Skip to main content
U.S. flag

An official website of the United States government

Here’s how you know

Dot gov

Official websites use .gov
A .gov website belongs to an official government organization in the United States.

HTTPS

Secure .gov websites use HTTPS
A lock (LockA locked padlock) or https:// means you have safely connected to the .gov website. Share sensitive information only on official, secure websites.

  • Environmental Topics
  • Laws & Regulations
  • Report a Violation
  • About EPA
Contact Us

Grantee Research Project Results

Final Report: The Influence of Climate-Induced Alterations in Dissolved Organic Matter on Metal Toxicity and UV Radiation in Rocky Mountain Streams

EPA Grant Number: R829640
Title: The Influence of Climate-Induced Alterations in Dissolved Organic Matter on Metal Toxicity and UV Radiation in Rocky Mountain Streams
Investigators: Clements, William , Meyer, Joseph S. , Baron, Jill S. , McKnight, Diane M.
Institution: Colorado State University , University of Wyoming , University of Colorado at Boulder
EPA Project Officer: Packard, Benjamin H
Project Period: April 1, 2002 through April 1, 2005
Project Amount: $896,212
RFA: Assessing the Consequences of Global Change for Aquatic Ecosystems: Climate, Land Use, and UV Radiation (2001) RFA Text |  Recipients Lists
Research Category: Aquatic Ecosystems , Ecological Indicators/Assessment/Restoration , Water , Climate Change

Objective:

The objective of this research project was to investigate the influence of climate-induced changes in hydrology and dissolved organic matter (DOM) on responses of stream ecosystems to the combined stressors of ultraviolet radiation (UVR) and heavy metals (Figure 1). We hypothesized that changes in climate and UVR will alter the quality and quantity of DOM in Rocky Mountain streams. Because DOM regulates light attenuation and metal bioavailability in these systems, we predicted that exposure to UVR and metals will increase in streams with low levels of DOM.

Figure 1

Figure 1. Conceptual Model Showing the Hypothesized Influence of UV-B Radiation and Climate-Induced Changes in Stream Hydrology and Biogeochemistry on DOM in Streams. Because DOM regulates penetration of UV-B radiation to benthic communities and influences bioavailability of heavy metals, we predicted that changes in DOM will alter the structure and function of stream benthic communities.

Summary/Accomplishments (Outputs/Outcomes):

Biogeochemical Modeling

To predict potential response of stream dissolved organic carbon (DOC) to climate warming and drought stress, we simulated several climate scenarios with a daily time step hydrobiogeo-chemical model, DayCENT (Parton, et al., 1998). We created climate scenarios to drive the model within a predicted range of temperature increases (Leung, et al., 2004), plus additional scenarios that were warmer and drier, to test the sensitivity of hydrologic and biogeochemical processes in the Snake River watershed, a metal-polluted stream in central Colorado. Results showed that a 2.5°C increase in temperature over 50 years in the Snake River watershed increased mean annual stream DOC concentrations and decreased annual discharge (Figure 2). Annual mean stream DOC concentrations increased primarily because of the reduction in stream discharge, which lessened dilution of DOC flux to the watershed. Temperature warming alone also increased total annual DOC flux to the stream relative to the control run because net primary production and litterfall increased, and therefore, the amount of leachable organic matter was greater.

Figure 2

Figure 2. Predicted changes to stream DOC concentrations based on DayCENT Model for the Snake River Basin, CO

Field Monitoring and Photodegradation Experiments

The goals of our field monitoring program were to: (1) characterize the relationship between stream hydrology and DOM in metal polluted and unpolluted streams; (2) measure photodegradation and metal-binding affinity of DOM; (3) characterize the influence of source and composition of DOM on metal binding and light attenuation; and (4) measure spatial and seasonal changes in the relative contributions of fulvic acids to DOM. We measured a suite of physicochemical and habitat characteristics at 21 stream sites selected along a gradient of metal and DOC concentrations. To characterize how metal complexation varied spatially and temporally with DOM source, we collected water samples on eight occasions from spring to fall 2003. Geochemical analyses of these samples included pH, alkalinity, hardness, and concentrations of cations (Ca2+, Mg2+, Na+, K+), anions (SO42-, Fˉ, Clˉ, NO3ˉ, PO43-), and heavy metals (Cu, Cd, Zn, and Fe).

To examine metal bioavailability and the influence of DOC and other ligands on metal bioaccumulation, caddisflies (Arctopsyche grandis) were collected in spring and fall 2003 from 16 stations along a gradient of DOC concentration and metal contamination. Organisms were collected using a D-frame net and transported to the laboratory on ice. Caddisflies were dried to a constant weight at 50°C, cooled to room temperature, and weighed to the nearest 0.1 mg. Samples were digested in analytical-grade nitric acid and analyzed for heavy metals using atomic absorption spectrophotometry.

We estimated UV-B attenuation in streams using a hand held radiometer (International Light model 1400, Newburyport, Massachusetts) equipped with a broadband UV detector (SUD 240) fitted with cosine correction quartz (W#8186 and T#17733) and a UV-B-1 filter (#24246; detector range: 265-332 nm). On each occasion, three UV-B measurements were taken every 2 cm starting at the water surface and ending at the streambed between 10:00 a.m. and 2:00 p.m. in full sun conditions. The downward irradiance of UV-B intensity at a given depth was calculated for each stream reach using the following equation:

ln Ez = ln E0 - Kd (z)

where z is stream depth, Ez is the UV-B intensity at z, E0 is the UV-B intensity at the surface, and Kd is the vertical attenuation coefficient for UV-B. To determine the influence of DOC on UV-B attenuation, we examined the relationship between Kd and DOC concentration.

We investigated the effect of photooxidation and photodegradation of DOM on its ability to regulate the Cu speciation by complexing and altering the activity of the free cupric ion (Cu2+), which is the most bioavailable form of Cu. Natural DOM was collected from three paired wetland and river sites during spring peak flows and summer base flows. Sites encompassed high, moderate, and low levels of transition metals and DOC. We irradiated DOM in a full-spectrum solar simulator for 24 hours (3 days of sunlight at field sites). Using potentiometric titration of Cu into DOM, we compared Cu complexation before and after photooxidation at the same DOC concentration.

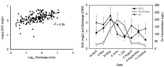
Results. DOC concentration varied seasonally among streams and was related significantly to stream discharge (Figure 3). Highest stream discharge and DOC concentrations were observed in late spring, corresponding to the seasonal peak in spring runoff. Seasonal peaks in metal concentrations coincided with DOC and generally preceded peak discharge by about 2-3 weeks in most streams. These spatiotemporal patterns suggest that stream discharge is an important regulator of DOC concentrations and that the timing of peak metal levels and peak DOC concentrations will influence significantly metal bioavailability.

Figure 3

Figure 3. Relationship Between DOC Concentration, Stream Discharge, and Zn concentration at 21 Stream Sites in Colorado Sampled From April to October 2003

Concentrations of Zn in caddisflies increased with the level of metal contamination in the 16 streams (Figure 4). Metal levels also were significantly greater in spring than fall across all sampling stations (P < 0.0001). Predicted metal bioavailability to caddisflies based on the biotic ligand model showed highly significant relationships for Zn and Cd (fall only).

Figure 4

Figure 4. Zn Concentration in the Caddisfly Arctopsyche grandis (Trichoptera) Collected From 16 Reference and Metal Polluted Streams in Central Colorado in May and October 2003. Seasonal and spatial variation was a result of Zn concentrations in water, DOC, and stream discharge. The values to the right show the relationship between metal levels in caddisflies and predicted metal bioavailability based on the biotic ligand model (DiToro, et al., 2001).

Photomineralization removed DOC from all DOM solutions and significantly reduced absorption coefficients. DOM losses ranged from 10 to 20 percent (mean = 13 ± 1%) and did not differ between spring and summer (p = 0.84). Based on direct measures of UV-B attenuation, we calculated vertical attenuation coefficients for 18 field sites and estimated that 3 days exposure to summer UV conditions would increase UV at the streambed by 27 plus or minus 16 percent. Cu complexation with DOM did not differ between wetland and riverine sources; however, photodegradation of DOM was greater in spring than summer, suggesting potential seasonal differences in toxicity and bioavailability of Cu. In most cases, irradiation of DOM decreased Cu-DOM complexation across the range of [Cu]T in titrations (Figure 5). Our results demonstrate the ecological importance of DOM photooxidation, which strongly altered Cu-DOM complexation. In general, photooxidation of DOM decreased complexation of Cu, the net effect of which was increased Cu2+ and greater Cu toxicity.

Figure 5

Figure 5. Relationship Between p{Cu2+} Versus p[Cu]T (Negative Log of Cupric Ion Activity Versus Total Cu Concentration) During Titration of Cu Into Control (Nonirradiated) (●) and DOM Solutions Irradiated for 24 hours (○). Concentrations of DOC in controls were 5 mg L-1. DOC was approximately 14 percent lower following irradiation in a solar simulator. Values are ± SD at each titration point for across all streams.

Field and Microcosm Experiments to Assess Effects of UV-B and Heavy Metals

Field and microcosm experiments were conducted to assess the interactive effects of UV-B radiation and heavy metals on the structure and function of benthic communities. The specific objectives of these experiments were to: (1) determine how communities with different metal exposure histories respond to combined effects of UV-B and heavy metals; (2) measure the direct effects of UV-B radiation on the structure and function of benthic communities in the field along a metal gradient; and (3) assess the influence of UV-B on metal bioavailability and toxicity.

Microcosm experiments. To determine how exposure history influences community responses to the combined effects of UV-B and metals, we used results of seven separate microcosm experiments conducted over the past 9 years (1995–2004) to test the hypothesis that benthic communities collected from metal-polluted sites were more susceptible to UV-B than communities from reference sites. In all experiments, natural benthic communities were collected from either metal-polluted (n = 4) or reference (n = 3) sites and exposed to UV-B in the laboratory using UV-B lamps. Standardized mean difference (D) was calculated for each group to compare effect size across all experiments.

Results of microcosm experiments assessing effects of UV-B on benthic communities from reference and metal-polluted sites showed that effect size of UV-B addition was generally large for most response variables at both reference and polluted sites (Figure 6). Mean effect size, however, was greater at the polluted sites for all benthic community metrics except for total abundance and the abundance of Orthocladiinae midges. The effect size of UV-B addition on the abundance of mayflies, Heptageniidae, and Baetis bicaudatus was greater at the polluted sites when compared to reference sites. Our experiments suggest that benthic communities subjected to long-term metal pollution in the Arkansas River generally were more tolerant to metals but more sensitive to UV-B radiation compared to communities from a nearby reference stream. These results suggest a trade-off between metal tolerance and UV-B sensitivity in benthic communities. Our findings have important implications for understanding how community composition can influence responses to anthropogenic disturbance.

Figure 6

Figure 6. Standardized Mean Difference (D) ± 95% Confidence Intervals of Abundance Metrics for UV-B Addition Experiments Conducted in the Laboratory With Benthic Communities Reference Sites (n = 3) and Metal-Polluted (n = 4) Sites

Field experiments. Field experiments were conducted to investigate the effects of UV-B radiation and heavy metal pollution on the structure of benthic communities. Twelve sites were selected across a gradient of Zn contamination (1 to 377 µg/L Zn) and dissolved organic matter (DOM 0.72 to 3.77 mg/L) from the central Rocky Mountains of Colorado. Replicate (n = 3) PVC frames (1 x 2 m) were placed in riffle areas of each stream and one side of each structure was covered with a filter that removed UV-B. Benthic samples (0.1 m2 Hess sampler) were collected from each replicate treatment after 60 days. To determine UV-B dose to benthic communities, we used polysulfone (PSF) dosimetry to measure UV-B at the water surface in conjunction with estimates of UV-B attenuation and stream depth measurements.

Cumulative UV-B at the water surface was variable among sites (12 J/cm2 to 66 J/cm2). On average, 25-71 percent of surface UV-B reached the streambed, and approximately 80 percent of the variation in streambed UV-B was explained by DOC concentration. These results indicate that benthic communities in high elevation Rocky Mountain streams are subject to levels of UV that are up to 75 percent of surface measurements.

Removal of UV-B increased chlorophyll a biomass and abundance of most macroinvertebrate groups, but effects differed between reference and metal-polluted streams (Figure 7). Results of two-way factorial analysis of variance indicated significant effects of UV-B on most groups, but greatest effects were observed for mayflies. Overall, effects of UV-B removal at polluted sites were greater than at reference sites. Our results from laboratory and field experiments demonstrated that benthic communities subjected to long-term metal exposure were more sensitive to UV-B radiation than reference communities. Predicted affects of climate change over the next 100 years in the Rocky Mountain region are expected to significantly effect riparian vegetation, biogeochemical cycles, and hydrologic processes (Baron, et al., 2000). These changes likely will influence DOM quantity and quality in high elevation streams. Decreased water depth during summer when UV-B is highest coupled with photodegradation and alterations in DOM quantity will increase significant exposure of benthic communities to the combined stressors of UV-B and heavy metals.

Figure 7

Figure 7. Effects of UV-B Removal on Macroinvertabrates and Chlorophyll a Biomass in 12 Streams Along a Metal Pollution Gradient

References:

Baron JS, Hartman M, Band LE, Lammers R. Sensitivity of a high elevation Rocky Mountain watershed to altered climate and CO2. Water Resources Research 2000;36:89-99.

DiToro DM, Allen HE, Bergman HL, Meyer JS, et al. Biotic ligand model of the acute toxicity of metals. 1. Technical basis. Environmental Toxicology and Chemistry 2001;20:2383-2396.

Leung LR, Qian Y, Bian X, Washington WM, et al. Mid-century ensemble regional climate change scenarios for the western United States. Climatic Change 2004;62:75-113.

Parton WJ, Hartman M, Ojima D, Schimel D. DAYCENT and its land surface submodel: description and testing. Global and Planetary Change 1998;19:35-48.


Journal Articles on this Report : 4 Displayed | Download in RIS Format

Publications Views
Other project views: All 20 publications 5 publications in selected types All 5 journal articles
Publications
Type Citation Project Document Sources
Journal Article Brooks ML, McKnight DM, Clements WH. Photochemical control of copper complexation by dissolved organic matter in Rocky Mountain streams, Colorado. Limnology and Oceanography 2007;52(2):766-779. R829640 (Final)
  • Abstract: American Society of Limnology and Oceanography Abstract
    Exit
  • Journal Article Hartman MD, Baron JS, Ojima DS. Application of a coupled ecosystem-chemical equilibrium model, DayCent-Chem, to stream and soil chemistry in a Rocky Mountain watershed. Ecological Modelling 2007;200(3-4):493-510. R829640 (Final)
  • Full-text: Science Direct Full Text
    Exit
  • Abstract: Science Direct Abstract
    Exit
  • Other: Science Direct Full Text (PDF)
    Exit
  • Journal Article Kashian DR, Prusha BA, Clements WH. Influence of total organic carbon and UV-B radiation on zinc toxicity and bioaccumulation in aquatic communities. Environmental Science & Technology 2004;38(23):6371-6376. R829640 (2003)
    R829640 (Final)
    R829515 (2004)
    R829515 (2005)
    R829515 (Final)
  • Abstract from PubMed
  • Full-text: ACS-Full Text HTML
    Exit
  • Abstract: ACS-Abstract
    Exit
  • Other: ACS-Full Text PDF
    Exit
  • Journal Article Prusha BA, Clements WH. Landscape attributes, dissolved organic C, and metal bioaccumulation in aquatic macroinvertebrates (Arkansas River Basin, Colorado). Journal of the North American Benthological Society 2004;23(2):327-339. R829640 (2002)
    R829640 (2003)
    R829640 (Final)
    R829515 (2003)
    R829515 (2004)
    R829515 (Final)
  • Abstract: Freshwater Science-Abstract
    Exit
  • Supplemental Keywords:

    watersheds, risk assessment, ecological effects, bioavailability, toxicity, toxics, heavy metals, ecosystem indicators, aquatic, macroinvertebrates, ecology, hydrology, geology, limnology, modeling, monitoring, microcosms, Rocky Mountains,, RFA, Air, Scientific Discipline, Geographic Area, Water, Ecological Risk Assessment, EPA Region, State, Watersheds, Atmospheric Sciences, Hydrology, climate change, Water & Watershed, Rocky Mountains, hydrologic models, vulnerability assessment, Global Climate Change, metal toxicity, global change, aquatic ecology, aquatic food web, environmental monitoring, climate models, climate variability, land and water resources, regional hydrologic vulnerability, Rocky Mountain Streams, UV radiation, wetlands, climatic models, land use, ecological research, Colorado (CO), dissolved organic matter, aquatic ecosystems, water resources, stream ecosystem

    Progress and Final Reports:

    Original Abstract
  • 2002 Progress Report
  • 2003 Progress Report
  • Top of Page

    The perspectives, information and conclusions conveyed in research project abstracts, progress reports, final reports, journal abstracts and journal publications convey the viewpoints of the principal investigator and may not represent the views and policies of ORD and EPA. Conclusions drawn by the principal investigators have not been reviewed by the Agency.

    Project Research Results

    • 2003 Progress Report
    • 2002 Progress Report
    • Original Abstract
    20 publications for this project
    5 journal articles for this project

    Site Navigation

    • Grantee Research Project Results Home
    • Grantee Research Project Results Basic Search
    • Grantee Research Project Results Advanced Search
    • Grantee Research Project Results Fielded Search
    • Publication search
    • EPA Regional Search

    Related Information

    • Search Help
    • About our data collection
    • Research Grants
    • P3: Student Design Competition
    • Research Fellowships
    • Small Business Innovation Research (SBIR)
    Contact Us to ask a question, provide feedback, or report a problem.
    Last updated April 28, 2023
    United States Environmental Protection Agency

    Discover.

    • Accessibility
    • Budget & Performance
    • Contracting
    • EPA www Web Snapshot
    • Grants
    • No FEAR Act Data
    • Plain Writing
    • Privacy
    • Privacy and Security Notice

    Connect.

    • Data.gov
    • Inspector General
    • Jobs
    • Newsroom
    • Open Government
    • Regulations.gov
    • Subscribe
    • USA.gov
    • White House

    Ask.

    • Contact EPA
    • EPA Disclaimers
    • Hotlines
    • FOIA Requests
    • Frequent Questions

    Follow.