Skip to main content
U.S. flag

An official website of the United States government

Here’s how you know

Dot gov

Official websites use .gov
A .gov website belongs to an official government organization in the United States.

HTTPS

Secure .gov websites use HTTPS
A lock (LockA locked padlock) or https:// means you have safely connected to the .gov website. Share sensitive information only on official, secure websites.

  • Environmental Topics
  • Laws & Regulations
  • Report a Violation
  • About EPA
Contact Us

Grantee Research Project Results

Final Report: Modeling Microbial PCB Degradation and Binding

EPA Grant Number: R826652
Title: Modeling Microbial PCB Degradation and Binding
Investigators: Balaz, Stefan
Institution: North Dakota State University Main Campus
EPA Project Officer: Aja, Hayley
Project Period: September 1, 1998 through August 31, 2001 (Extended to August 31, 2002)
Project Amount: $375,000
RFA: Exploratory Research - Environmental Chemistry (1998) RFA Text |  Recipients Lists
Research Category: Air , Safer Chemicals , Land and Waste Management , Sustainable and Healthy Communities

Objective:

The objective of this research project was to develop a complete kinetic description of the fate of individual polychlorinated biphenyls (PCBs) in microbial suspensions and soil systems as determined by structure and physicochemical properties of congeners, biomass, and soils, with structure-specific binding analyzed by a novel multimode receptor site modeling procedure.

Summary/Accomplishments (Outputs/Outcomes):

The PCB fates in biological and environmental systems are significantly affected by partitioning between aqueous and nonpolar phases of biological and environmental systems. The process can be meticulously studied in well-defined model systems, in the absence of any complicating interactions. The 1-octanol/water partition coefficients (Kow) exhibit saturation-type concentration dependences that were fitted by the equations describing dimerization of PCB molecules in both aqueous and 1-octanol phases. The observed Kow values vary within the interval given by Kow for monomers and dimers. The results allude to discrepancies in published Kow values of the PCB congeners, and they may have implications for estimation of their bioaccumulation potential.

Partitioning of individual congeners was studied for two technical PCB mixtures, Delor 103 and more chlorinated Delor 106, which are similar to Aroclors 1242 and 1260, respectively. The Kow values of 10 congeners that are present in both mixtures show slight, but systematic, differences when measured in Delors 103 and 106. The differences are becoming more pronounced with increasing Kow values. The less-chlorinated congeners have higher Kow values in the less-chlorinated mixture and vice versa. The Kow values of congeners measured in the mixtures are usually lower than the respective values measured for pure congeners. In a similar way, the deviations of experimental mixture Kow values from their estimates obtained by the ClogP method grow with increasing lipophilicity. Some of these phenomena can be explained by aggregation of PCB molecules in both aqueous and 1-octanol phases.

The interactions of selected PCB congeners with individual soil constituents were studied using solid-phase microextraction (SPME). PCBs bind within minutes to Aldrich humic acid (AHA) in aqueous solutions. The equilibria are described by saturation-type binding isotherms. Sorption isotherms of biphenyl were measured in aqueous suspensions of kaolinite, illite, and bentonite after 6 and 21 days. A weak nonlinear binding to kaolinite, a representative nonswelling clay mineral mostly lacking internal surfaces, was only observed for the shorter period. With the swelling clay minerals, the sorption isotherms were linear except the sigmoidal portions for low concentrations that may indicate cooperative sorption. The linear sorption coefficient values were consistent with published data (5 to 50 mL/g). The sorption affinities of both illite and bentonite were comparable after 6 days of incubation, but the former was much higher after 21 days. The linear sorption coefficients are not related to the specific surface areas of the minerals, but rather to the organic carbon content. Binding to clay minerals is by 2-3 orders of magnitude weaker than to AHA.

Can soil microorganisms metabolize PCBs directly from solid phases by cells growing on PCB-covered surfaces, in addition to utilization of PCB molecules dissolved in the aqueous phase? Experiments with biphenyl utilization by Pseudomonas stutzeri in aqueous media demonstrated this possibility for pure biphenyl crystals and for biphenyl-covered Chromosorb G particles imitating soil organic matter. Surface morphology and adsorption strength probably play important roles in the ability of bacterial cells to colonize the surface because no bacterial growth was observed when biphenyl was adsorbed to XAD-4 resin imitating soil mineral components.

The fates of PCB congeners present in Delor 103 in the suspension of the PCB-degrading bacterial strain P. stutzeri were studied in detail. First, the kinetics of evaporation and sorption in bacterial biomass were analyzed with biodegradation suppressed by 3-chlorobenzoic acid. The evaporation rate constants ke and the sorption partition coefficients Kp to biomass of individual congeners were determined in the experiments. The values of log ke and log Kp depend on PCB hydrophobicity (log Kow). The dependencies are linear, decreasing for ke and increasing for Kp.

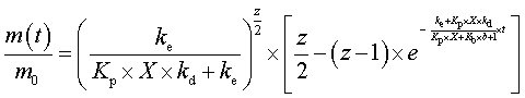
During biodegradation experiments with and without AHA, the evaporated PCB amounts and the total amounts in bacterial suspension were monitored. Both the time courses were fitted simultaneously by the equation:

 

equation

where m is the amount of the respective PCB congener either in the suspension (z = 0) or evaporated (z = 2). The time hierarchy-based equation characterizes, in a robust way, the interplay between processes determining the fates of PCB congeners: evaporation (ke), partitioning into biomass (Kp, the biomass concentration X), binding to AHA (the sorption coefficient Kb, the concentration of AHA b), and degradation (the degradation rate constant kd).

The previously determined values of ke and Kp were used in the fits, which provided the values of kd and Kb for individual PCB congeners in the Delor 103. The Kb values increase in a linear way, on a bilogarithmic scale, with the Kow values. The structure-nonspecific congener parameters (ke, Kp, Kb) can be estimated using the Kow values, which, in turn, can be calculated from structure.

The structure-specific kd values were correlated with the structure of individual PCB congeners using Comparative Molecular Field Analysis (CoMFA), by the standard one-mode approach as well as by our recently developed multimode approach. The latter approach achieves significantly better correlation and prediction because it considers up to 16 binding modes, which PCB congeners can assume because of the symmetry of the skeleton and rotation around the bond connecting the phenyl rings. Among 39 congeners, 24 were showing prevalent contribution to binding by a single mode; in only 8 cases, did the mode correspond to the skeleton-based alignment scheme that is most frequently used for the one-mode approach. This fact explains low predictive ability of the one-mode CoMFA models, and underlines the necessity of using the multimode procedure in the structure degradability of chemicals with symmetric skeletons.

CoMFA sculpts the binding site models out of a block of grid points encompassing the aligned ligands. The models are characterized by optimized coefficients assigned to the probe/ligand interaction energies (electrostatic, steric, and others) in individual grid points. The multimode CoMFA provided a putative map of the binding site that can be used for prediction of kd for nontested congeners (see Figure 1).

 

Figure 1

Figure 1. Outline of the Binding Site Model Created by the Multimode CoMFA. The grid consists of 9(x)´7(y)´7(z) points with 2-Å distances. Only five middle xy-layers are shown. Two borderline xy-layers (z = -6 Å and 6 Å) are omitted because they were exclusively composed of the Bulk* points. Color coding: Core*–black, steric attractive interaction–green, steric repulsive–yellow, electrostatic attractive–blue, electrostatic repulsive–red, water-filled regions*–cyan, Bulk–white with black border. The asterisks indicate terms, which are defined in the paragraph below.

Several regions of the lattice representing the binding site map can be distinguished: (1) the Core where all the aligned ligand molecules overlap; (2) the Interface, which contains the quantitative description of binding; and (3) the Bulk, which is not important for binding. The Core and Bulk are undefined because the energies in their grid points cannot be analyzed because of low variance (the energies are equal to the maximum and approaching zero, respectively). The Interface contains the grid points with optimized regression coefficients, which represent the shape and properties of the binding site. Some of the Interface grid points are associated with regression coefficients that have optimized values close to zero. These grid points indicate open, water-filled regions.

Coupled with the calibrated kinetic model, the multimode CoMFA results represent a complete description of the PCB degradation in the suspension of P. stutzeri under the given conditions. The model can be used to simulate the influence of various concentrations of AHA-imitating dissolved organic matter and of the biomass concentration. The general form of the kinetic model is transferable to similar situations.


Journal Articles on this Report : 11 Displayed | Download in RIS Format

Publications Views
Other project views: All 39 publications 18 publications in selected types All 12 journal articles
Publications
Type Citation Project Document Sources
Journal Article Balaz S, Lukacova V. A model-based dependence of the human tissue/blood partition coefficients of chemicals on lipophilicity and tissue composition. Quantitative Structure-Activity Relationships 1999;18(4):361-368. R826652 (1999)
R826652 (Final)
  • Abstract: Wiley - Abstract HTML
    Exit
  • Other: Research Gate - Abstract HTML
    Exit
  • Journal Article Balaz S. Lipophilicity in trans-bilayer transport and subcellular pharmacokinetics. Perspectives in Drug Discovery and Design 2000;19(1):157-177. R826652 (1999)
    R826652 (Final)
  • Abstract: Springer - Abstract HTML
    Exit
  • Journal Article Balaz S, Lukacova V. Subcellular pharmacokinetics and its potential for library focusing. Journal of Molecular Graphics & Modelling 2002;20(6):479-490. R826652 (2001)
    R826652 (Final)
  • Abstract from PubMed
  • Abstract: ScienceDirect-Abstract
    Exit
  • Journal Article Balaz S. Subcellular pharmacokinetics: one-compartment model. American Journal of Pharmaceutical Education 2002;66(1):66-71. R826652 (Final)
  • Full-text: AJPE-PDF
    Exit
  • Abstract: AJPE-Abstract
    Exit
  • Journal Article Dercova K, Vrana B, Balaz S. Evaporation and elimination of PCBs during degradation by Pseudomonas stutzeri. Toxicological and Environmental Chemistry 1998;66(1-4):11-16. R826652 (Final)
  • Abstract: Taylor&Francis-Abstract
    Exit
  • Journal Article Dercova K, Vrana B, Balaz S. A Kinetic distribution model of evaporation, biosorption and biodegradation of polychlorinated biphenyls (PCBs) in the suspension of Pseudomonas stutzeri. Chemosphere 1999;38(6):1391-1400. R826652 (1999)
    R826652 (Final)
  • Abstract from PubMed
  • Full-text: ScienceDIrect-Full Text-PDF
    Exit
  • Abstract: ScienceDirect-Abstract
    Exit
  • Journal Article Hornak V, Balaz S, Majekova M. Binding modes of PCBs to a degrading enzyme: a receptor-mapping study. General Physiology and Biophysics 1998;17(2):105-116. R826652 (Final)
  • Abstract from PubMed
  • Full-text: Slovak Academy of Sciences-Full Text -PDF
    Exit
  • Abstract: ResearchGate-Abstract
    Exit
  • Journal Article Hornak V, Balaz S, Schaper K-J, Seydel JK. Multiple binding modes in 3D-QSAR: microbial degradation of polychlorinated biphenyls. Quantitative Structure-Activity Relationships 1998;17(5):427-436. R826652 (Final)
  • Abstract: Wiley-Abstract
    Exit
  • Journal Article Lukacova V, Balaz S. Multimode ligand binding in receptor site modeling: implementation in CoMFA. Journal of Chemical Information and Computer Science 2003;43(6):2093-2105. R826652 (Final)
  • Abstract from PubMed
  • Abstract: ACS-Abstract
    Exit
  • Journal Article Vrana B, Tandlich R, Balaz S, Dercova K. Biosorption of hydrophobic organic pollutants. Chemicke Listy 1998;92(3):186-196. R826652 (Final)
  • Full-text: Chemicke Listy-PDF
    Exit
  • Abstract: Chemicke Listy-Abstract
    Exit
  • Journal Article Vrana B, Tandlich R, Balaz S, Dercova K. Aerobic biodegradation of polychlorinated biphenyls by bacteria. Biologia 1998;53(3):251-266. R826652 (Final)
  • Full-text: FAO-Abstract
    Exit
  • Abstract: ResearchGate-Abstract
    Exit
  • Supplemental Keywords:

    quantitative structure-activity relationships, QSAR, quantitative structure-time-activity relationships, QSTAR, biosorption, hydrophobicity, lipophilicity, aquatic, aquatic ecosystem, binding, bioaccumulation, biokinetic model, bioremediation model, bioremediation of soils, biostabilization of PCBs, chemical kinetics, chemical transport, contaminants in soil, decontamination of soil and water, dioxin, ecological effects, ecological exposure, enzymes, fate and transport, fate of PCB congeners, furans, human exposure, hydrophobic chemicals, microbial degradation, modeling, physicochemical, polychlorinated biphenyl, PCB, risk assessment., RFA, Air, Scientific Discipline, Ecosystem Protection/Environmental Exposure & Risk, Waste, Toxics, National Recommended Water Quality, Remediation, Ecological Indicators, Ecological Risk Assessment, Ecosystem Protection, Environmental Chemistry, Ecosystem/Assessment/Indicators, Engineering, Chemistry, & Physics, Ecological Effects - Environmental Exposure & Risk, Bioavailability, Bioremediation, Physics, quantitative structure activity relationship, ecological effects, fate of PCB congeners, binding, microbial degradation, dioxin, bioremediation model, bioremediation of soils, human exposure, hydrophobic chemicals, soil, aquatic ecosystem, risk assessment, aquatic, biostabilization of PCBs, PCB, polychlorinated biphenyls, fate and transport, furans, decontamination of soil and water, enzymes, ecological exposure, chemical kinetics, bioacummulation, chemical transport, PCBs, physicochemical, biokinetic model, modeling

    Progress and Final Reports:

    Original Abstract
  • 1999 Progress Report
  • 2000 Progress Report
  • 2001 Progress Report
  • Top of Page

    The perspectives, information and conclusions conveyed in research project abstracts, progress reports, final reports, journal abstracts and journal publications convey the viewpoints of the principal investigator and may not represent the views and policies of ORD and EPA. Conclusions drawn by the principal investigators have not been reviewed by the Agency.

    Project Research Results

    • 2001 Progress Report
    • 2000 Progress Report
    • 1999 Progress Report
    • Original Abstract
    39 publications for this project
    12 journal articles for this project

    Site Navigation

    • Grantee Research Project Results Home
    • Grantee Research Project Results Basic Search
    • Grantee Research Project Results Advanced Search
    • Grantee Research Project Results Fielded Search
    • Publication search
    • EPA Regional Search

    Related Information

    • Search Help
    • About our data collection
    • Research Grants
    • P3: Student Design Competition
    • Research Fellowships
    • Small Business Innovation Research (SBIR)
    Contact Us to ask a question, provide feedback, or report a problem.
    Last updated April 28, 2023
    United States Environmental Protection Agency

    Discover.

    • Accessibility
    • Budget & Performance
    • Contracting
    • EPA www Web Snapshot
    • Grants
    • No FEAR Act Data
    • Plain Writing
    • Privacy
    • Privacy and Security Notice

    Connect.

    • Data.gov
    • Inspector General
    • Jobs
    • Newsroom
    • Open Government
    • Regulations.gov
    • Subscribe
    • USA.gov
    • White House

    Ask.

    • Contact EPA
    • EPA Disclaimers
    • Hotlines
    • FOIA Requests
    • Frequent Questions

    Follow.