Skip to main content
U.S. flag

An official website of the United States government

Here’s how you know

Dot gov

Official websites use .gov
A .gov website belongs to an official government organization in the United States.

HTTPS

Secure .gov websites use HTTPS
A lock (LockA locked padlock) or https:// means you have safely connected to the .gov website. Share sensitive information only on official, secure websites.

  • Environmental Topics
  • Laws & Regulations
  • Report a Violation
  • About EPA
Contact Us

Grantee Research Project Results

2007 Progress Report: Ultrafine Particle Cell Interactions In Vitro: Molecular Mechanisms Leading To Altered Gene Expression in Relation to Particle Composition

EPA Grant Number: R832415C005
Subproject: this is subproject number 005 , established and managed by the Center Director under grant R832415
(EPA does not fund or establish subprojects; EPA awards and manages the overall grant for this center).

Center: Rochester PM Center
Center Director: Oberdörster, Günter
Title: Ultrafine Particle Cell Interactions In Vitro: Molecular Mechanisms Leading To Altered Gene Expression in Relation to Particle Composition
Investigators: Finkelstein, Jacob N. , Prather, Kimberly A. , Rahman, Arshad , Oakes, David , Phipps, Richard
Institution: University of Rochester , University of California - San Diego
EPA Project Officer: Chung, Serena
Project Period: October 1, 2005 through September 30, 2010 (Extended to September 30, 2012)
Project Period Covered by this Report: October 1, 2006 through September 30, 2007
RFA: Particulate Matter Research Centers (2004) RFA Text |  Recipients Lists
Research Category: Human Health , Air

Objective:

The experiments proposed within this project are designed to address specific mechanistic hypotheses regarding the interactions between inhaled ultrafine particles and specific pulmonary cell populations. The in vitro experiments in this core are intended to provide a mechanistic link and biological plausibility for the whole animal and controlled clinical (human) exposures, described in the other programs of this Particle Center. Our ability to use defined populations of cells and well characterized particles allow us to test specific hypothesis that arise from the in vivo studies described elsewhere. We will use cell lines and primary cells derived from rats and humans to test the hypothesis that increased morbidity and mortality in susceptible populations is due to the unique characteristics of ultrafine particles inducing oxidative stress and activation of target cells. We also plan to examine the role of specificity factors that could influence the cellular response to PM including the potential enhanced susceptibility of cells from diabetics. Also by working with our particle characterization and analytical cores we will attempt to correlate cellular effects with composition that is related to specific sources.

Progress Summary:

  1. Differential responses to particles by endothelial cells

As more of the physiological effects noted in our in vivo studies have pointed towards cardiovascular endpoints our emphasis on cellular models has shifted away from the typical pulmonary cell targets, namely alveolar macrophages and respiratory epithelium, to vascular cell populations. In this regard we have established two different endothelial models that we have been evaluating as model systems. Many studies of the response of the endothelium utilize cells isolated from the umbilical vein. Cells from this source are easy to obtain and culture and they are well characterized with regard to a number of biological responses. It is not clear, however, that these cells would respond to PM in a manner reflective of the microvessels in the heart or lungs. Therefore we have simultaneously carried out a series of experiments with primary cultures of rat lung microvessel endothelium. Having previously established appropriate culture conditions for the microvessels, with regards to culture substrate and media we compared the PM response to that of HUVEC cells. To better characterize these cells we chose to compare their response to a series of commercially available carbon particles that are well characterized and that have been used in experiments both with rats and humans. A more critical issue is the choice of outcome measure. Based on previous in vivo data and on discussions with core leaders we initially chose production of IL-6 as our benchmark as it may reflect a possible acute phaase response following particle inhalation and subsequent translocation to the vasculature. As shown in Figure 1 both HUVEC and rat lung microvessel (RLMEC) cells exposed to carbon particles respond through increased production of IL-6. It is clear that at this concentration (9.5 μg/cm2) the absolute magnitude of the response in these two cell types differs. It is also evident that the different carbons show a somewhat different response in these cells for this marker. Thus it becaome important to consider these differences when comparing rats and humans and in any discussion of specific mechanism.

Figure 1 Production of IL-6 by Vascular Endothelial cells from rat and human following treatment with Carbon particles of varying size.

Figure 1 Production of IL-6 by Vascular Endothelial cells from rat and human following treatment with Carbon particles of varying size. Cells were incubated with a fixed concentration of the various carbon particles for 24 hrs. Culture media was harvested and assayed for IL-6 by ELISA

The human clinical studies have been measuring vascular reactivity as a measure of response to inhaled PM. Included in that battery of outcomes was plasma Nitric Oxide (NO). To examine this response in a mechanistic manner we began to measure NO production in RLMEC in response to the sam carbon particles. As shown in Figure 2 the RLMEC increased production of NO (as measured by total nitrate and nitrite) after addition of particles. This increase in NO may be a factor in the altered vascular responses noted after PM. It is interesting to note that the effectiveness of the stimulation of NO production by the carbon particles does not match that of IL-6 production. The Elftex material was the most effective in NO stimulation while having only a minor effect on IL-6. system. 2 In vitro models for diabetes. A major thrust of the current research of this PM center is to investigate the proposed increased sensitivity of diabetics to the effects of PM.

Figure 2 NO production by RLMEC in culture after treatment with various carbon particles: Effect of hyperglycemia on NO production.

CARBON (9.5 μg/cm2)

Figure 2 NO production by RLMEC in culture after treatment with various carbon particles: Effect of hyperglycemia on NO production. RLMEC cells were culture for 24 hrs. in the presence of various carbon particles. Media was collected and NO determined by the Greiss reaction. In a second set of studies cells were cultured in the presence of 30 mM glucose (RED BARS) or Mannitol (GREEN BARS) as an osmotic control) and NO measured

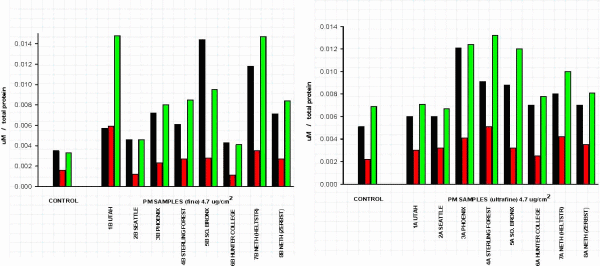
Studies in a diabetic rat model suggest enhanced response to PM and our in vitro studies are designed to model this under controlled conditions. One of the hallmarks of the diabetic is the increased blood glucose. Thus in an attempt to develop a cellular model we have investigated the effect of culturing vascular endothelial cells in elevated glucose to see if that would influence the response to PM and other stimuli. Figure 2 shows the effect of culturing RLMEC cells in 30mM glucose on their ability to release NO in response to PM (carbon). The results suggest a dramatic suppression of NO production under these conditions and not when mannitol is used as the supplemental carbon source. The production of NO is not completely ablated, only suppressed. We are currently investigating the mechanism of this suppression by assessing the effect of elevated glucose on the production of ROS by these cells and effects on intracellular signaling pathways. This effect on NO is not limited to carbon nor is it limited to ultra fine particles. Using PM samples collected as part of the multicenter sampling effort we determined the effect of addition of these particles on the production of NO and whether NO production would be blunted when presented in the context of elevated glucose. Figure 3 shows a comparison of the fine and ultrafine fractions from these sites on the release of NO. As with the carbon, addition of particulates led to an increase in NO release. Interestingly, the magnitude of that release varied from one site to another. We are in the process of a preliminary analysis of the relationship between the composition of these particles and the biological response. We have collected similar data for 2 additional outcomes and all of this data is included in this matrix.

Another fact that remains consistent is the effect of glucose on suppressing the cellular response to PM. This would appear to validate the usefulness of this in vitro model to investigate mechanism of PM effects in the diabetic.

Figure 3 Comparison of Fine and Ultrafine environmental PM effects on NO production by RLMEC and its modulation by elevated glucose

Figure 3 Comparison of Fine and Ultrafine environmental PM effects on NO production by RLMEC and its modulation by elevated glucose

As part of our in vitro modeling effort in this core we have also examined the effect of concentrated PM on cellular responses in vitro. Particles were collected from the ultrafine concentrator similar to those used in inhalation experiments in the Clinical Studies and Animal exposure core. Preliminary studies of the material collected from the concentrator and extracted from the support material show enhanced production of NO as a result of this stimulation even greater that the increase in NO from our other environmental PM samples.

Future Activities:

In the coming year we plan to continue to characterize the response of the microvascular endothelium to particles and begin to model for the effects of diabetes on these responses. Recent studies suggest that hyperglycemia can significantly alter the oxidative stress response in the epithelium and we plan to assess the effect of this treatment on cytokine production following particles. Also, in collaboration with Core 4 we plan to determine the effect of serum isolated from diabetic animals, both PM exposed and controls, on the ability of vascular endothelial cells to be restimulated by concentrated PM. We also expect to extend these studies to cells of neuronal origin and possibly cardiac muscle. Measurement of prostaglandin production, and COX-2 activation will be evaluated with respect to its usefulness as a marker.

Also, in support of the in vivo projects, we will evaluate in vitro effects of particles of differing composition. We will continue to examine the cytokine response to ultrafine particles containing elemental carbon and iron and organic carbon compounds and begin studies of concentrated real world particles.

Journal Articles:

No journal articles submitted with this report: View all 13 publications for this subproject

Supplemental Keywords:

Health, RFA, Scientific Discipline, Air, PHYSICAL ASPECTS, Health Risk Assessment, Physical Processes, Risk Assessments, particulate matter, Biology, Genetics, altered gene expression, human exposure, long term exposure, aersol particles, atmospheric particles, exposure, PM, ambient particle health effects, atmospheric aerosol particles, atmospheric particulate matter, human health risk

Progress and Final Reports:

Original Abstract
  • 2006 Progress Report
  • 2008 Progress Report
  • 2009 Progress Report
  • 2010 Progress Report
  • 2011 Progress Report
  • Final Report

  • Main Center Abstract and Reports:

    R832415    Rochester PM Center

    Subprojects under this Center: (EPA does not fund or establish subprojects; EPA awards and manages the overall grant for this center).
    R832415C001 Characterization and Source Apportionment
    R832415C002 Epidemiological Studies on Extra Pulmonary Effects of Fresh and Aged Urban Aerosols from Different Sources
    R832415C003 Human Clinical Studies of Concentrated Ambient Ultrafine and Fine Particles
    R832415C004 Animal models: Cardiovascular Disease, CNS Injury and Ultrafine Particle Biokinetics
    R832415C005 Ultrafine Particle Cell Interactions In Vitro: Molecular Mechanisms Leading To Altered Gene Expression in Relation to Particle Composition

    Top of Page

    The perspectives, information and conclusions conveyed in research project abstracts, progress reports, final reports, journal abstracts and journal publications convey the viewpoints of the principal investigator and may not represent the views and policies of ORD and EPA. Conclusions drawn by the principal investigators have not been reviewed by the Agency.

    Project Research Results

    • Final Report
    • 2011 Progress Report
    • 2010 Progress Report
    • 2009 Progress Report
    • 2008 Progress Report
    • 2006 Progress Report
    • Original Abstract
    13 publications for this subproject
    10 journal articles for this subproject
    Main Center: R832415
    191 publications for this center
    144 journal articles for this center

    Site Navigation

    • Grantee Research Project Results Home
    • Grantee Research Project Results Basic Search
    • Grantee Research Project Results Advanced Search
    • Grantee Research Project Results Fielded Search
    • Publication search
    • EPA Regional Search

    Related Information

    • Search Help
    • About our data collection
    • Research Grants
    • P3: Student Design Competition
    • Research Fellowships
    • Small Business Innovation Research (SBIR)
    Contact Us to ask a question, provide feedback, or report a problem.
    Last updated April 28, 2023
    United States Environmental Protection Agency

    Discover.

    • Accessibility
    • Budget & Performance
    • Contracting
    • EPA www Web Snapshot
    • Grants
    • No FEAR Act Data
    • Plain Writing
    • Privacy
    • Privacy and Security Notice

    Connect.

    • Data.gov
    • Inspector General
    • Jobs
    • Newsroom
    • Open Government
    • Regulations.gov
    • Subscribe
    • USA.gov
    • White House

    Ask.

    • Contact EPA
    • EPA Disclaimers
    • Hotlines
    • FOIA Requests
    • Frequent Questions

    Follow.