Skip to main content
U.S. flag

An official website of the United States government

Here’s how you know

Dot gov

Official websites use .gov
A .gov website belongs to an official government organization in the United States.

HTTPS

Secure .gov websites use HTTPS
A lock (LockA locked padlock) or https:// means you have safely connected to the .gov website. Share sensitive information only on official, secure websites.

  • Environmental Topics
  • Laws & Regulations
  • Report a Violation
  • About EPA
Contact Us

Grantee Research Project Results

2000 Progress Report: Carcinogenesis Modeling for Livers and Liver Tumors of Mice With DCA or TCA

EPA Grant Number: R828082
Title: Carcinogenesis Modeling for Livers and Liver Tumors of Mice With DCA or TCA
Investigators: Lei, Xingye Cherry
Institution: Battelle Memorial Institute
Current Institution: Pacific Northwest National Laboratory
EPA Project Officer: Hahn, Intaek
Project Period: February 1, 2000 through April 30, 2003
Project Period Covered by this Report: February 1, 2000 through April 30, 2001
Project Amount: $513,113
RFA: Mechanistic-Based Cancer Risk Assessment Methods (1999) RFA Text |  Recipients Lists
Research Category: Human Health

Objective:

The overall technical objectives of this project are to: (1) develop a prototype MATLAB tool for multipath/multistage mechanistic modeling; (2) gain a better understanding of the mechanisms of DCA/TCA-induced or -promoted tumor development in mice liver; and (3) provide insight into future experimental as well as mechanistic modeling of carcinogenic studies.

Progress Summary:

We organized most of the data from Dr. Bull's prior work and reviewed literature on modeling initiation-promotion studies and potential application of a micro-array technique to carcinogenisis modeling. As the initial steps of modeling, the two-stage clonal expansion model, modified and applied by Suresh Moolgavkar and his colleagues, was studied and implemented in MATLAB. A graphical user interface (GUI) system called LIPS has been implemented to facilitate the two-stage modeling. We now are resolving some parameter estimation issues. For this two-stage clonal expansion model, the path is as follows:

We are modeling the cases where (1) u (number of initiated cells), a (rate of division), b (rate of differentiation/death) are constant; or (2) (a-b) is exponentially decaying (i.e., Gompertz) for VC-initiated DCA- and TCA-promoted experimental data.

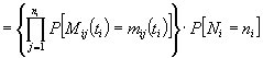
Given that Ni(ti) = the number of detectable tumors in the ith mouse liver at time ti, Mij(ti) = the size (or cell counts) of the jth detectable tumor in the ith mouse at time ti, mo = the smallest size (counts) of the detectable tumors, N = the number of animals under study, and mij, ni = the corresponding observed values of Mij and Ni, we estimate parameters u, a, b such that (likelihood function) is maximized. This probability can be written as


 ,
if each mouse is independently treated, and tumors are developed independently. The MATLAB optimization toolbox was used to implement the numerical maximization step of the parameter estimation. Work is initiated in other methods, such as Kalman filter methods, of obtaining parameter estimation in combination with solving stochastic differential equations.

Future Activities:

We plan to extend the MATLAB code to estimate cell rate parameters to multistages with different assumptions on the time dependencies of the parameters, develop the methodology and MATLAB system to simulate data sets, study the statistical properties of the estimation methods, generate solutions in MATLAB for general stochastic differential equations in combination with the parameter estimations (such as the Kalman filter method) and apply those tools to the organized data, identify the appropriate paths and stage for the DCA/TCA induced liver tumors, and propose future experiments that might provide better insight to the carcinogenesis study.

Journal Articles:

No journal articles submitted with this report: View all 3 publications for this project

Supplemental Keywords:

dichloroacetate (DCA), trichloroacetate (TCA), liver tumor, multiple path and multiple stage model, Kalman filter method, parameter estimation.,

Progress and Final Reports:

Original Abstract
  • 2001
  • 2002
  • Final Report
  • Top of Page

    The perspectives, information and conclusions conveyed in research project abstracts, progress reports, final reports, journal abstracts and journal publications convey the viewpoints of the principal investigator and may not represent the views and policies of ORD and EPA. Conclusions drawn by the principal investigators have not been reviewed by the Agency.

    Project Research Results

    • Final Report
    • 2002
    • 2001
    • Original Abstract
    3 publications for this project

    Site Navigation

    • Grantee Research Project Results Home
    • Grantee Research Project Results Basic Search
    • Grantee Research Project Results Advanced Search
    • Grantee Research Project Results Fielded Search
    • Publication search
    • EPA Regional Search

    Related Information

    • Search Help
    • About our data collection
    • Research Grants
    • P3: Student Design Competition
    • Research Fellowships
    • Small Business Innovation Research (SBIR)
    Contact Us to ask a question, provide feedback, or report a problem.
    Last updated April 28, 2023
    United States Environmental Protection Agency

    Discover.

    • Accessibility
    • Budget & Performance
    • Contracting
    • EPA www Web Snapshot
    • Grants
    • No FEAR Act Data
    • Plain Writing
    • Privacy
    • Privacy and Security Notice

    Connect.

    • Data.gov
    • Inspector General
    • Jobs
    • Newsroom
    • Open Government
    • Regulations.gov
    • Subscribe
    • USA.gov
    • White House

    Ask.

    • Contact EPA
    • EPA Disclaimers
    • Hotlines
    • FOIA Requests
    • Frequent Questions

    Follow.