Skip to main content
U.S. flag

An official website of the United States government

Here’s how you know

Dot gov

Official websites use .gov
A .gov website belongs to an official government organization in the United States.

HTTPS

Secure .gov websites use HTTPS
A lock (LockA locked padlock) or https:// means you have safely connected to the .gov website. Share sensitive information only on official, secure websites.

  • Environmental Topics
  • Laws & Regulations
  • Report a Violation
  • About EPA
Contact Us

Grantee Research Project Results

2003 Progress Report: Models and Measurements for Investigating Atmospheric Transport and Photochemistry of Hg

EPA Grant Number: R829799
Title: Models and Measurements for Investigating Atmospheric Transport and Photochemistry of Hg
Investigators: Keeler, Gerald J. , Sillman, Sanford
Institution: University of Michigan
EPA Project Officer: Chung, Serena
Project Period: November 1, 2002 through October 31, 2005 (Extended to October 31, 2006)
Project Period Covered by this Report: November 1, 2002 through October 31, 2003
Project Amount: $899,597
RFA: Mercury: Transport, Transportation, and Fate in the Atmosphere (2001) RFA Text |  Recipients Lists
Research Category: Heavy Metal Contamination of Soil/Water , Air Quality and Air Toxics , Air , Safer Chemicals

Objective:

The objective of the research project is to develop a 3-dimensional Eulerian model for transport and photochemistry of mercury (Hg), including fully integrated gas-phase, aqueous, and aerosol chemistry. An important goal is to develop detailed comparisons between model results and measurements from two field campaigns: a field campaign in south Florida involving aircraft measurements of Hg and an ongoing campaign being performed in the Great Lakes region.

In addition, we will use model results to investigate several research questions related to Hg: the impact of local emissions relative to transport from distant sources, the impact of photochemical processes, and the relative importance of cloud chemistry on the transformation, transport, and deposition of Hg. A major objective will be to identify measurements that might provide evidence relevant to these issues.

Progress Summary:

Accomplishments during Year 1 of the project included: (1) implementation of a combined numerical solution for gas-phase and aqueous-phase chemistry, including gas-aqueous interactions on short (<1 second) time scales, in the Community Model for Air Quality (CMAQ); (2) addition of aqueous reactions for sulfates, nitrates, ozone, hydrogen peroxide, OH and related radicals, chlorine, and Hg, along with reactions from a relatively complete mechanism for gas-phase chemistry; (3) development of an emission inventory for Hg in south Florida and integration into CMAQ; and (4) development of a preliminary test case simulation for atmospheric Hg in south Florida.

In the standard formulation, CMAQ includes separate calculations for gas-phase and aqueous reactions. The gas-phase component of CMAQ includes numerically accurate solution procedures that are able to easily accommodate new reactions or a change to a different reaction mechanism. The aqueous-phase component includes sulfate and nitrate chemistry, and derives a solution for a limited set of reactions and equilibria. The calculation allows for interactions between aqueous and gas-phase chemistry only on time scales equal to or greater than the standard model time step interval (1 hour).

As part of the project, a modified version of CMAQ has been developed that includes a numerical solution for combined aqueous and gas-phase chemistry. This combined solution accounts for the rapid exchange between gas-phase and aqueous-phase that takes place within clouds and has been tested in an intercomparison of solutions for gas- and aqueous-phase chemistry (Barth, et al., 2003).

Implementation of Solver With Combined Gas/Aqueous Chemistry in CMAQ

CMAQ contains modules for calculating changes due to both gas-phase and aqueous-phase chemistry, but the gas-phase and aqueous-phase calculations are separate and do not include interactions between gas-phase and aqueous-phase chemistry. In practice, gas-phase and aqueous-phase chemistry inside clouds are closely linked, as most species rapidly reach equilibrium between gas-phase and aqueous-phase concentrations. The aqueous reactions affect gas-phase concentrations of most important atmospheric species, including the OH radical that controls the rate of chemical processing of most air pollutants.

CMAQ includes sophisticated numerical solutions for gas-phase chemistry, but aqueous chemistry is represented by a simplified solution for sulfates only. It is possible to expand the aqueous solution to include reactive mercury based on aqueous equilibria among various species. Such a solution would be useful for fast calculations, especially in a policy context, but it should be validated by comparison to a more complete representation of chemistry.

For this project, we have implemented a more complete solution that includes both gas-phase and aqueous reactions and interactions between the aqueous and gas-phase. Methods have been described in Sillman (1991) and Barth, et al. (2003). The solution procedure has been tested in intercomparisons of model chemistry modules for both gas-phase (Olson, et al., 1997) and combined gas- and aqueous-phase chemistry (Barth, et al., 2003).

Implementation has included the following:

  • A relatively complete representation of gas-phase tropospheric chemistry, including gas-phase chlorine reactions from Sander, et al., 2003 (the definitive reference for tropospheric reaction rate constants).
  • Aqueous-phase reactions involving sulfate, nitrate, chlorine, OH and related radicals, ozone, hydrogen peroxide, and soluble organics, using representations from Jacob et al. (1986), Pandis and Seinfeld (1989), Lelieveld, et al. (1990), Graedel and Keene (1995), and Liu, et al. (1997).
  • Aqueous-phase reactions of both elemental and reactive mercury (Hg0, Hg2+), including reactions and updated rate constants from Lin and Pehkonen (1999), Sommar, et al. (2001), Van Loon, et al. (2000), Gardfeldt, et al. (2001), Lindberg, et al. (2002), and Khalizov, et al. (2003). We also have included updates recommended by the recent modeling protocol for mercury (Vijayaraghavan, et al., 2004).
  • An improved parameterization for the impact of clouds on photolysis rates, including in-cloud photolysis (described in Feng, et al., 2004). The parameterization is based on the Tropospheric Ultraviolet-Visible Model (TUV) (Madronich, et al., 2002), which also was used in CMAQ. The parameterization replaces a more approximate representation of the impact of clouds on photolysis rates.
  • Changes to the internal structure of CMAQ subroutines to allow for an integrated solution to gas-phase and aqueous-phase chemistry. The gas-phase subroutine (CHEM.F) has been removed. The subroutine for cloud dynamics and chemistry (RADMCLD.F) has been modified to invoke the algorithm for combined gas-phase and aqueous-phase chemistry at appropriate time intervals. All necessary inputs (including cloud liquid water content, rainfall rates and optical depths) are imported into this subroutine. Species concentrations and wet deposition are exported.

The Mesoscale Meteorological Model (MM5)

The meteorological model being used to drive the Sparse Matrix Operator Kernel Emission (SMOKE) and the modified CMAQ is the Fifth Generation Pennsylvania State University/National Center for Atmospheric Research (NCAR) Mesoscale Model (MM5) version 3.6. The MM5 version 3 output is accepted by our model built on the newer CMAQ release. The meteorological data used to initialize the model and generate boundary conditions is National Center for Environmental Predictions’ (NCEP) Global Analyses on 1x1 degree grids covering the entire globe every six hours (http://dss.ucar.edu/datasets/ds083.2/ Exit ) and the GEWEX Continental-Scale International Project, NCEP’s Eta model output (40 km) covering North America every 3 hours (http://dss.ucar.edu/datasets/ds609.2/ Exit ). The major steps to run a MM5 simulation include: (1) setting the model domain, such as the center of the domain, projection, grid size, the number of grids in each direction, and nesting if any; (2) generating initial and boundary conditions employing, for example, archived meteorological analysis files; and (3) running MM5 using surface and upper-air observations as a means of Four Dimensional Data Analysis (FDDA). The MM5 runs are performed on the PC with Linux Red Hat 9.1.

The Meteorology-Chemistry Interface Processor (MCIP2)

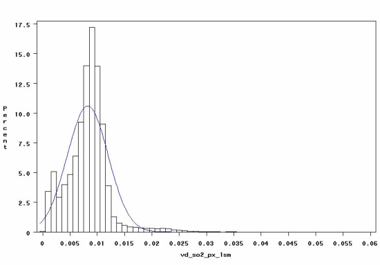
The new MCIP2 has two options for computing the deposition velocities. The first is the Regional Acid Deposition Model (RADM) (Wesely) dry deposition routine and the second is Models-3 (Pleim) dry deposition routine. A three-nested MM5 simulation was performed to investigate the difference between the two methods. The MM5 run included three nests with a 60x60 grid with a 108-km resolution, a 52x52 grid with a 36-km resolution, and a 46x46 grid with a 12-km resolution that included South Florida. Two identical MM5 runs were performed with some changes to the surface and soil parameters to generate the necessary output for running MCIP2 in two ways. The MM5 run that is used to run MCIP2 RADM (Wesely) dry deposition routine for generating dry deposition velocities uses the Pleim-Xiu Land-Surface Model and the Pleim-Xiu planetary boundary layer scheme. The other MM5 run that is used to run MCIP2 Models-3 (Pleim) dry deposition routine for generating dry deposition velocities uses the Five-Layer Soil model and the medium-range forecast planetary boundary layer scheme. Sixty hours from the third grid (12 km) was used to generate dry deposition velocities using MCIP2 using the two options. This was performed for O3, HNO3 and SO2 to examine the difference between the two methods. The hourly value for the Mean Absolute Normalized Gross Error (MANGE) for the deposition velocities was calculated for each of the three chemical species. Figure 1 represents the MANGE for the three species using the 60 hours. Figures 2 and 3 represent a histogram for SO2 calculated using SAS for the dry deposition velocity all over the MM5 domain for 60 hours (June 10 00z - June 12 12z, 2000) without and with the PX-LSM scheme. The blue line represents the normal distribution. The quantile from the two cases are displayed on Figure 4. The quantile plot shows that there is a difference between the two methods and that further investigation may be required. The calculation included the entire 12-km grid, which is partially covered by the Atlantic Ocean and Gulf of Mexico.

Figure 1. The Hourly Value for the Mean Absolute Normalized Gross Error (MANGE) for the Deposition Velocities was Calculated for Each of the Three Chemical Species.

    Figure 1. The Hourly Value for the Mean Absolute Normalized Gross Error (MANGE) for the Deposition Velocities was Calculated for Each of the Three Chemical Species. Figure 2 represents the MANGE for the three species using the 60 hours.

Figure 2. Histogram for SO(2) Calculated Using SAS for the Dry Deposition Velocity All Over the MM5 Domain for 60 Hours (June 10 00z- June 12 12z, 2000) Without the PX-LSM Scheme.

    Figure 2. Histogram for SO2 Calculated Using SAS for the Dry Deposition Velocity All Over the MM5 Domain for 60 Hours (June 10 00z- June 12 12z, 2000) Without the PX-LSM Scheme. The blue line represents the normal distribution.

Development of Emission Inventories

Older Mercury Emissions From Anthropogenic Sources (1996). Hg emissions are not included in the inventory provided with Models3/CMAQ. Thus, Hg emissions from anthropogenic sources were obtained from the U.S. Environmental Protection Agency’s (EPA) study (EPA, 1996). The database is the same as that used for the RELMAP (Bullock, et al., 1997) mercury modeling simulations performed for, and discussed in, the EPA Mercury Study Report to Congress (EPA, 1996). The emissions database includes both area and point-source emissions, with percentage of Hg(0), Hg(II), and Hg(p) in the total Hg emission for each source and stack height for some point sources.

The Hg point and area sources are processed separately and assigned to each grid of the CMAQ modeling domain. For each Hg point source, its latitude and longitude are used to assign the emissions to the nearest CMAQ grid. The effective stack heights of point sources were estimations due to lack of stack parameters. The area sources for Hg are per county as given, so areas of each county are first derived using Arc/Info, then used to assign the area source emission over the CMAQ grid.

Figure 3. Similar to Figure 2, But With the PX-LSM Scheme.

Figure 3. Similar to Figure 2, But With the PX-LSM Scheme

New Mercury Emissions From Anthropogenic Sources (1999). The mercury emissions can be obtained and processed in two ways.

The first is from the EPA’s Hazardous Air Pollutants (HAP) Inventory Final 1999 NEI Version 3. The emissions files are in Microsoft Access format and are placed in four different directories. The first directory has point source state data files, the second directory has nonpoint source state data files, the third directory has nonroad mobile source state data files, and finally the fourth directory has nonroad mobile source state data files. The individual state files can be read using Microsoft Access or can be imported to SAS and then formatted to be read by SMOKE successfully.

The second way to obtain the mercury emissions, which is more practical, is to obtain four files that contain data in ASCII format (text). The four files have data for the nonroad, onroad, point, and nonpoint sources. The files can be found under EPA’s anonymous ftp site under /EmisInventory/nei99model. This method is by far the simpler because each of the four files covers all the United States and because the data is in ASCII form.

Figure 4. Plot of Quantile Values for the Without PX-LSM (x) Versus With the PX-LSM (y).

Figure 4. Plot of Quantile Values for the Without PX-LSM (x) Versus With the PX-LSM (y)

The mercury emissions are extracted and processed from EPA’s 1999 HAP version 3. The inventory includes area, point, onroad, and nonroad mobile sources. The following mercury species are available for the different source types. The inventory has no mercury species for the onroad and nonroad mobile sources. Mercury is present in the nonpoint (area sources) and the point sources. Table 1 shows the available mercury species for the area and point sources (marked with an x).

Table 1. Mercury Species in the Emissions Inventory for the Area and Point Sources

Pollutant Code

Pollutant Name

Area Sources

Point Sources

201

Gaseous Divalent Mercury

 

x

200

Elemental Gaseous Mercury

 

x

7487947

Mercuric Chloride

 

x

7439976

Mercury

x

x

199

Mercury & Compounds

x

x

22967926

Mercury (Organic)

 

 

62384

Mercury Acetato Phen

 

 

593748

Methyl Mercury

 

 

202

Particulate Divalent Mercury

 

x

Criteria Pollutants. As for the criteria pollutants, we have tested the 1996 inventory in Inventory Data Analyzer (IDA) format accepted by SMOKE. We now are incorporating the 1999 National Emission Inventory (NEI), versions 2 and 3 in IDA format, which can be found at (ftp://ftp.epa.gov/EmisInventory/99neiv3_ida/). Version 3 is different from version 2 because it has the area sources split into different files based on the source type. This is a feature that is useful in sensitivity runs when one seeks to change a specific area source.

SMOKE version 2.0 was installed on a PC with Red Hat Linux release 9 and with the Portland Group F90 compiler. First, the Environmental Decision Support System/Package for Analysis and Visualization for Environmental (EDSS/PAVE) package was installed. This included the setup of the EDSS root installation and then the framework. The next step was the installation of SMOKE. There are six scripts to execute to generate emissions for CMAQ. The six scripts process the following steps: (1) create the area sources, (2) create the biogenic sources, (3) create the nonroad mobile sources, (4) create the point sources, (5) create the onroad mobile sources, and (6) merge all the above.

PAVE was used to examine the emissions generated by SMOKE by plotting the data. PAVE was also used to display the CMAQ output.

Preliminary Case Study for Florida

A preliminary case study has been executed for a 3-day event in south Florida, corresponding to a period with atmospheric measurements (June 10-12, 2000). This study used an older version of CMAQ. The inventory for Hg emissions in south Florida (described above) was incorporated directly into CMAQ, bypassing the SMOKE emissions processor. This study will subsequently be repeated using the most recent version of CMAQ (2003), which includes both mercury and chlorine emissions as part of SMOKE.

Results from the preliminary exercise show typical behavior for the standard non-mercury pollutants: ozone, reactive nitrogen, and sulfate. Ozone varies between 40 and 70 ppb and closely correlates with total reactive nitrogen (NOy). Atmospheric sulfur shows a loose correlation with NOy (Figure 5a), suggesting that atmospheric sulfur and nitrogen have significantly different sources.

In the preliminary results, atmospheric Hg in south Florida is dominated by the model background, with just a few “hot spots” showing significant Hg from local sources (Figure 5b). This local Hg is not strongly correlated with either NOy or with sulfur. There was little correlation between elemental and reactive Hg (Figure 5c). The ratio between elemental and reactive Hg varied considerably. We have not determined whether this variation is a result of variation in emissions ratios or whether it is a result of processing by aqueous chemistry over part of the model domain. Because the event included intermittent clouds and rain, some parts of the model grid were subject to processing through aqueous chemistry. Reactive Hg consisted primarily of aqueous Hg(OH)2 (=Hg2+), HgO, and HgCl2. These species were strongly correlated with each other (Figure 5d).

We currently are conducting consistency tests to identify possible errors in the emissions inventory and its implementation in CMAQ.

Figure 5. Correlations Between Individual Species at 500 m, 3:00 p.m., June 12 in Preliminary South Florida CMAQ Simulation With Integrated Gas-Phase and Aqueous Chemistry.

    Figure 5. Correlations Between Individual Species at 500 m, 3:00 p.m., June 12 in Preliminary South Florida CMAQ Simulation With Integrated Gas-Phase and Aqueous Chemistry. Units are ppb, parts-per-trillion (ppt), parts per quaddrillion (ppE15), etc. The plots show summed ambient sulfur (S) vs. total reactive nitrogen (NOy), summed Hg vs. NOy, elemental Hg vs. reactive Hg, and Hg(OH)2 (including Hg2+) vs. HgO.

Future Activities:

The following activities are planned for 2004:

  • Implementation of the most recent version of CMAQ (2003), which includes emissions for Hg and Cl as part of the SMOKE inventory. The modification for combined gas-phase and aqueous chemistry will be implemented on the newer version of CMAQ.
  • Development of case studies for the Great Lakes Region, corresponding to periods of atmospheric measurements.
  • Development of an expanded case study for Florida using the more recent CMAQ and emission inventories.
  • Quality assurance tests for the implementation of Hg emissions and aqueous chemistry in the resulting simulations. Simulated ambient concentrations will be compared with off-line calculations for emission rates and dispersion, and ratios between reactive Hg species will be compared with results of offline calculations.
  • Evaluation of gas-to-particulate conversion process in CMAQ to insure proper link to the combined gas-aqueous chemistry.
  • Preliminary comparisons with measurements for Florida and the Great Lakes.

References:

Barth M, Sillman S, Hudman R, Jacobson MZ, Kim C-H, Monod A, Liang J. Summary of the cloud chemistry modeling intercomparison: photochemical box model calculation. Journal of Geophysical Research 2003;108(D7), 4214, doi:10.1029/2002JD002673.

Feng Y, Penner JE, Sillman S, Liu X. Effect of cloud overlap in photochemical models. Journal of Geophysical Research 2004:doi:10.1029/2003JD004040.

Madronich S, Flocke S, Zeng J, Petropavlovskikh I, et al. Tropospheric ultraviolet-visible model (TUV), version 4.1. Presented at the Atmospheric Chemistry Division, National Center for Atmospheric Research, Boulder, CO, January 10, 2002, available at http://www.acd.ucar.edu/TUV exit EPA.

Olson J, Prather M, Bernsten T, Carmichael G, Chatfield R, Connell P, Derwent R, Horowitz L, Jin S, Kanakidou M, Kasibhatla P, Kotamarthi R, Kuhn M, Law K, Penner J, Perliski L, Sillman S, Stordal F, Thompson A, Wild O. Results from the intergovernmental panel on climatic change photochemical model intercomparison (PhotoComp). Journal of Geophysical Research 1997;102:5979-5991.

Sander RI, Friedl RR, Golden DM, Kurylo MJ, Huie RE, Orkin VL, Moortgat GK, Ravishankara AR, Kolb CE, Molina MJ, Finlayson-Pitts BJ. Chemical kinetics and photochemical data for use in atmospheric studies, Evaluation No. 14. Presented to the NASA Jet Propulsion Laboratory, Pasadena, CA, J.P.L. Publication 02-25, 2003.

Sillman S. A numerical solution to the equations of tropospheric chemistry based on an analysis of sources and sinks of odd hydrogen. Journal of Geophysical Research 1991;96:20735-20744.

EPA (U.S. Environmental Protection Agency). Mercury study to Congress. Vol II. an inventory of anthropogenic mercury emission in the United States. Presented at the U.S. Environmental Protection Agency, Office of Air Quality Planning and Standards, Research Triangle Park, NC, 1996.

Bullock Jr. OR, Benjey WG, Keating MH. The modeling of regional-scale atmospheric mercury transport and deposition using RELMAP. pp. 323-347. In: Baker JE, ed. Atmospheric Deposition of Contaminants to the Great Lakes and Coastal Waters. Pensacola, FL: SETAC Press, 1997.

Journal Articles:

No journal articles submitted with this report: View all 2 publications for this project

Supplemental Keywords:

reactive gaseous mercury, RGM, ozone, chlorine, bromine,, RFA, Air, Scientific Discipline, Ecosystem Protection/Environmental Exposure & Risk, INTERNATIONAL COOPERATION, Waste, POLLUTANTS/TOXICS, Fate & Transport, Air Quality, Atmosphere, Environmental Chemistry, Chemistry and Materials Science, Air Pollution Effects, Atmospheric Sciences, air toxics, Chemicals, climate change, Environmental Monitoring, heavy metals, aerosol, photochemistry, atmospheric chemistry, Eulerian model, atmospheric mercury chemistry, atmospheric deposition, fate and transport, air pollutants, chemical kinetics, Hg, mercury chemistry, mercury cycling, contaminant transport models, mercury vapor, atmospheric mercury cycling, mercury emissions, modeling, atmospheric mercury

Relevant Websites:

http://www-personal.engin.umich.edu/%7Esillman/research.htm Exit

Progress and Final Reports:

Original Abstract
  • 2004 Progress Report
  • 2005 Progress Report
  • Final Report
  • Top of Page

    The perspectives, information and conclusions conveyed in research project abstracts, progress reports, final reports, journal abstracts and journal publications convey the viewpoints of the principal investigator and may not represent the views and policies of ORD and EPA. Conclusions drawn by the principal investigators have not been reviewed by the Agency.

    Project Research Results

    • Final Report
    • 2005 Progress Report
    • 2004 Progress Report
    • Original Abstract
    2 publications for this project

    Site Navigation

    • Grantee Research Project Results Home
    • Grantee Research Project Results Basic Search
    • Grantee Research Project Results Advanced Search
    • Grantee Research Project Results Fielded Search
    • Publication search
    • EPA Regional Search

    Related Information

    • Search Help
    • About our data collection
    • Research Grants
    • P3: Student Design Competition
    • Research Fellowships
    • Small Business Innovation Research (SBIR)
    Contact Us to ask a question, provide feedback, or report a problem.
    Last updated April 28, 2023
    United States Environmental Protection Agency

    Discover.

    • Accessibility
    • Budget & Performance
    • Contracting
    • EPA www Web Snapshot
    • Grants
    • No FEAR Act Data
    • Plain Writing
    • Privacy
    • Privacy and Security Notice

    Connect.

    • Data.gov
    • Inspector General
    • Jobs
    • Newsroom
    • Open Government
    • Regulations.gov
    • Subscribe
    • USA.gov
    • White House

    Ask.

    • Contact EPA
    • EPA Disclaimers
    • Hotlines
    • FOIA Requests
    • Frequent Questions

    Follow.