Skip to main content
U.S. flag

An official website of the United States government

Here’s how you know

Dot gov

Official websites use .gov
A .gov website belongs to an official government organization in the United States.

HTTPS

Secure .gov websites use HTTPS
A lock (LockA locked padlock) or https:// means you have safely connected to the .gov website. Share sensitive information only on official, secure websites.

  • Environmental Topics
  • Laws & Regulations
  • Report a Violation
  • About EPA
Contact Us

Grantee Research Project Results

2008 Progress Report: Sensitivity of Heterogeneous Atmospheric Mercury Processes to Climate Change

EPA Grant Number: R833375
Title: Sensitivity of Heterogeneous Atmospheric Mercury Processes to Climate Change
Investigators: Schauer, James J. , Griffin, Robert J. , Shafer, Martin M. , Holloway, Tracey
Institution: University of Wisconsin - Madison , University of New Hampshire
EPA Project Officer: Chung, Serena
Project Period: February 15, 2007 through February 14, 2010 (Extended to February 14, 2011)
Project Period Covered by this Report: February 15, 2008 through February 14,2009
Project Amount: $899,731
RFA: Consequences of Global Change For Air Quality (2006) RFA Text |  Recipients Lists
Research Category: Air , Climate Change

Objective:

The overall goal of the proposed project is to quantify the impact of climate change on key atmospheric processes that control the fate of mercury during transport from emission to deposition.  Efforts are being directed at building on the existing scientific understanding of atmospheric mercury processes by examining the incremental impact of climate change variables on heterogeneous atmospheric mercury oxidation and depositional processes. 

The goal is being realized by achieving the following objectives:

1) Quantification of the sensitivity of dry deposition of elemental mercury, reactive gaseous mercury, and particulate mercury to temperature, humidity, ozone, nitrogen oxides, and sunlight intensity
2) Investigation of the oxidation of elemental mercury in the presence of the complex atmospheric reactions that produce photochemical smog and secondary organic aerosols   
3) Quantification of the sensitivity of atmospheric mercury oxidation and reduction reactions in fog and cloud water to temperature, sunlight intensity, and the composition of these atmospheric waters
4) Investigation of the sensitivity of mercury deposition to climate change variables using a regional chemical transport model that is being evaluated using a year long data set of hourly speciated atmospheric mercury and event based wet deposition data 
 
These efforts are providing a better understanding of impact of climate change on atmospheric mercury processes, supporting the development of strategies to control mercury deposition in the present and future.  These results are also helping us to understand the broader impact of climate change.

Progress Summary:

Year 2 of the project has focused on continuing experimental development work started in Year 1, collection of experimental data, and initial interpretation of results. Such work has been progressing in the following four areas, as defined in the initial proposal:
 
1) Studies of mercury cycling to plants, soils, and other environmental surfaces at the UW-Madison Biotron controlled environment facility, using on-line mercury instruments and mercury isotope spiking studies.
2) Smog chamber studies of mercury oxidation during controlled ozone and SOA formation studies using expertise at the University of New Hampshire 
3) Laboratory studies of the chemical transformations of mercury with cloud and fog water collected using ultra-clean sampling methods along with parallel studies using artificial cloud and fog waters
4) Regional chemical transport modeling to study atmospheric mercury deposition sensitivity to temperature, precipitation, and atmospheric circulation patterns associated with climate change
 
Mercury cycling to plants, soils, and environmental surfaces
 
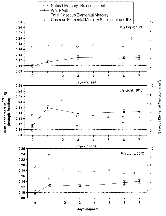
Atmospheric deposition is the primary pathway by which mercury enters aquatic environments in which bacterial methylation and subsequent accumulation in the food chain can occur. The purpose of this module is to comprehensively determine the climate sensitivity of dry atmospheric deposition velocities for gaseous elemental mercury (GEM) and reactive mercury (RM) to a range of environmental surfaces. This is being done by determining the functional dependencies of deposition on temperature, light irradiance, and relative humidity, which will be employed in the atmospheric modeling portion of the project described below. Various plants, soils, and environmental surfaces have been exposed to gaseous elemental mercury enriched in stable isotope 198 (GEM-198), in a controlled environment room at the UW-Biotron facility. Plots of two types of locally collected soil, peat, sand, concrete, asphalt, white ash trees, and white spruce trees were placed in the room alongside a water surface sampler1,2, and deposition coupons made from quartz fiber filters, some with absorbent coatings to collect RGM and GEM. GEM-198 was introduced into the room augmenting the background concentration of ~5 ng m-3 over the course of 7 days at two ambient temperatures (10oC and 30oC) under a summer light condition. The first design apparatus for GEM-198 dosing yielded large initial input of isotope into the room, which tapered off as the experiment progressed through the 7 days (Figures 2-4). This design has been revised and is in the process of being optimized to provide continuous, stable, and sufficiently large inputs of isotope into the room.
 
We have been successful in getting our experimental design to yield results. In short we are seeing significant time dependent enrichment in white ash, white spruce, grass, and at least one of the soil types. Preliminary data are presented in Figures 1-7.
 
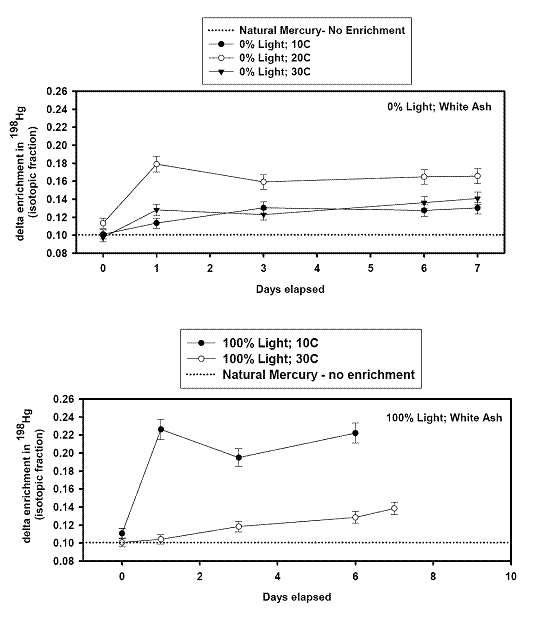
GEM mercury uptakes to white ash was observed in both the light and dark experiments at all the temperatures tested (Figures 1-3). In many of the experiments uptake initially followed the concentration spike of the GEM at the beginning of the experiment, and then settled out at some lower, but temporally constant enrichment value. This initial experiment demonstrates two things. Firstly, uptake of GEM to the white ash was relatively quick, on the order of less than 1 day. Secondly, the GEM-198 concentrations decreased to a much lower concentration than was seen in the relative enrichment of Hg isotope 198 in the leaves. This trend implied that uptake was made up of two components; a portion of mercury that was exchangeably transferred to the leaves and a portion that was non-reversibly retained. This will be further explored with experiments in which concentrations of GEM-198 will be held steady for a period of time at the start of the experiment, and then the source of GEM-198 will be removed from the room. After the source is removed from the room the experiment will continue to see if the enrichment of GEM -198 in the leaves decreases or is conserved. The initial period during which the source is placed in the room will be varied in length to see if GEM-198 retention after removal varies as a function of contact time of the plant with GEM-198. During the dark experiments, enrichment, which for the moment will be assumed to be linearly related to mass uptake, was greatest at 20oC (Figure 2), while during the light experiments we observed the greatest enrichment at 10oC (Figure 3). A similar enrichment at 30oC as was seen under dark and light conditions. We are working to understand the relationship between optimum uptake and conditions, and will verify these findings with duplicate experiments.
 
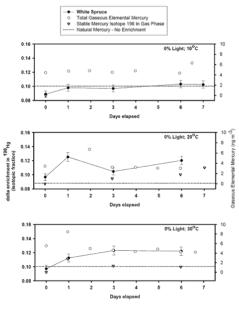
Enrichments of GEM-198 by white spruce at 0% light conditions (Figure 4) followed trends seen in the white ash data reasonably closely, implying that the enrichment trends observed in the pine needles were dictated either by analogous physiological and physicochemicial processes in the trees, or by the GEM-198 trends seen in each experiment. This demonstrates the importance of optimizing the performance of the GEM-198 source so that it can be operated reproducibly, which we are addressing.
 
GEM-198 uptakes were measured on soil collected at Arlington Agricultural Research Station (Figure 5). An enrichment in Hg stable isotope 198 was observed in the soil, although not as large of a relative uptake as observed in some of the tree leaves. Statistically significant uptakes of GEM-198 to peat (Sphagnum Moss peat) were also measured. We are currently submitting more samples from soil experiments to determine the temporal trend of GEM-198 uptake to the soil substrates. Furthermore, we are in the process of determining how much mercury mass was taken up per gram of each of the different substrates, so that the relative importance of GEM uptake to trees and soils can be assessed.
 
We measured the uptake of GEM-198 to grass (Kentucky Blue Grass; Figure 7) and observed uptakes of GEM-198 in most experiments. Uptake in the dark at 30oC exhibited similar behaviour as the white ash, and white spruce. As was the case in all but the dark 30oC white ash data, no initial peak in uptake was seen to correspond with the initially elevated concentrations in GEM-198.
 
In addition to the aforementioned work we intend to conduct to better measure and understand GEM-198 uptake, we are currently evaluating how best to parameterize the uptake of mercury by the different substrates in order to enter them into CMAQ. Lastly we will invert the data shown here to provide absolute measures of mercury flux to the different substrates to enable intercomparisons to determine which surfaces are most important to the atmospheric deposition of GEM.
 
Figure 1. Enrichments of 198 Hg stable isotope in the leaves of white ash trees as a function of light and temperature. Relative humidity was always set to 70%. Uncertainties were determined from the standard error of duplicate samples across all collected substrates (i.e., leaves, soils, etc.).

Figure 2 Enrichments of 198 Hg stable isotopes in white ash at 0% light conditions and at temperatures of 10oC, 20oC, and 30oC. Relative humidity was always set to 70%. Also pictured in figures are the total gaseous elemental mercury concentrations (measured with the Tekran 2537B), and the gaseous concentration of 198 stable isotope (GEM-198) collected on gold traps and measured using a High Resolution ICPMS. Uncertainties were determined from the standard error of duplicate samples across all collected substrates (i.e., leaves, soils, etc.). Some measurements of GEM-198 are yet to be analyzed and added to the figures below.
 
 
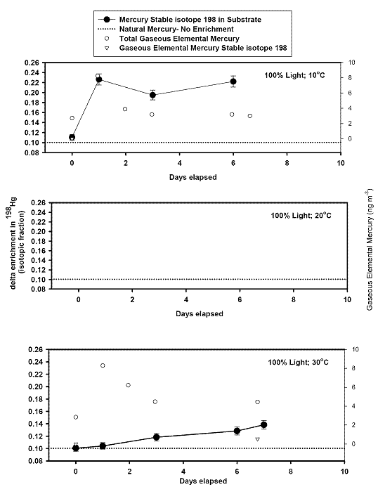
Figure 3 Enrichments of 198 Hg stable isotopes in white ash at 100% light conditions and at temperatures of 10oC, 20oC, and 30oC. Relative humidity was always set to 70%. Also pictured in figures are the total gaseous elemental mercury concentrations (measured with the Tekran 2537B), and the gaseous concentration of 198 stable isotope collected on gold traps and measured using a High Resolution ICPMS. No data is yet available for the 20oC experiment. Uncertainties were determined from the standard error of duplicate samples across all collected substrates (i.e., leaves, soils, etc.). Some measurements of GEM-198 are yet to be analyzed and added to the figures below.
 

Figure 4 Enrichments of 198 Hg stable isotopes in white spruce at 0% light conditions and at temperatures of 10oC, 20oC, and 30oC. Relative humidity was always set to 70%. Also pictured in figures are the total gaseous elemental mercury concentrations (measured with the Tekran 2537B), and the gaseous concentration of 198 stable isotope collected on gold traps and measured using a High Resolution ICPMS. Uncertainties were determined from the standard error of duplicate samples across all collected substrates (i.e., leaves, soils, etc.). Some measurements of GEM-198 are yet to be analyzed and added to the figures below.
 
Figure 5 Enrichments of 198 Hg stable isotopes in white spruce at 0% light conditions and at temperatures of 10oC, 20oC, and 30oC. Relative humidity was always set to 70%. Also pictured in figures are the total gaseous elemental mercury concentrations (measured with the Tekran 2537B), and the gaseous concentration of 198 stable isotope collected on gold traps and measured using a High Resolution ICPMS. Uncertainties were determined from the standard error of duplicate samples across all collected substrates (i.e., leaves, soils, etc.).
Figure 6 Enrichments of 198 Hg stable isotopes in peat at 100% light conditions and at 30oC. Relative humidity was always set to 70%. Also pictured in figures are the total gaseous elemental mercury concentrations (measured with the Tekran 2537B), and the gaseous concentration of 198 stable isotope collected on gold traps and measured using a High Resolution ICPMS. Uncertainties were determined from the standard error of duplicate samples across all collected substrates (i.e., leaves, soils, etc.).
Figure 7 Enrichments of 198 Hg stable isotopes in grass at 0% light conditions and 30oC. Relative humidity was always set to 70%. Also pictured in figures are the total gaseous elemental mercury concentrations (measured with the Tekran 2537B), and the gaseous concentration of 198 stable isotope collected on gold traps and measured using a High Resolution ICPMS. Uncertainties were determined from the standard error of duplicate samples across all collected substrates (i.e., leaves, soils, etc.).
 
 
Smog chamber photo-oxidation of GEM in the presence of photochemical smog and secondary organic aerosols
 
GEM is most effectively transferred from the atmosphere to aquatic ecosystems by wet and dry deposition after oxidation to reactive mercury. The oxidation of GEM by oxidants such as ozone, OH, and various halogen species have previously only been studied in homogeneous reactions systems3-15, which do not effectively represent the heterogeneous aerosol reaction systems that are present in the environment. This module aims to evaluate heterogeneous reaction rates of GEM of a range of oxidation reactions. This is being achieved by observing the effect of a complex smog reaction system that leads to the formation of secondary organic aerosol on reaction rate kinetics for oxidants such as ozone, OH, Cl and Br. The effect of the updated reaction kinetics data on dry and wet deposition rates will be studied in the climate sensitivity modeling portion of the project described below. During the summer of 2008, we conducted 6 weeks of experiments in the smog chamber at the University of New Hampshire. GEM-198 was added to ongoing oxidations of propene, alpha-pinene, isoprene, and toluene, and 2-butanol (OH scavenger) in the dark and under ultraviolet (350BL) fluorescent lamps. Concentrations of GEM were monitored real-time using a Tekran 2537A GEM analyzer, and GEM oxidized to reactive mercury (RM) was collected on specially prepared filter substrates16 as described above in the dry deposition experiments.
 
Initial experiments in the smog chamber were performed to evaluate wall losses of GEM to the walls, which were determined to be less than 1% during the first 4 hours of the experiments at starting concentrations between 70 and 100 ng m-3 (Figure 8). These losses were then compared to losses measured for GEM when ozone (nominally 250 ppb) was added at the start of the experiment. The oxidative losses of GEM upon reaction with ozone were much larger than the losses to the walls, and could be approximated with a pseudo first order reaction rate model. In such a model, which has been applied by previous authors6, 9, the gradient of a ln[GEM] vs t plot is equal to the rate coefficient multiplied by the ozone concentration, which is held constant during these initial reactions (Figure 9). The rate coefficient calculated using the measurements made during this study was -4 x 10-19 cm3 molec-1 s-1, which compared well with previously published measurements (Table 1) giving us confidence that the reaction coefficient measurements made with the smog chamber were in the previously observed range of values. The oxidation of GEM in the dark was much faster than wall losses allowing an initial determination of the GEM + ozone reaction rate coefficient. We have assumed the system to be bi-molecular, but that it acted as a pseudo first order system due to ozone remaining constant so that our data could be compared with previous publications6, 9 (Figure 9; Table 1). Our preliminary rate estimates agree very well with Pal and Ariya, 2004, but are higher than that reported by Hall et al., 1995. We think that we have successfully demonstrated that our experimental method refers well to previously conducted experiments providing a reference point to GEM oxidation experiments conducted in SOA systems, which are presented in Figures 10 and 11. We tested the validity of using only an oxidation of GEM by ozone in the atmospheric mercury chemical transport models by performing oxidation experiments of GEM with ozone and SOA precursors (Figure 10). This was done to determine what effect the presence of reactive organic oxidants, and surfaces with dicarboxylic acid groups would have in the presence of UV17. The decrease in losses of elemental mercury to oxidation by ozone and secondary OH implied that a competing reductive reaction on the surfaces of the SOA particles involving dicarboxylic acid groups could be occurring. Another explanation was that some reaction mechanism was inhibiting the oxidation of GEM by ozone and secondary OH from occurring. This unknown process accounted for between approximately 50 to 100% of the GEM conversion observed in the GEM + ozone experiments. Losses of GEM in the SOA system with and OH scavenger present demonstrated some differences between the ozone only and ozone + secondary OH oxidations of GEM. However, numerical modeling and the inclusion of more experimental data from the completed experiments will be necessary to be able to robustly rationalize those differences, as none is obvious at present.
 
Our results demonstrate very clearly that net oxidation rates of GEM in SOA systems, with and without an OH scavenger (2-butanol), are significantly slower than those measured for the simple GEM + ozone bimolecular system. We are currently beginning a numerical modeling project to understand the reaction chemistry occurring in these experiments, in order to determine robust, mechanistically based reaction rate coefficients. The implications of these results are considerable. While the fundamental reaction work performed by previous authors6,9 is hugely valuable in understanding complex heterogeneous atmospheric oxidations of GEM, our data complements these publications by providing a significant step forward in our ability to accurately model atmospheric conversion of GEM to the depositable, reactive mercury species. As current Chemistry Transport Models (i.e. CMAQ18) rely upon only the GEM + ozone reaction to estimate photochemical production of reactive mercury, these models would cause a significant overprediction of reactive mercury concentrations in the atmosphere. This has indeed been seen to be the case in the CMAQ verification study performed in Part 4 of this project. This means that the current paradigm for predicting GEM oxidation in the atmosphere is overemphasizing the importance of reactive mercury production from the background GEM pool, and thereby underestimating the importance of local point source impacts19,20. This behaviour has been confirmed in the comparisons of CMAQ Hg with ambient measurements conducted in Wisconsin19. Clearly these findings could have important policy implications.
 
Figure 8. Smog chamber experiments to measure the wall losses of gaseous elemental mercury to the chamber walls, and the oxidative losses of gaseous elemental mercury under reaction with ozone in the dark.

left align">Figure 9. Analysis of the GEM + Ozone reaction system results for a pseudo first order rate coefficient that could then be turned into a second order rate coefficient and compared with literature values (Table 1).
 

Table 1. Rate coefficients for the reaction of gaseous elemental mercury and ozone. The table allows the comparison of results from this study with literature values.
 
Figure 10 Gaseous elemental mercury oxidation in a secondary organic aerosol system comprised of alpha-pinene, isoprene, toluene, propene, and ozone.
 

Figure 11 Gaseous elemental mercury oxidation in a secondary organic aerosol system comprised of alpha-pinene, isoprene, toluene, propene, OH-scavenger, and ozone.
  
Climate sensitivity of atmospheric mercury red-ox reactions in fog and cloud water surrogates.
Although mercury in wet deposition has been extensively studied21,22, the direct and indirect effects of climate change on the speciation and therefore fate of deposited mercury in a receptor are not well understood. The climate sensitivity of mercury speciation in fog and cloud water is being assessed by exposing mercury spiked rainwater and synthetic fog and cloud water to a range of temperature and light conditions in combination with chemical adjustments to represent indirect effects of climate change on fog and cloud water chemistry. Rain water and total suspended particulate matter (TSP) collections (for making synthetic fog and cloud water) have been in progress at Devil’s Lake State Park, WI for nearly 1 year. We have in hand more than 10 liters of rainwater from fall, summer, and spring collections, and TSP samples collected during summer, fall, winter and spring. Sample collections have now been completed.
 
Considerable development work has been conducted in the treatment and analysis methods for the surrogate fog and cloud water solutions. Teflon sparges were chosen as reactor vessels for the experiments, in which surrogate cloud water solutions were exposed to a range of temperature and light conditions in a UW Biotron controlled environment room. Sample solutions were spiked with GEM vapor, reactive mercury (Hg(NO3)2), to facilitate observations in the change of chemical speciation, and chemical adjustments are made to mimic indirect effects of climate change, such as the incremental decreases in pH as a result of increases in coal-fired power generation. EPA Method 1631 revision E was modified to allow the pre and post experimental analysis of the samples: GEM and RM concentrations were differentiated by the addition of an initial sparge step to extract GEM from the sample solution before the addition of bromine monochloride (BrCl), overnight heating, and analysis for the remaining reactive mercury by a standard EPA 1631E protocol.
 
Experiments conducted in the laboratory have shown 1ng of dissolved elemental mercury oxidations to occur on the order of 1 day or less. However, there have been some difficulties with reliably introducing dissolved elemental mercury into the sparges and subsequent mass balancing of the reactor vessel with respect to mercury. Work will continue on developing the analytical side of this experiment in the coming year.
 
Modeling Analysis of Mercury in the Great Lakes Region
EPA STAR Grant #R833375
 
In this second year of the project, we have completed significant modeling and analysis of mercury transport and chemistry in our study region. As noted in the proposal, we are employing the regional Community Multi-scale Air Quality (CMAQ) model with the mercury atmospheric chemistry and deposition module. In addition, we have simulated high-resolution (12 km x 12 km) meteorology for 2003 using the Weather Research and Forecasting (WRF) model. 
 
As noted in our Year 1 report, we have run simulations in CMAQ with 36 km x 36 km resolution over the continental U.S. and 12 km x 12 km resolution over the Upper Midwestern U.S. We are not proceeding with the very-high resolution experiments (4 km x 4 km) due to obvious errors in CMAQ, discussed below, and the associated demands of model development and evaluation. Furthermore, our work to date suggests little improvement in model performance moving from 36 km x 36 km to 12 km x 12 km, so the omission of the higher resolution runs is not viewed as a significant study sacrifice. This set-up has allowed us to quantify the impact of boundary conditions characteristic of mercury inflow to the United States.
 
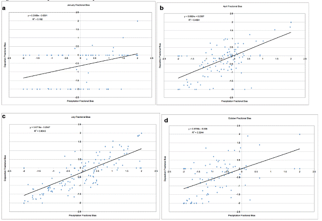
Figure 12: Monthly total deposition at 36 km horizontal resolution for a) January, b) April, c) May and d) October.
 
 
 
 
 
 
 
 
 
 
 
 
 
 
 
 
 
 
 
 
 
 
 
 
 
 
 
 
 
Emissions were employed from the recently released 2002 National Emissions Inventory (EPA). These emissions were processed using SMOKE v. 2.4, which allocated the emissions to our grid, and adapted emissions to the specific weather conditions of the 2003 study year (especially relevant for biogenic emissions and temperature-dependent vehicle emissions).
 
The Weather Research and Forecasting (WRF) model was used to generate the input meteorological datasets, constrained to observed weather patterns by “nudging” the model to the assimilated 40 km x 40 km data from the National Center for Environmental Prediction (NCEP) North American Regional Reanalysis (NARR) data. These custom WRF datasets were compared with ground-based observations of precipitation and temperature, as well as the spatially continuous NARR data. Our progress in meeting the goals of this modeling study are discussed in the following paragraphs.
 
We have completed our goal of evaluating the performance of the current-generation mercury mechanism in CMAQ, based on a unique data set of hourly atmospheric mercury measurements of GEM, RGM and PHg that were co-located with event based mercury wet deposition measurements collected at the Devil’s Lake, Wisconsin mercury TMDL site (available for 2003). We have also compared with mercury concentration measurements collected in Milwaukee, Wisconsin (for 2004), and with available data on mercury wet deposition from across the Upper Midwestern U.S. This has been the first study in which model results have been evaluated in comparison to atmospheric concentrations over extended time periods. The technical results of these comparisons are currently being drafted into two manuscripts, one for submission to Journal of Geophysical Research—Atmospheres, and the other for submission to Environmental Science & Technology.  Our results begin to decouple the mechanisms contributing to atmospheric chemistry and transport from those specifying wet deposition (the traditional data set to which models have historically been compared). Findings to date include:
 
•         The model agrees reasonably well with measurements of total mercury wet deposition. However, CMAQ estimates of wet deposition are about 35% lower than observed over the Great Lakes region, and 20% lower than observed over the continental U.S. In CMAQ, nearly 100% of wet deposition over the U.S. occurs in the form of RGM and PHg. Errors in WRF-calculated precipitation explain ~30% of the calculated bias. Thus, the remaining low bias suggests that reactive mercury species in the model are too low across the U.S. and/or that dry deposition is too rapid and/or that wet removal is too rapid (see Figures 12, above, and 13, below).
 
•         When compared with ambient, speciated mercury measurements, CMAQ overestimated RGM by a factor of 10 and PHg by a factor of 4 at the rural site (Devil’s Lake State Park, WI). At the urban site (Milwaukee, WI), CMAQ overestimated RGM by a factor of 7 and PHg by a factor of 2.5 (Figure 14). At the rural site, GEM was well captured with no significant bias, whereas GEM in the urban site is under-predicted by about 30%.
 
•         Simulations were run to isolate the contributions of regional emissions versus boundary inflow. Surprisingly, all mercury species at the rural site were dominated by boundary inflow (~100% of GEM, and 80% of RGM and PHg in July were due to boundary inflow alone). At the urban site, boundary inflow contributes ~90% of GEM and about 50% of ambient RGM and PHg. Taking the high contribution of boundary inflow together with the overestimate of reactive species at the rural and urban sites, we conclude that oxidation of elemental mercury in CMAQ is too high. Taking the under-prediction of GEM at the urban site, together with the good performance of GEM at the rural site, and the dominance of background inflow at both sites, suggests that urban emissions of GEM are too low.
 
•         Taking the under-prediction of wet deposition in CMAQ together with the over-prediction of ambient reactive mercury species suggest that dry deposition and/or wet deposition removal rates are too high.
 
Figure 13: Monthly average fractional bias for precipitation and wet deposition at each MDN site using CMAQ output and MDN reported data over the Great Lakes Region.
 

Figure 14: Reactive mercury (gas + particle) at the rural site, Devil’s Lake, WI, for April 2003. Black line represents observed ambient concentrations; Green line represents modeled ambient concentrations; Red line represents modeled concentrations with no boundary inflow (only local emissions); Blue line represents modeled concentrations with no local emissions (only boundary inflow).
 

 
We have just begun to evaluate the sensitivity of model results to parameterizations of key chemical processes, which may be improved based on recent and forthcoming laboratory analyses.
 
•               Gas/Particle Partitioning - Measurements and laboratory studies suggest that wintertime low temperatures create a higher fraction of reactive mercury in PHg vs. RGM form. This seasonality is observed in observations at the rural site and the urban site, but no seasonal dependence of PHg:RGM ratio is observed in CMAQ. This suggests that including temperature dependence of partitioning would improve model performance.
•               Sorption of mercury onto aqueous aerosols - Because wet deposition is too low, yet ambient concentrations of reactive mercury are too high, aqueous chemistry appears to be a likely source of significant errors in CMAQ.
•               Dry deposition of mercury (estimated by Gbor et al.23 to contribute ~2/3 of total deposition) - Our results for the Great Lakes Region are consistent with Gbor et al.23, not surprisingly, since both studies use CMAQ. We find that dry deposition contributes 70% to total deposition. Because no measurements of dry deposition are available to validate CMAQ, the robustness of this conclusion is hard to evaluate. Next steps could include a sensitivity analysis of a range of laboratory-supported dry deposition rates.
•               Wet deposition of mercury - As noted, there are errors suggesting incorrect aqueous chemistry and/or removal rates. Next steps could include sensitivity tests and/or more detailed analysis of wet precipitation events.
•               Source-specific speciation of emissions - Due to the erroneously high production of reactive mercury species from background import, it is difficult to conclude much from our studies to date about source-specific speciation of emissions. However, model evaluation over an urban site suggests that emissions of GEM are too low, either due to incorrect speciation profiles, or incorrect absolute emission quantities.
 

Future Activities:

We will carefully consider our results to date, and design a defensible plan to evaluate the response of model processes to changes in climate variables including temperature, humidity, cloud cover, and precipitation. We are aware that, if model errors dominate concentration and deposition signals, care must be taken in assessing climate sensitivity.

References:

 

1.         Sakata, M.; Marumoto, K., A new method for evaluating dry deposition of mercury using a water surface sampler. Journal De Physique Iv 2003, 107, 1177-1180.
2.         Sakata, M.; Marumoto, K., Dry deposition fluxes and deposition velocities of trace metals in the Tokyo metropolitan area measured with a water surface sampler. Environmental Science & Technology 2004, 38, (7), 2190-2197.
3.         Ariya, P. A.; Khalizov, A.; Gidas, A., Reactions of gaseous mercury with atomic and molecular halogens: Kinetics, product studies, and atmospheric implications. Journal of Physical Chemistry A 2002, 106, (32), 7310-7320.
4.         Ariya, P. A.; Ryzhkov, A., Atmospheric transoformation of elemental mercury upon reactions with halogens. Journal De Physique Iv 2003, 107, 57-59.
5.         Calvert, J. G.; Lindberg, S. E., Mechanisms of mercury removal by O-3 and OH in the atmosphere. Atmospheric Environment 2005, 39, (18), 3355-3367.
6.         Hall, B., The gas-phase oxidation of elemental mercury by ozone. Water Air and Soil Pollution 1995, 80, (1-4), 301-315.
7.         Hall, B.; Schager, P.; Ljungstrom, E., An experimental-study on the rate of reaction between mercury-vapor and gaseous nitrogen-dioxide. Water Air and Soil Pollution 1995, 81, (1-2), 121-134.
8.         Pal, B.; Ariya, P. A., Gas-phase HO center dot-Initiated reactions of elemental mercury: Kinetics, product studies, and atmospheric implications. Environmental Science & Technology 2004, 38, (21), 5555-5566.
9.         Pal, B.; Ariya, P. A., Studies of ozone initiated reactions of gaseous mercury: kinetics, product studies, and atmospheric implications. Physical Chemistry Chemical Physics 2004, 6, (3), 572-579.
10.       P'yankov, V. A., O kinetike reaktsii parov rtuti s ozonom (Kinetics of the reaction of mercury vapour with ozone). Zhurmal Obscej Chemii Akatemijaneuk SSSR 1949., 19, pp. 224–229.
11.       Raofie, F.; Ariya, P. A., Kinetics and products study of the reaction of BrO radicals with gaseous mercury. Journal De Physique Iv 2003, 107, 1119-1121.
12.       Raofie, F.; Ariya, P. A., Product study of the gas-phase BrO-initiated oxidation of Hg-0: evidence for stable Hg1+ compounds. Environmental Science & Technology 2004, 38, (16), 4319-4326.
13.       Sommar, J.; Hallquist, M.; Ljungstrom, E., Rate of reaction between the nitrate radical and dimethyl mercury in the gas phase. Chemical Physics Letters 1996, 257, (5-6), 434-438.
14.       Sommar, J.; Hallquist, M.; Ljungstrom, E.; Lindqvist, O., On the gas phase reactions between volatile biogenic mercury species and the nitrate radical. Journal of Atmospheric Chemistry 1997, 27, (3), 233-247.
15.       Tokos, J. J. S.; Hall, B.; Calhoun, J. A.; Prestbo, E. M., Homogeneous gas-phase reaction of Hg-0 with H2O2, O-3, CH3I, and (CH3)(2)S: Implications for atmospheric Hg cycling. Atmospheric Environment 1998, 32, (5), 823-827.
16.       Rutter, A. P.; Hanford, K. L.; Zwers, J. T.; Perillo-Nicholas, A. L.; Schauer, J. J.; Worley, C. A.; Olson, M. L.; DeWild, J. F., Evaluation of an Off-line Method for the Analysis OF Atmospheric Reactive Gaseous Mercury and Particulate Mercury. In Press by the Journal of Air and Waste Management Association 2007.
17.       Si, L.; Ariya, P. A., Reduction of oxidized mercury species by dicarboxylic acids (C-2-C-4): Kinetic and product studies. Environmental Science & Technology 2008, 42, (14), 5150-5155.
18.       Bullock, O. R.; Brehme, K. A., Atmospheric mercury simulation using the CMAQ model: formulation description and analysis of wet deposition results. Atmospheric Environment 2002, 36, (13), 2135-2146.
19.       Rutter, A. P.; Schauer, J. J.; Lough, G. C.; Snyder, D. C.; Kolb, C. J.; Von Klooster, S.; Rudolf, T.; Manolopoulos, H.; Olson, M. L., A comparison of speciated atmospheric mercury at an urban center and an upwind rural location. Journal of Environmental Monitoring 2008, 10, (1), 102-108.
20.       Rutter, A. P.; Snyder, D. C.; Stone, E. A.; Schauer, J. J.; Gonzalez-Abraham, R.; Molina, L. T.; Márquez, C.; Cárdenas, B.; de Foy, B., In situ measurements of speciated atmospheric mercury and the identification of source regions in the Mexico City Metropolitan Area. Atmos. Chem. Phys. 2009, 9, 207-220.
21.       Lin, C. J.; Pehkonen, S. O., The chemistry of atmospheric mercury: a review. Atmospheric Environment 1999, 33, (13), 2067-2079.
22.       Lin, C.-J.; Pongprueksa, P.; Lindberg, S. E.; Pehkonen, S. O.; Byun, D.; Jang, C., Scientific uncertainties in atmospheric mercury models I: Model science evaluation. Atmospheric Environment 2006, 40, (16), 2911-2928.
23.       Gbor, P. K.; Wen, D. Y.; Meng, F.; Yang, F. Q.; Sloan, J. J., Modeling of mercury emission, transport and deposition in North America. Atmospheric Environment 2007, 41, (6), 1135-1149.

Journal Articles:

No journal articles submitted with this report: View all 4 publications for this project

Supplemental Keywords:

RFA, Air, climate change, mercury deposition

Progress and Final Reports:

Original Abstract
  • 2007 Progress Report
  • 2009 Progress Report
  • Final Report
  • Top of Page

    The perspectives, information and conclusions conveyed in research project abstracts, progress reports, final reports, journal abstracts and journal publications convey the viewpoints of the principal investigator and may not represent the views and policies of ORD and EPA. Conclusions drawn by the principal investigators have not been reviewed by the Agency.

    Project Research Results

    • Final Report
    • 2009 Progress Report
    • 2007 Progress Report
    • Original Abstract
    4 publications for this project
    4 journal articles for this project

    Site Navigation

    • Grantee Research Project Results Home
    • Grantee Research Project Results Basic Search
    • Grantee Research Project Results Advanced Search
    • Grantee Research Project Results Fielded Search
    • Publication search
    • EPA Regional Search

    Related Information

    • Search Help
    • About our data collection
    • Research Grants
    • P3: Student Design Competition
    • Research Fellowships
    • Small Business Innovation Research (SBIR)
    Contact Us to ask a question, provide feedback, or report a problem.
    Last updated April 28, 2023
    United States Environmental Protection Agency

    Discover.

    • Accessibility
    • Budget & Performance
    • Contracting
    • EPA www Web Snapshot
    • Grants
    • No FEAR Act Data
    • Plain Writing
    • Privacy
    • Privacy and Security Notice

    Connect.

    • Data.gov
    • Inspector General
    • Jobs
    • Newsroom
    • Open Government
    • Regulations.gov
    • Subscribe
    • USA.gov
    • White House

    Ask.

    • Contact EPA
    • EPA Disclaimers
    • Hotlines
    • FOIA Requests
    • Frequent Questions

    Follow.