Skip to main content
U.S. flag

An official website of the United States government

Here’s how you know

Dot gov

Official websites use .gov
A .gov website belongs to an official government organization in the United States.

HTTPS

Secure .gov websites use HTTPS
A lock (LockA locked padlock) or https:// means you have safely connected to the .gov website. Share sensitive information only on official, secure websites.

  • Environmental Topics
  • Laws & Regulations
  • Report a Violation
  • About EPA
Contact Us

Grantee Research Project Results

Final Report: The Influence of Nanoporosity in Soils from Contaminated Sites on Hydrocarbon Desorption Kinetics and Bioavailability

EPA Grant Number: R825959
Title: The Influence of Nanoporosity in Soils from Contaminated Sites on Hydrocarbon Desorption Kinetics and Bioavailability
Investigators: Pignatello, Joseph J. , Neimark, Alexander V.
Institution: Connecticut Agricultural Experiment Station , Tri / Princeton
EPA Project Officer: Aja, Hayley
Project Period: January 1, 1998 through December 31, 2000
Project Amount: $436,399
RFA: EPA/DOE/NSF/ONR - Joint Program On Bioremediation (1997) RFA Text |  Recipients Lists
Research Category: Hazardous Waste/Remediation , Land and Waste Management

Objective:

The objective of this research project was to improve our understanding of the link between desorption and bioavailability. Bioremediation and toxicity of soils and sediments contaminated with organic pollutants is often controlled by desorption. The hypothesis of this project was that bioavailability is linked to sorption/desorption rates, and that the origin of desorption resistance is the nanoporosity of soils, especially in the natural organic matter (NOM) fractions. The specific objectives of this research project were to develop methodology to characterize the nanoporosity of a number of soils and aquifer sediments of current interest based on carbon dioxide adsorption, and then to determine the relationship, if any, between nanoporosity and certain physical-chemical and biological availability parameters for benzene and polycyclic aromatic hydrocarbon (PAH) contaminants. The latter objective includes determining the influence of soil alteration and sorption competitive effects on bioavailability.

Summary/Accomplishments (Outputs/Outcomes):

The sorbents included soil samples collected from contaminated sites of concern to the agencies sponsoring this program and from other contaminated and uncontaminated sites. The source and properties of these A soils are listed in Table 1. Not all soils were used in all experiments. In addition, in select experiments, we studied sorption to a charcoal prepared by pyrolysis of maple wood shavings at 673 K under oxygen-deficient conditions (Braida, et al., in review).

 

Table 1. Source and Organic Carbon Content of Soils

Soil Organic Carbon Content (%) Source
Pahokee 43.9 International Humic Substances Society, FL.
Wurtsmith AFB* 2ATop 0.23 National Center of Integrated Bioremediation Research and Development, University of Michigan, Ann Arbor, MI(Professor Michael Barcelona)
Wurtsmith AFB 2ABottom 0.14
Wurtsmith AFB 1ABottom 0.18
Wurtsmith AFB 1ATop 0.07
Mare Island 1.71 National Test Site Program, Port Hueneme, CA(Ernest Lory)
Port Hueneme 0.62
Seal Beach 1.48
Modified Seal Beach 0.74 After pentane extraction of Seal Beach soil.
Mount Pleasant silt loam 4.45 Cornell University, Ithaca, NY (Professor M. Alexander)
NY Lima loam 1.25
McClellan AFB S-1 0.23 National Test Site at McClellan AFB, CA(Phil Mook)
McClellan AFB S-2 0.20
Cheshire fine sandy loam 1.4 Connecticut Agricultural Experiment Station Lockwood Farm, Hamden, CT
DGSL 1.4 Dover AFB, DE, Johns Hopkins University, MD(Professor William Ball)


*AFB = Air Force Base

Methodologies

Biodegradation and Bio-Uptake. Biodegradation of test compounds employed two strains of phenanthrene degrading bacteria, Pseudomonas strain R and Isolate P5-2. Biodegradation was measured either by monitoring the extent of compound removal from the aqueous phase, or by measuring 14CO2 evolution from radiolabeled substrates in NaOH traps. Bio-uptake by earthworms (Eisensia foetia) was measured in sacrificed animals by extracting frozen, pulverized tissue with hexanes.

Sorption Isotherms. Sorption was determined in sterile suspensions of the solid in water using traditional shake-batch methodology. After equilibration, vessels were centrifuged, an aliquot of the supernatant solvent was extracted, and the extract was analyzed, usually by gas chromatography (GC). The sorbed concentration was determined by mass difference between the amount added and the amount in solution.

Sorption Kinetics. Rate studies were perfomed in batch experiments under sterile conditions. Sorption was followed by monitoring the supernatant-phase concentration. Desorption was followed either by diluting the suspension and then monitoring the supernatant-phase concentration, or by adding Tenax polymeric beads and monitoring the concentration of analyte absorbed by the beads. Tenax was always present in large excess over the NOM present, and was renewed in the flask at each sampling time. This ensured that Tenax was maintained as an infinite sink for the analyte. Control experiments showed Tenax rapidly and quantitatively absorbed analyte from water.

Quantification of Extremely Slow-Desorbing ("Resistant") Fractions. Most soils formed a fraction that is highly resistant to desorption in water, even after several months at the steepest possible concentration gradient in the presence of Tenax. For example, in a study of six of the soils desorbed for 500-600 days in the presence of Tenax renewed multiple times, the highly resistant fraction ranged from 4 to 31 percent of initial sorbed concentration (Braida, et al., in press). The highly resistant fraction was determined by extracting the soil with hot solvent (usually, acetonitrile at 70°C) and quantifying the analyte by GC.

Protocols for Evaluating Nanoporosity From Carbon Dioxide Adsorption Isotherms. For assessing narrow micropores of molecular scales, 0.2 to 2 nm, CO2 is a better molecular probe, as it usually encounters fewer diffusion limitations compared to N2 or Ar at cryogenic temperatures (Gregg and Sing, Adsorption, Surface Area and Porosity, 2nd Edition; Academic Press, London, 1982). An electric thermostat has been fabricated, which allows a steady state of 0°C in the adsorption cell with the precision of 0.1°C for long analysis/equilibration times. The thermostat is capable of maintaining desired temperature in the adsorption cell in the range -20° to +40°C.

Adsorption of CO2, N2, and Ar in nanopores was studied by means of statistical thermodynamic methods grand canonical Monte Carlo (MC) simulations for N2, CO2 and nonlocal density functional theory (NLDFT) for N2, Ar, and CO2. In these methods the adsorption isotherms are predicted based on the intermolecular interactions. The MC method yields essentially exact results for a given model of intermolecular interactions. NLDFT is a computationally efficient alternative to molecular simulations for pores of simple geometry and nonspecific interactions (Ravikovitch, et al., 2001). N2 and Ar were modeled as Lennard-Jones (LJ) fluids using NLDFT and MC. Three molecular models of CO2 were used (Vishnyakov, et al., 1999). Long-run MC simulations were performed with the three-center model of Harris and Yung (Journal of Physical Chemistry 1995;99(31):12021-12024). For NLDFT calculations, an effective LJ model of CO2 was developed. MC simulations of the effective LJ model of CO2 were performed for comparison. For each model used, parameters of intermolecular potentials were determined and validated against two-phase bulk equilibrium data and experimental adsorption isotherms on graphite at 273 and 195 K. In the range of pore widths from 3 to 15 Å, the NLDFT isotherms of CO2 adsorption are overall in satisfactory agreement with the MC isotherms generated, using the more elaborated three-center model. The models developed are recommended for studying CO2 adsorption in microporous adsorbents and also for calculating pore size distributions in carbonaceous materials and soil particles. The NLDFT model has the advantage of being much less computationally demanding, whereas the three-center MC model serves as a benchmark for quantitative estimates and can be used for studying CO2 sorption at ambient conditions close to the critical temperature.

New unified methods were developed for calculating pore size distributions from the comparison of the experimental gas adsorption isotherms and the theoretical isotherms in model pores predicted by means of NLDFT and MC simulations (Ravikovitch, et al., 2000). The experimental isotherm was described as a collection of individual isotherms in pores of different sizes. Local isotherms of N2, Ar, and CO2 in slit-shaped pores were calculated from the NLDFT and MC using validated parameters of intermolecular interactions. Pore size distributions (PSD) were calculated by solving the generalized adsorption isotherm equation using regularization methods.

The methods were validated using carbonaceous adsorbents activated carbon fibers and carbon molecular sieves (Ravikovitch, et al., 2000). It was shown that for activated carbon fibers, having most pores between approximately 4 Å and 10 Å, the method gives consonant pore volume distributions for N2, Ar, and CO2. The results obtained by means of NLDFT and MC-based models were consistent (Ravikovitch, et al., 2001). It was demonstrated that carbon dioxide at 273 K is sensitive to pores less than 10 Å; thus it is a suitable molecular probe to study such narrow pores. For larger pores, the NLDFT method has been extended to high-pressure CO2 adsorption. The methods developed are suggested as a practical alternative to traditional phenomenological approaches such as the Dubinin-Radushkevich and Horvath-Kawazoe methods.

Correlations Between Physical and Biological Availabilities of Hydrocarbons

Parallel desorption and bioavailability experiments were conducted on phenanthrene previously aged up to about 100 days in Mount Pleasant silt loam or Pahokee peat soil to determine, as a function of the aging period, whether there was a correlation between rate or extent of biodegradation, and the corresponding rate or extent of desorption (White, et al., 1999b). Mineralization of phenanthrene by two bacteria and the uptake of phenanthrene by earthworms showed expected declines with aging. Likewise, the rate of phenanthrene desorption in the absence of organisms decreased with aging. The decline in the initial rate of mineralization or desorption was nearly an order of magnitude after 50-60 days of aging. Plots of normalized fraction mineralized or fraction desorbed during an arbitrary period gave comparable slopes (see Figures 1A and 1B). Similarly, normalized rates of mineralization or desorption practically coincided (Figure 2A and 2B). These results show that the reduction in the bioavailability of phenanthrene with aging in soil is directly correlated with the reduction in its physical availability.

Figure 1 Figure 2
Figure 1. Mount Pleasant (A) and Pahokee (B) Soils (Left). The fraction of phenanthrene desorbed from sterile soil to an infinitely dilute solution in 21 days or mineralized by bacteria within 21 days, both as a function of aging period. Bars are propogated errors. Figure 2. Mount Pleasant (A) and Pahokee (B) Soils (Right) same as Figure 1, except ordinate is normalized initial rate of biodegradation or desorption.


Further correlations were established between the magnitude of the biodegradation resistant fraction and the magnitude of the highly desorption-resistant fraction (Braida and Pignatello, manuscript in preparation). In these experiments, the soils were pre-equilibrated with phenanthrene for 180 days and then either biodegraded by strain R inoculum, or desorbed under sterile conditions in the presence of Tenax, each for 99 days. Biodegradation was evaluated both with respect to transformation (loss of parent compound) and mineralization (14CO2 evolved from [9-14C] phenanthrene). The bacterial degraders were verified active at 99 days. Figure 3 shows a strong correlation (1:1) between the transformation-resistant fraction and the desorption-resistant fraction. Figure 4 shows the same correlation between the mineralization-resistant fraction and the desorption-resistant fraction. The latter correlation is somewhat weaker than the former and offset from the 1:1 relationship, suggesting that less-degradable or less bioavailable byproducts of phenanthrene are produced.

Figure 3 Figure 4
Figure 3. Biodegradation Resistant Fraction Versus Tenax-Desportion Resistant Fraction After 99 Days. Correlation between the fraction of phenanthrene resistant to biotrans-formation by Pseudomonas strain R after 99 days, and the fraction resistent to desorption in the presence of Tenax after 99 days. Figure 4. The same as Figure 3, except phenanthrene degradation taken to be the fraction of 14C label released as 14CO2.


Two dimensionless indices were derived based on the parallel desorption and biodegradation studies of the phenanthrene described above that permit assessment of the bioavailability and remediation potential of a sequestered organic compound in soil (Braida and Pignatello, in preparation). The degrader was Pseudomonas strain R. The bio-transformation potential referenced to a specified time period of xx days (BTPxx) is defined as the ratio of moles transformed to moles remaining sorbed, and indicates the maximum extent of biotransformation that may be achieved by a system in the specified period, assuming that desorption is a prerequisite for biotransformation. The bio-availability index referenced to xx days (BAxx) is defined as the ratio of moles biotransformed to moles desorbed, and indicates how well biotransformation keeps up with desorption. Using a period xx = 30 days, BTP30 for the 15 soils tested ranged between 0.3 and 13 and BA30 ranged from 0.64 to 1.12 (Figure 5). For soils in quadrant 2, biotransformation keeps up well with desorption and degradation is extensive. For soils in quadrant 3, biotransformation keeps pace with desorption, but degradation is limited by physical sequestration. For soils in quadrant 4, biotransformation lags desorption and degradation is limited by physical sequestration. No soils were found in quadrant 1. The combination of BA30 and BMP30 indices provides insight into the relationship between the physical (desorption) and biological processes (biodegradation) involved, and gives a good indication of the remediation potential of a contaminant. BA30 values less than 0.9 and BP30 values less than 5 indicate poor potential for site remediation.

 

Figure 5
Figure 5. Bio-Transformation Potential Index and Bio-Availability Index

Analysis of Experimental Gas Adsorption Data on Soil Particles and Soil Organic Matter (SOM)

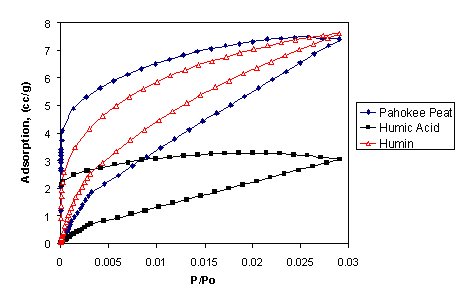
The CO2 adsorption isotherms at 273 K and N2 adsorption isotherms at 77 K on more than 20+ soil samples and reference sorbents were measured and the pore size distributions were constructed. Nanopores of 0.3 to 1 nm revealed in these distributions are thought to be responsible for a delayed desorption kinetics of organic contaminants sequestered in pores of soil particles. Special attention was paid to the samples containing SOM. We studied samples of peat and its fractions such as purified humin and humic acid. The N2 isotherms showed no evidence of microporosity. CO2 adsorption indicated appreciable microporosity and much greater surface areas in the samples. We observed sorption-desorption hysteresis of CO2 associated primarily with sorption to materials with high organic carbon (OC) content (Figure 6). CO2 desorption was hindered until the vapor pressure was reduced tenfold. We hypothesized that strong retention and sequestration of various organic molecules and sorption hysteresis of CO2 were caused by similar mechanisms. Therefore, CO2 can be used as a suitable molecular probe to study structural and sorption-desorption properties of soil particles containing SOM. The CO2 adsorption-desorption hysteresis indicates irreversibility of sorption in SOM nanopores. A new measure of irreversibility has been introduced to quantify the degree of hysteresis. This quantity can be related to the soil retention ability.

 

Figure 6
Figure 6. CO2 Sorption Hysteresis on Samples With High SOM Content

Effects of Contaminant or Co-Solute Concentrations on Sorption/Desorption Rates and Bioavailability of Hydrocarbons

Sorption/Desorption Rates. NOM is regarded as a three-dimensional random network of macromolecular material with glassy properties in the solid state. Macromolecular solids, including NOM, lignin, and synthetic polymers that are glassy at room temperature, sorb by a nonlinear dual-mode mechanism. One mode is linear solid phase-dissolution ("partition") into the bulk of the solid and the other mode is nonlinear adsorption-like filling of nanometer-size voids ("holes") dispersed in the solid phase. A more detailed discussion of this concept for NOM is given by Xia and Pignatello (Environmental Science and Technology 2001;35:84-94). The dual-mode model predicts that fractional sorption is concentration-dependent (greater sorption at lower concentrations) and competitive (less sorption in the presence of a co-solute). Moreover, the dual-mode model predicts that sorption/desorption will be faster at higher self concentration or with increasing concentration of a competing co-solute. This is because molecules in the holes are relatively less mobile than molecules in the partition domain, and because the fraction of total sorbate in the holes decreases with total self or co-solute concentration due to limitations in the size and population of the holes.

We studied phenanthrene and pyrene sorption rates to seven soils (White, et al., 2000; Braida, et al., 2001). We found experimentally that the rate of sorption normalized to the final sorption increases with absolute initial solute concentration for soils in which the PAH exhibits a nonlinear (concave-down) isotherm. The effect is greater when the fraction of total solute finally taken up by the solid (F) is low. The explanation is rooted in the nonlinearity of the isotherm and the finite-bath condition of the experiment, and can be expressed in terms of two opposing effects. On one hand, the apparent diffusivity of a (concave-down) nonlinearly sorbing compound within particles increases with concentration because its affinity for the solid phase decreases with increasing concentration. On the other hand, rates in finite-bath reactors conducted out at the same liquid:solid ratio will suffer from a batch process temporal bias called the "shrinking gradient" effect. It is an artifact of the methodology, and is due to gradient driving forces that slow the sorption rate as F declines. In nonlinear cases, F declines as concentration increases. The "shrinking gradient" effect vanishes as the liquid:solid ratio approaches infinity. While this effect is self-correcting when an appropriate nonlinear diffusion model is applied, consensus about such models has not yet been achieved. To provide bounds for the shrinking gradient effect in finite-bath systems semi-empirically, we employ two models that give lower and upper bounds of the characteristic sorption time t in the limit of infinite bath: (1) a Wetting-Front Model, which assumes sorption is rate-limited by molecular migration; and (2) a Fast-Diffusion Model, which assumes a mass-transfer resistance at the sorption site. The results are consistent with an intrinsic positive concentration-dependence of sorption kinetics.

We also determined the effect of initial sorbed concentration (q0) on fractional desorption rates of phenanthrene from each of six soils to zero-concentration solution that included Tenax beads (Braida, et al., in press). Phenanthrene had been pre-equilibrated with the soil for 180 days. Consistent with theory, the fractional desorption rates determined by empirical curve fitting increased with q0 provided the isotherm was nonlinear. After 500-600 days of desorption at the steepest possible concentration gradient, all soils retained a highly resistant fraction ranging from 4 to 31 percent of q0, except for one soil at a high q0. The highly resistant fraction decreased with increasing q0 for nonlinear isotherm cases, but increased with q0 for linear or nearly-linear isotherm cases. Application of a nonlinear diffusion model, (Dual-Mode Diffusion Model, DMDM) to the nonresistant fraction gave reasonably good fits. The DMDM ascribes the increase in apparent diffusivity with concentration in terms of favoring the population of the dissolution domain of SOM as the immobile sites (holes) become filled up. The concentration-dependent component of the apparent diffusivity correlated with either of two indices of isotherm linearity: the fraction of dissolution-domain adsorbate at infinite dilution calculated from Dual Mode parameters, or the exponent parameter of the Freundlich equation.

Competitive sorption kinetic studies were conducted with phenanthrene as the primary solute and pyrene as the competing solute in the Pahokee (44 percent OC and Cheshire soils (1.4 percent OC) (White and Pignatello, 1999). Two-day and 30 3-day isotherms of phenanthrene in both soils were nonlinear. Pyrene suppressed phenanthrene sorption and increased the linearity of its isotherm. Uptake (sorption) rates were measured in batch systems after pre-incubating with pyrene. Desorption was measured by the sequential dilution technique at constant pyrene concentration in the supernatent. The design of the experiment precluded comparison of sorption rates, but desorption rates increased significantly as a function of pyrene concentration. Moreover, the effect was noticeable even at low and approximately equimolar concentrations of the two compounds (~0.5 µmole/g OC). The effect was qualitatively similar in the two soils, implicating NOM as the matrix in which the effect takes place. The results suggest that the competing solute excludes the primary solute from less mobile sorption domains in NOM. Interpreted according to the dual-mode polymer model, this exclusion is postulated to occur by a "hole-plugging" (competitive displacement) mechanism possibly in concert with penetrant-induced plasticization of SOM, which leads to destruction of holes.

Zhao, et al. (2001) applied a radial DMDM to kinetic data generated in the previous study (White and Pignatello, 1999). The DMDM was able to predict competitive and concentration effects on sorption and desorption rates. Based on dual-mode sorption theory for glassy polymers, the model assumes a population of specific adsorption sites ("holes") interspersed uniformly in the dissolution (partition) domain of NOM. It further assumes Fickian diffusion in the dissolution domain and immobilization in the holes, with microscopic local equilibrium between the two domains. The model was solved numerically using the (Crank-Nicolson implicit method). Using parameters from single-solute equilibrium and kinetic experiments, the model adequately predicted batch transient sorption and desorption of phenanthrene (primary solute) as a function of pyrene (co-solute) concentration, and batch transient sorption of phenanthrene as a function of its own concentration, in two soils. The competitive desorption data and fits are depicted in Figure 7. The model showed that phenanthrene sorption approaches equilibrium faster with increasing co-solute or self concentration owing to the concentration dependence of the apparent diffusivity, as predicted by a simple hole plugging mechanism (i.e., fewer and fewer holes are available). Simulations show the effect to be greatest under infinite bath uptake conditions because of the previously-mentioned batch process temporal bias.

 

Figure 7
Figure 7. Desorption Kinetics of Phenanthrene in Cheshire Loam in the Presence of Various Constant Concentrations of Pyrene. The zero co-solute data were fit to the DMDM and the others were predicted based on the diffusion rate parameter of the zero co-solute fit.

Bioavailability. A study was conducted to test the hypothesis that addition of a co-solute can increase the bioavailability of a primary solute through the competitive sorption effect of the co-solute (White, et al., 1999a). Sterile suspensions of Mount Pleasant silt loam and Pahokee soils were spiked with phenanthrene and allowed to age for 3 or 123 days before inoculation with a phenanthrene-degrading bacterium in the presence or absence of the nonbiodegradable co-solute, pyrene. Mineralization decreased with aging in the samples not amended with pyrene, as expected. However, addition of pyrene just prior to inoculation at 123 days significantly mitigated this decrease-i.e., the extent of mineralization was greater in the 123-day pyrene-amended samples than in the 123-day non-amended samples. Parallel experiments on sterile soils showed that pyrene increased the physical availability of phenanthrene by competitive displacement of phenanthrene from sorption sites. First, addition of pyrene (at three concentrations) dramatically reduced the apparent distribution coefficient (coefficient ) of several concentrations of 60-, 95-, and 111-day aged phenanthrene. At the lowest phenanthrene and highest pyrene concentrations, reductions in the coefficient of phenanthrene in the peat soil reached 83 percent. Second, addition of pyrene increased recovery of 123-day aged phenanthrene by mild solvent (n-butanol) extraction. The competitive displacement effect observed in this study adds further support to the dual mode model of sorption to SOM. The displacement of an aged contaminant by a non-aged co-solute also may prove useful in the development of novel remediation strategies.

Effects of Soil Alteration on Sorption/Desorption Behavior of Hydrocarbons

Partial Removal of Organic Matter (OM) Fractions. Consonant with our model of humic structure, it was postulated that removal of extractable humic fractions from soil would leave behind a more condensed, higher molecular weight fraction (humin) from which desorption would be slower and in which bioavailability would be reduced. The partial removal of OM from Pahokee soil by extraction with dilute NaOH to leave the humin fr


Journal Articles on this Report : 19 Displayed | Download in RIS Format

Publications Views
Other project views: All 61 publications 19 publications in selected types All 19 journal articles
Publications
Type Citation Project Document Sources
Journal Article Braida WJ, White JC, Ferrandino FJ, Pignatello JJ. Effect of solute concentration on sorption of polyaromatic hydrocarbons in soil: uptake rates. Environmental Science & Technology 2001;35(13):2765-2772. R825959 (Final)
not available
Journal Article Braida WJ, White JC, Zhao DY, Ferrandino FJ, Pignatello JJ. Concentration-dependent kinetics of pollutant desorption from soils. Environmental Toxicology and Chemistry 2002;21(12):2573-2580 R825959 (Final)
not available
Journal Article Braida WJ, Pignatello JJ, Lu YF, Ravikovitch PI, Neimark AV, Xing BS. Sorption hysteresis of benzene in charcoal particles. Environmental Science & Technology 2003;37(2):409-417 R825959 (Final)
not available
Journal Article Lu Y, Pignatello JJ. Demonstration of the 'Conditioning Effect' in soil organic matter in support of a pore deformation mechanism for sorption hysteresis. Environmental Science & Technology 2002;36(21):4553-4561 R825959 (Final)
  • Full-text: ACS Full Text
    Exit
  • Other: ACS PDF
    Exit
  • Journal Article Neimark AV, Ravikovitch PI, Vishnyakov A. Adsorption hysteresis in nanopores. Physical Review E 2000, Volume: 62 , Number: 2,A (AUG) , Page: R1493-R1496. R825959 (1999)
    R825959 (Final)
    not available
    Journal Article Neimark AV, Vishnyakov A. Gauge cell method for simulation studies of phase transitions in confined systems. Physical Review E 2000;62(4):4611-4622. R825959 (Final)
    not available
    Journal Article Neimark AV, Ravikovitch PI. Capillary condensation in MMS and pore structure characterization. Microporous and Mesoporous Materials 2001;44:697-707. R825959 (Final)
    not available
    Journal Article Neimark AV, Ravikovitch PI, Vishnyakov A. Inside the hysteresis loop: Multiplicity of internal states in confined fluids. Physical Review E 2002;65(3):031505/1-031505/6 Art No 031505 Part 1. R825959 (Final)
    not available
    Journal Article Ravikovitch PI, Neimark AV. Density functional theory of absorption hysteresis and nenopose characterization. Studies in Surface Science and Catalysis 2000;128:51-60. R825959 (Final)
    not available
    Journal Article Ravikovitch PI, Vishnyakov A, Russo R, Neimark AV. Unified approach to pore size characterization of microporous carbonaceous materials from nitrogen, argon and carbon dioxide adsorption isotherms. Langmuir 2000;16(5):2311-2320. R825959 (1999)
    R825959 (Final)
    not available
    Journal Article Ravikovitch PI, Neimark AV. Characterization of micro- and mesoporosity in SBA-15 materials from adsorption data by the NLDFT method. Journal of Physical Chemistry B 2001;105(29):6817-6823. R825959 (Final)
    not available
    Journal Article Ravikovitch PI, Neimark AV. Characterization of nanoporous materials from adsorption and desorption isotherms. Colloids and Surfaces A - Physicochemical and Engineering Aspects 2001;187:11-21. R825959 (Final)
    not available
    Journal Article Ravikovitch PI, Vishnyakov A, Neimark AV. Density functional theories and molecular simulations of adsorption and phase transitions in nanopores. Physical Review E 2001;64(1):011602/1-011602/19. R825959 (Final)
    not available
    Journal Article Vishnyakov A, Ravikovitch PI, Neimark, AV. Molecular level models for CO2 sorption in nanopores. Langmuir 1999;15:8736-8742. R825959 (1998)
    R825959 (1999)
    R825959 (Final)
  • Full-text: ACS - Full Text HTML
    Exit
  • Abstract: ACS - Abstract HTML
    Exit
  • Journal Article Vishnyakov A, Debenedetti PG, Neimark AV. Statistical geometry of cavities in a metastable confined fluid. Physical Review E 2000;62(1):538-544. R825959 (Final)
    not available
    Journal Article White JC, Hunter M, Pignatello JJ, Nam KP, Alexander M. Correlation between the biological and physical availabilities of phenanthrene in soils and soil humin in aging experiments. Environmental Toxicology Chemistry 1999;18(8):1720-1727. R825959 (1998)
    R825959 (1999)
    R825959 (Final)
    not available
    Journal Article White JC, Hunter M, Pignatello JJ, Alexander M. Increase in the bioavailability of aged phenanthrene in soils by competitive displacement with pyrene. Environmental Toxicology and Chemistry 1999;18(8):1728-1732. R825959 (1998)
    R825959 (1999)
    R825959 (Final)
    not available
    Journal Article White JC, Pignatello JJ. Influence of bisolute competition on the desorption kinetics of polycyclic aromatic hydrocarbons in soil. Environmental Science & Technology 1999;33(23):4294-4298. R825959 (1998)
    R825959 (1999)
    R825959 (Final)
    not available
    Journal Article Zhao D, Pignatello JJ, White JC, Braida W, Ferrandino F. Dual-mode modeling of competitive and concentration-dependent sorption and desorption kinetics of polycyclic aromatic hydrocarbons in soils. Water Resources Research 2001;37(8):2205-2212. R825959 (Final)
    not available

    Supplemental Keywords:

    nanoporosity, soil, hydrocarbon desorption kinetics, bioavailability, natural organic matter, NOM, polycyclic aromatic hydrocarbon, PAH, organic carbon., Scientific Discipline, Ecosystem Protection/Environmental Exposure & Risk, Waste, Water, Chemistry, Environmental Chemistry, Contaminated Sediments, Microbiology, Environmental Microbiology, Geochemistry, Geology, Bioavailability, Bioremediation, Environmental Engineering, Phenanthrene, sediments, bioremediation of soils, sorption kinetics, contaminated sediment, soil characterization, density functional theory, Toluene, sorption, contaminated sites, groundwater, hydrocarbon desorption kinetics, nonoporosity, PAH

    Progress and Final Reports:

    Original Abstract
  • 1998 Progress Report
  • 1999 Progress Report
  • Top of Page

    The perspectives, information and conclusions conveyed in research project abstracts, progress reports, final reports, journal abstracts and journal publications convey the viewpoints of the principal investigator and may not represent the views and policies of ORD and EPA. Conclusions drawn by the principal investigators have not been reviewed by the Agency.

    Project Research Results

    • 1999 Progress Report
    • 1998 Progress Report
    • Original Abstract
    61 publications for this project
    19 journal articles for this project

    Site Navigation

    • Grantee Research Project Results Home
    • Grantee Research Project Results Basic Search
    • Grantee Research Project Results Advanced Search
    • Grantee Research Project Results Fielded Search
    • Publication search
    • EPA Regional Search

    Related Information

    • Search Help
    • About our data collection
    • Research Grants
    • P3: Student Design Competition
    • Research Fellowships
    • Small Business Innovation Research (SBIR)
    Contact Us to ask a question, provide feedback, or report a problem.
    Last updated April 28, 2023
    United States Environmental Protection Agency

    Discover.

    • Accessibility
    • Budget & Performance
    • Contracting
    • EPA www Web Snapshot
    • Grants
    • No FEAR Act Data
    • Plain Writing
    • Privacy
    • Privacy and Security Notice

    Connect.

    • Data.gov
    • Inspector General
    • Jobs
    • Newsroom
    • Open Government
    • Regulations.gov
    • Subscribe
    • USA.gov
    • White House

    Ask.

    • Contact EPA
    • EPA Disclaimers
    • Hotlines
    • FOIA Requests
    • Frequent Questions

    Follow.