Skip to main content
U.S. flag

An official website of the United States government

Here’s how you know

Dot gov

Official websites use .gov
A .gov website belongs to an official government organization in the United States.

HTTPS

Secure .gov websites use HTTPS
A lock (LockA locked padlock) or https:// means you have safely connected to the .gov website. Share sensitive information only on official, secure websites.

  • Environmental Topics
  • Laws & Regulations
  • Report a Violation
  • About EPA
Contact Us

Grantee Research Project Results

2003 Progress Report: Mechanistic Role of Plant Root Exudates in the Phytoremediation of Persistent Organic Pollutants

EPA Grant Number: R829405
Title: Mechanistic Role of Plant Root Exudates in the Phytoremediation of Persistent Organic Pollutants
Investigators: White, Jason C. , Smets, Barth F. , Mattina, MaryJane Incorvia , Gage, Daniel J. , Gent, Martin P.N.
Institution: Connecticut Agricultural Experiment Station , University of Connecticut
EPA Project Officer: Aja, Hayley
Project Period: November 1, 2001 through October 31, 2004 (Extended to December 14, 2005)
Project Period Covered by this Report: November 1, 2002 through October 31, 2003
Project Amount: $401,241
RFA: Phytoremediation (2001) RFA Text |  Recipients Lists
Research Category: Hazardous Waste/Remediation , Land and Waste Management

Objective:

The overall goal of this research project is to investigate the role of root exudates in the plant uptake of persistent organic pollutants (POPs) from soil. Preliminary data have shown that two weathered organic pollutants (dichlorodiphenylethylene [p,p'-DDE] and chlordane) are readily translocated from soil to the roots of a very narrow range of plant species. These findings contradict a significant body of scientific evidence indicating time-dependent reductions in contaminant availability in soil (i.e., sequestration). The specific objective of this research project is to determine the mechanism by which the uptake occurs.
The following hypotheses are being tested:

1. The root exudates of certain plant species facilitate the mobility and subsequent availability of weathered organic pollutants. Plant root exudates will be isolated and characterized from plants shown to have differential pollutant uptake/remediation abilities in the field. A series of abiotic assays comparing contaminant release in the presence and absence of these exudates will test the central hypothesis. Biosensors will be constructed for visual detection of the spatial and temporal release of critical exudate constituents from roots.

2. Contaminant solubilization by exudates occurs by direct or indirect mechanisms. In direct enhancement, the exudate molecules directly induce contaminant release from the soil. Possible mechanisms here include the formation of exudate/contaminant complexes or the partial solubilization/reformation of soil structure organic fractions through the chelation of polyvalent metals (iron and aluminum).

3. Root exudates stimulate a microbial community that promotes contaminant availability to the plant, or indirect enhancement. The microbial communities of plants with differential uptake/remediation potentials will be characterized by 16s rRNA-targeted terminal-restriction fragment length polymorphism (T-RFLP) profiling, and critical microbial exudates will be investigated for their role in promoting pollutant availability.

Progress Summary:

Connecticut Agricultural Experiment Station–Project Investigators White, Gent, and Mattina

Field, greenhouse, and hydroponic studies were completed this year.

Field and Greenhouse Studies. A field experiment was designed to address the uptake and translocation of highly weathered DDE by two separate subspecies within Cucurbita pepo; subspecies pepo (which includes "true" zucchini and pumpkin) and subspecies texana (which includes other summer and winter squash). Twenty-one cultivars of C. pepo were grown for 3 months; 10 cultivars of ssp pepo and 11 cultivars of ssp texana. At harvest, the biomass of individual tissue compartments was determined. All tissues were extracted and analyzed for DDE content and quantities of 11 inorganic elements.

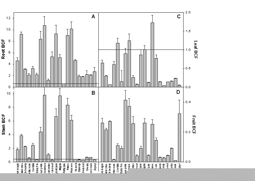
Suprisingly, DDE content varied significantly within the tissues of C. pepo cultivars (see Figure 1). Root-to-soil bioconcentration factors ([BCF], dry weight contaminant concentration ratio of tissue to soil) ranged from 0.57 to 11 and stem to soil BCFs ranged from 0.04 to 9.8. However, much of the variability was explained by the subspecies-level dichotomy. For example, the average root and stem BCFs for DDE by ssp pepo were 7.4 and 5.4; the values for texana were 2.4 and 0.54, respectively (significantly different at p<0.01), respectively. The two subspecies also differed in total amount of DDE phytoextracted; pepo cultivars removed nearly five times more contaminant than texana cultivars. Lastly and perhaps most importantly, the two susbspecies also differed in their ability to remove phosphorus (P) from the soil. As predicted by our hypothesized relationship between P acquisition and POP phytoextraction, ssp pepo was significantly more efficient at removing P from the soil (see Figure 2). Interestingly, pepo cultivars removed several inorganic elements from the soil to a greater extent than ssp texana, including Cd and Zn. In fact, one pepo cultivar had a leaf BCF for cadmium (Cd) of 38 (although this soil had only background levels of the element); a value on the order of many known Cd hyperaccumulators.

A second set of experiments investigated the uptake and translocation of DDE by zucchini (C. pepo ssp pepo) and cucumber (Cucumis sativus) under three different cultivation conditions; field (two-three plants in an estimated 789 kg soil), nondense (one plant in 80 kg soil), and dense (five plants in 5 kg soil) conditions. The quantity of low molecular weight organic acids (LMWOA) and water-extractable inorganic elements in the rhizosphere, near root, and bulk soil also was determined. We predicted that maximizing the root-to-soil contact and potentially challenging these plants for nutrients under dense cultivation would significantly increase LMWOA exudation and DDE phytoextraction.

Under field conditions, the two species behaved as observed in previous studies; the zucchini phytoextracted 1.3 percent of the contaminant with 98 percent in the aerial tissues. Conversely, cucumber removed 0.09 percent of the contaminant with 83 percent in the shoot system. Under dense cultivation, cucumber phytoextraction increased to 0.78 percent, but most of the contaminant (94 percent) was retained in the root tissue. Under dense cultivation, removal of DDE by zucchini actually decreased to 0.59 percent, although nearly one-half of the pollutant was translocated to the aboveground tissues. For both plants, the concentrations of LMWOA in soil increased with increasing proximity to the root system (rhizosphere>near root>bulk) and across cultivation regimes (dense>nondense>field conditions). Interestingly, under dense cultivation, the rhizosphere concentrations of LMWOA were significantly greater for cucumber than for zucchini. Clearly, zucchini exhibits its best phytoextraction potential under field conditions, where root-to-soil contact is far from maximized. The role of cultivation conditions and nutrient availability in controlling root morphology, organic acid exudation, and contaminant uptake is currently being assessed.

Figure 1. Vegetation-to-Soil Bioconcentration Factors for 10 Cultivars of C. pepo ssp pepo and C. pepo ssp texana

Figure 2. DDE and P BCFs for the Stems and Roots of Two Subspecies of C. pepo

Hydroponic Studies. Hydroponic trials were undertaken to investigate LMWOA exudation in ssp pepo and other plant species, and to assess how that exudation is impacted by nutrient status. In a continuous flow experiment comparing texana and pepo cultivars, adequate P nutrition resulted in the exudation of more succinic, lactic, and formic acids. Upon P starvation, citric acid exudation increased for both ssp, but increased to a significantly greater extent for the pepo cultivars. In a batch style hydroponic experiment, P starvation caused cucumber and zucchini to increase their citric acid release by 2 and 59 times, respectively. When the exudates of P-starved C. pepo cultivars were used as the aqueous phase in abiotic batch-style desorption assays, they increased the release or desorption of weathered DDE from soil significantly more than by distilled water alone.

University of Connecticut–Project Investigator Smets

Rhizobacteria were isolated from the root systems of lettuce, wheat, zucchini, and pumpkin growing in a soil contaminated with polycylic aromatic hydrocarbons (PAHs). The soil is from a manufactured gas plant and contains approximately 750 mg/kg total PAH. The plants were grown in 0 percent, 0.3 percent, 3.0 percent, and 30 percent dilutions of that soil. More than 300 anthracene or chrysene-degrading organisms were isolated from the plant rhizospheres and bulk soil. The isolates were characterized by box-polymerase chain reaction (PCR) techniques, and an example dendrogram is shown in Figure 3. The closeness of individual clusters represents the degree of relatedness among organisms. For both the anthracene and chrysene-degrading isolates, the organisms found in the rhizosphere differ from those present in the bulk soil and, in the case of the anthracene isolates, the organisms from C. pepo rhizosphere differ from that of wheat. These findings suggest that vegetation will select for a specific population of microbes and that the selection process may be plant specific.

Figure 3. Dendrogram From Box-PCR Data for Isolated Anthracene-Degrading Organisms From the Rhizopshere of Zucchini, Pumpkin, Lettuce, Wheat, and Bulk Soil

A second fundamental question focuses on the degradative range of these individual isolates. Presumably, condensed PAHs are not their preferred carbon and energy source. It has been hypothesized that aromatic root exudates may actually prime these organisms for degrading the PAHs, and may potentially be involved in the selection process described in the preceeding paragraph. A colorimetic well type system was used to investigate the ability of the anthracene and chrysene-degrading isolates to degrade a number of other PAHs, aromatic root exudates, phytohormones, and pathway intermediates. The results are shown in Figure 4 and indicate that the degradative range of these organisms is indeed quite broad.

Figure 4. Degradative Range of Chrysene- and Anthracene-Degrading Organisms Isolated From the Rhizosphere of Various Plant Species

Future Activities:

Connecticut Agricultural Experimental Station. A significant portion of the last year of study will be rhizotron-based work. This experimental system will permit in situ analysis of exudates as they are being released by uptaker and nonuptaker plants growing in contaminated soil. The rhizotron also will facilitate collection and analysis of rhizosphere soil pore water from uptaker and nonuptaker plant species, which then can be analyzed for pH, LMWOA, inorganic elements, and aqueous POPs. We also will investigate the ability of C. pepo to remediate soils contaminated with PAHs.

University of Connecticut. T-RFLP analysis of rhizosphere micro-organisms isolated from roots of lettuce, wheat, zucchini, and pumpkin growing in different levels of PAH-contaminated soil will be completed. The degradative range assays will be performed on PAH-degraders isolated from the nonvegetated bulk soil and compared to those organisms isolated from plant rhizospheres. Organisms will be isolated from plant rhizospheres with aromatic exudates as the sole carbon and energy source, and those isolates will be investigated for their ability to degrade various PAHs. The ring-hydroxolyating dioxygenases (enzymes responsible for PAH degradation) of the different isolates will be characterized, and differences between rhizosphere and nonvegetated systems, as well as host-plant specificity, will be assessed.

University of Connecticut. Experiments will continue to investigate the spatial and temporal release of LMWOA of uptaker and nonuptaker plant species under different nutrient conditions and during different growth stages.


Journal Articles on this Report : 3 Displayed | Download in RIS Format

Publications Views
Other project views: All 39 publications 15 publications in selected types All 15 journal articles
Publications
Type Citation Project Document Sources
Journal Article Lee W-Y, Iannucci-Berger W, Eitzer BD, White JC, Mattina MJI. Quantitation of the soil-to-plant transfer of weathered chlordane: consequences for POPs cycling and phytoremediation. Environmental Toxicology and Chemistry. R829405 (2003)
not available
Journal Article Mattina MI, Iannucci-Berger W, Musante C, Mattina MI. Concurrent plant uptake of heavy metals and persistent organic pollutants from soil. Environmental Pollution 2003;124(3):375-378 R829405 (2003)
R829405 (Final)
not available
Journal Article White JC, Wang XP, Gent MPN, Iannucci-Berger W, Eitzer BD, Schultes NP, Arienzo M, Mattina MI. Subspecies-level variation in the phytoextraction of weathered p,p’-DDE by Cucurbita pepo. Environmental Science & Technology 2003;37(19):4368-4373. R829405 (2003)
R829405 (Final)
not available

Supplemental Keywords:

phytoremediation, plant-based remediation, bioremediation, cleanup, risk assessment, bioavailability, environmental microbiology, remediation, chlordane, bioaccumulation, biological treatment, contaminant removal, in situ bioremediation, in situ remediation, organic contaminants, organic pollutants, sequestration, soil contaminants, soil microbes, soil pollution, restoration, bioremediation of soils, contaminant transport, contaminants in soil, contaminated sediment, contaminated soil, soil reclamation, soils., RFA, Scientific Discipline, Ecosystem Protection/Environmental Exposure & Risk, Waste, Remediation, Chemistry, Environmental Chemistry, Contaminated Sediments, Environmental Microbiology, Bioavailability, Bioremediation, Ecology and Ecosystems, toxicity, bioremediation of soils, soil microbes, contaminated sediment, rhizospheric, biological treatment, phytoremediation, plant-based remediation, risk assessment, in situ bioremediation, organic contaminants, soil reclamation, contaminated soil, soils, persistent organic pollutants, plant uptake studies, bioaccumulation, in situ remediation, bioacummulation, organic pollutants, contaminants in soil

Progress and Final Reports:

Original Abstract
  • 2002 Progress Report
  • 2004
  • 2005
  • Final Report
  • Top of Page

    The perspectives, information and conclusions conveyed in research project abstracts, progress reports, final reports, journal abstracts and journal publications convey the viewpoints of the principal investigator and may not represent the views and policies of ORD and EPA. Conclusions drawn by the principal investigators have not been reviewed by the Agency.

    Project Research Results

    • Final Report
    • 2005
    • 2004
    • 2002 Progress Report
    • Original Abstract
    39 publications for this project
    15 journal articles for this project

    Site Navigation

    • Grantee Research Project Results Home
    • Grantee Research Project Results Basic Search
    • Grantee Research Project Results Advanced Search
    • Grantee Research Project Results Fielded Search
    • Publication search
    • EPA Regional Search

    Related Information

    • Search Help
    • About our data collection
    • Research Grants
    • P3: Student Design Competition
    • Research Fellowships
    • Small Business Innovation Research (SBIR)
    Contact Us to ask a question, provide feedback, or report a problem.
    Last updated April 28, 2023
    United States Environmental Protection Agency

    Discover.

    • Accessibility
    • Budget & Performance
    • Contracting
    • EPA www Web Snapshot
    • Grants
    • No FEAR Act Data
    • Plain Writing
    • Privacy
    • Privacy and Security Notice

    Connect.

    • Data.gov
    • Inspector General
    • Jobs
    • Newsroom
    • Open Government
    • Regulations.gov
    • Subscribe
    • USA.gov
    • White House

    Ask.

    • Contact EPA
    • EPA Disclaimers
    • Hotlines
    • FOIA Requests
    • Frequent Questions

    Follow.