84-019, pp. 140-151.

Braman RS, Shelley T, McClenny WA. Tungstic acid for preconcentration and determination of gaseous and particulate ammonia and nitric acid in ambient air. Analytical Chemistry 1982;54(5):358-364.

Bray WH. Water vapor control with aqueous solutions of sulfuric acid. Journal of Materials 1970;5:233-248.

Chen LC, Wu CY, Qu QS, Schlesinger RB. Number concentration and mass concentration as determinants of biological response to inhaled irritant particles. Inhalation Toxicology 1995;7:557-588.

Cobourn WG, Husar RB, Husar JD. Continuous in situ monitoring of ambient particulate sulfur using flame photometry and thermal analysis. Atmospheric Environment 1978;12:89-98.

Lide DR, Frederikse HPR. CRC Handbook of Chemistry and Physics. 75th Ed. Boca Raton, FL: CRC Press, Inc., 1995, pp. 1913-1995.

Hering SV, Appel BR, Cheng W, et al. Comparison of sampling methods for carbonaceous aerosol in ambient air. Aerosol Science and Technology 1990;12(1):200-213.

Hering SV, Lawson DR, Allegrini I, et al. The nitric acid shootout: field comparison of measurement methods. Atmospheric Environment 1988;22:1519-1539.

Heyder J, Brand P, Heinrich J, Peters A, Scheuch G, Tuch T, Wichmann E. Size distribution of ambient particles and its relevance to human health. Presented at the 2nd Colloquium on Particulate Air Pollution and Health, Park City, UT, May 1-3, 1996 (abstract).

Huntzicker JJ, Johnson RL, Shah JJ, Gary RA. Analysis of organic and elemental carbon in ambient aerosols by a thermal-optical method. In: Wolff GT, Klimisch RL, eds. Particulate Carbon: Atmospheric Life Cycle. New York, NY: Plenum Press, 1982, pp. 79-88.

Johnson RL, Shah JJ, Gary RA, Huntzicker JJ. An automated thermal optical method for the analysis of carbonaceous aerosol. In: Macias ES, Hopke PK, eds. Atmospheric Aerosol: Source/Air Quality Relationships. American Chemical Society Symposium Series No. 167 Washington, DC, 1981, pp. 223-233.

Koutrakis P, Wang PY, Sioutas C, Wolfson JM. Continuous monitor to measure particulate matter in gas. Harvard University U.S. Patent No. 5571945, 1995.

Koutrakis P, Wang PY, Wolfson JM. Private Communication, 1996.

Li W, Xiong JQ, Lippmann M. The development of a continuous particle mass monitor for ultrafine ambient particles (in preparation, 2003).

Lippmann M. Size-selective health hazard sampling. In: Hering SV, ed. Air Sampling Instruments. 8th Ed. Presented at the American Conference of Governmental Industrial Hygienists, Cincinnati, OH, 1995, pp. 81-119.

Lippmann M, Thurston GD. Sulfate concentrations as an indicator of ambient particulate matter air pollution for health risk evaluations. Journal of Exposure Analysis and Environmental Epidemiology 1996;(6):123-146.

Lippmann M, Yeates DB, Albert RE. Deposition, retention and clearance of inhaled particles. British Journal of Industrial Medicine 1980;37:337-362.

Marple VA, Rubow KL, Turner W, Spengler JD. Low flow rate sharp cut impactors for indoor air sampling: design and calibration. Japan Phosphatic and Compound Fertilizers 1987;37:1303-1307.

Martin KM. Cover letter to Dr. George Wolff for Office of Air Quality Planning and Standards, Draft Staff Paper for PM, November 1995.

McAndrew JJ. Moisture analysis in process gas streams. Solid State Technology 1992;35:55-60.

Oberdorster G, Gelein RM, Ferin J, Weiss B. Association of particulate air pollution and acute mortality. Inhalation Toxicology 1995;7:111-124.

Peters A, Wichmann E, Tuch T, et al. Respiratory effects are associated with the number of ultrafine particles. American Journal of Respiratory and Critical Care Medicine 1997;155(4):1376-1383.

Sioutos C, Koutrakis P, Olson BA. Development and evaluation of a low outpoint virtual impactor. Aerosol Science Technology 1994;21(3):223-235.

Smith TN, Phillips CR. Inertial collection of aerosol particles at circular aperture. Environmental Science and Technology 1975;9(6):564-568 .

Spumy KR, Lodge JP, Frank ER, Sheesley DC. Aerosol filtration by means of nuclepore filters: structural and filtration properties. Environmental Science and Technology 1969;3(5):453-464.

Turpin B, Gary R, Huntzicker J. An in situ time resolved analyzer for aerosol organic and element carbon. Aerosol Science Technology 1990;12(1):161-171.

Lippmann M. U.S. Environmental Protection Agency: Air Quality Criteria for Particulate Matter. EPA/600/P-95/OOIF, Washington, DC, 1996.

Lippmann M. U.S. Environmental Protection Agency: National Ambient Air Quality Standards for Particulate Matter. Federal Register 62:38762-38896, July 1997.

Lippmann M. U.S. Environmental Protection Agency. Quality Assurance Handbook for Air Pollution Measurement Systems: Volume 1. Principles EPA-600/9/76-005, Environmental Monitoring Systems Laboratory, Research Triangle Park, NC, 1976.

Lippmann M. Draft air quality criteria document for particulate matter. Presented to the U.S. Environmental Protection Agency, 1995.

Xiong JQ, Zhong M, Fang CP, Chen LC, Lippmann M. Hygroscopicity of fatty acid film coated ultrafine sulfuric acid aerosols. Environmental Science and Technology 1998;32(22):3536-3541.


Journal Articles on this Report : 1 Displayed | Download in RIS Format

Publications Views
Other project views: All 2 publications 1 publications in selected types All 1 journal articles
Publications
Type Citation Project Document Sources
Journal Article Lippmann M, Xiong JQ, Li W. Development of a continuous monitoring system for PM10 and components of PM2.5. Applied Occupational and Environmental Hygiene 2000;15(1):57-67. R825305 (1997)
R825305 (1998)
R825305 (Final)
  • Abstract from PubMed
  • Supplemental Keywords:

    monitoring, continuous monitoring, air, ambient, monitoring system, aerosol, semivolatile., RFA, Scientific Discipline, Ecosystem Protection/Environmental Exposure & Risk, Air, Geographic Area, Toxics, Engineering, State, Chemistry, particulate matter, Environmental Chemistry, Monitoring/Modeling, EPCRA, Physics, aerosols, particle size, atmospheric chemistry, environmental monitoring, fine particles, ammonium nitrate, ambient particle properties, monitoring, PM10, Ammonia, New York (NY), particulates, analytical chemistry, flame ionization, particulate, continuous measurement, PM2.5, semi-volatile particulate species

    Progress and Final Reports:

    Original Abstract
  • 1997 Progress Report
  • 1998 Progress Report
  • Top of Page

    The perspectives, information and conclusions conveyed in research project abstracts, progress reports, final reports, journal abstracts and journal publications convey the viewpoints of the principal investigator and may not represent the views and policies of ORD and EPA. Conclusions drawn by the principal investigators have not been reviewed by the Agency.

    Project Research Results

    • 1998 Progress Report
    • 1997 Progress Report
    • Original Abstract
    2 publications for this project
    1 journal articles for this project

    Site Navigation

    • Grantee Research Project Results Home
    • Grantee Research Project Results Basic Search
    • Grantee Research Project Results Advanced Search
    • Grantee Research Project Results Fielded Search
    • Publication search
    • EPA Regional Search

    Related Information

    • Search Help
    • About our data collection
    • Research Grants
    • P3: Student Design Competition
    • Research Fellowships
    • Small Business Innovation Research (SBIR)
    Contact Us to ask a question, provide feedback, or report a problem.
    Last updated April 28, 2023
    United States Environmental Protection Agency

    Discover.

    • Accessibility
    • Budget & Performance
    • Contracting
    • EPA www Web Snapshot
    • Grants
    • No FEAR Act Data
    • Plain Writing
    • Privacy
    • Privacy and Security Notice

    Connect.

    • Data.gov
    • Inspector General
    • Jobs
    • Newsroom
    • Open Government
    • Regulations.gov
    • Subscribe
    • USA.gov
    • White House

    Ask.

    • Contact EPA
    • EPA Disclaimers
    • Hotlines
    • FOIA Requests
    • Frequent Questions

    Follow.