Skip to main content
U.S. flag

An official website of the United States government

Here’s how you know

Dot gov

Official websites use .gov
A .gov website belongs to an official government organization in the United States.

HTTPS

Secure .gov websites use HTTPS
A lock (LockA locked padlock) or https:// means you have safely connected to the .gov website. Share sensitive information only on official, secure websites.

  • Environmental Topics
  • Laws & Regulations
  • Report a Violation
  • About EPA
Contact Us

Grantee Research Project Results

Final Report: Investigating Microbial Degradation of Polychlorinated Biphenyls Using Molecular Isotopes

EPA Grant Number: R828161
Title: Investigating Microbial Degradation of Polychlorinated Biphenyls Using Molecular Isotopes
Investigators: Reddy, Christopher M. , Eglinton, Timothy I. , Wirsen, Carl O.
Institution: Woods Hole Oceanographic Institution
EPA Project Officer: Aja, Hayley
Project Period: July 7, 2000 through September 30, 2003
Project Amount: $196,743
RFA: Exploratory Research - Engineering, Chemistry, and Physics) (1999) RFA Text |  Recipients Lists
Research Category: Water , Air , Safer Chemicals , Land and Waste Management

Objective:

There is substantial evidence that polychlorinated biphenyls (PCBs) can be reductively dechlorinated in aquatic sediments. To date, pattern comparisons, the monitoring of selective chlorine loss and novel congener formation, and parent/product mass balance considerations have all been used to tentatively validate the in situ occurrence of dechlorination and assign its associated pathways. In order to provide additional evidence for reductive dechlorination, we investigated the stable carbon and chlorine isotopic fractionation associated with this process. A method to determine the hydrogen isotopic composition of PCBs eluting from a gas chromatograph was also a goal. In addition, we sought to investigate how carbon and chlorine isotopes could be used in studying other aspects of the environmental chemistry of halogenated organic compounds (HOCs).

Summary/Accomplishments (Outputs/Outcomes):

The main thrust of this project focused on a laboratory enrichment culture that was started in the summer of 2000. A PCB-dehalogenating bacterium was acquired from Professors Harold May (Medical University of South Carolina) and Kevin Sowers (University of Maryland) and used to reductively dechlorinate 2,3,4,5-tetrachlorobiphenyl (2,3,4,5-CB). Samples from the culture were assayed for carbon and chlorine isotopic composition. Other efforts involved the development of an analytical method for measuring the hydrogen isotopic composition of PCBs and whether stable chlorine isotope effects exist for biochlorination and abiotic dechlorination reactions. We also investigated the stable carbon and chlorine isotopic composition as well as the radiocarbon content of a variety of HOCs.

Complete Details of All Technical Aspects

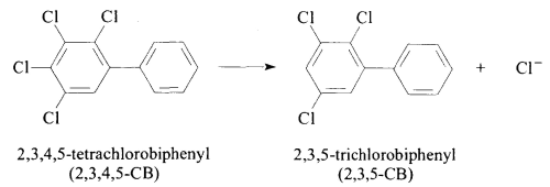
Laboratory Incubation of 2,3,4,5-CB. From our laboratory incubation study, we found that ~90 percent of 2,3,4,5-CB was degraded to 2,3,5-trichlorobiphenyl (2,3,5-CB) over a 90-day period (Figure 1) (Drenzek, et al., 2001, 2004). Over the course of the experiment, we removed samples to monitor changes in the concentration as well as the isotopic composition of the products and reactants. There was no loss of 2,3,4,5-tetrachlorobiphenyl in sterile controls. Recoveries of 2,3,5-CB and 2,3,4,5-CB in the inoculated samples and controls were always greater than 80 percent. The carbon and chlorine isotope ratios were measured for select samples. A high performance liquid chromatographic (HPLC) method was also successively developed to isolate individual PCB congeners for chlorine isotope analysis. Unfortunately, the hydrogen isotope ratios were never measured due to limited samples size (see below). The carbon and chlorine results will be discussed separately.

Figure 1. Reductive Dechlorination of 2,3,4,5-CB to 2,3,5-CB
Figure 1. Reductive Dechlorination of 2,3,4,5-CB to 2,3,5-CB

We measured the stable carbon isotopic compositions (δ13C) of 2,3,4,5-tetrachlorobiphenyl and its dechlorination product, 2,3,5-trichlorobiphenyl in ~ 40 samples. The δ13C values of unconsumed 2,3,4,5-tetrachlorobiphenyl (-27.89 ± 0.33%; n = 38) and pooled 2,3,5-trichlorobiphenyl (-27.59 ± 0.12%; n = 35) were virtually the same and constant over the course of the experiment, revealing little or no observable carbon isotopic fractionation. To test whether there was any significant difference (and hence an isotope effect) between the isotopic compositions of the unconsumed reactant and pooled product, we performed a t-test between the individual differences in δ13C values for five samples that had 48.5 to 54.2 percent conversion. These samples are approximately equivalent in terms of completion of the reaction and provide a good estimate of overall reproducibility. Also, since the concentrations of 2,3,5-CB and 2,3,4,5-CB are similar, any bias due to sample size is reduced. The average difference was 0.3%, and the δ13C values were significantly different at the 95 percent but not at the 98 percent confidence level. The exact same average difference occurs when all data are compared, implying a small systematic error rather than an isotope effect because the latter would have caused the isotopic composition of the unconsumed reactant and the pooled product to diverge as the reaction proceeded to completion. Several possible systematic errors include slightly different combustion efficiencies for a trichlorobiphenyl relative to a tetrachlorobiphenyl and/or water-induced protonation of carbon dioxide in the ion source. Nevertheless, such differences are very small and are below the uncertainty often cited (0.5%) for δ13C values of chlorinated organic compounds analyzed in laboratory and field samples. These results are consistent with other studies that have investigated carbon isotopic fractionation of other semi-volatile organic contaminants during microbial degradation (Trust, et al., 1995; O’ Malley, et al., 1994). While this appears to be unfortunate, it may be quite beneficial due to a pronounced carbon isotopic signature in commercial PCB mixtures (Aroclors). Jarman, et al. (1998) showed that in Aroclors 1242 and 1254, the δ13C values of each PCB generally increased with the amount of chlorines per biphenyl. That is, the lesser chlorinated PCBs were more enriched in 13C than the higher chlorinated PCBs. We have also observed this trend in three different lots of Aroclor 1268.

If the results of this laboratory study are similar to what occurs in aquatic sediments, then reductive dechlorination will create PCBs with δ13C values that are more depleted than native PCBs of similar chlorination (Figure 2). Such information may provide additional evidence for the occurrence of this process and aid in further understanding the environmental chemistry of these toxic and bioaccumulating compounds. These results are consistent with select samples extracted from contaminated Hudson River sediments.

Figure 2. Conceptual Plot Showing How PCBs Formed From Reductive Dechlorination Will Be Isotopically Depleted Relative to Native PCBs of Similar Chlorination
Figure 2. Conceptual Plot Showing How PCBs Formed From Reductive Dechlorination Will Be Isotopically Depleted Relative to Native PCBs of Similar Chlorination

The chlorine isotopic composition (δ37Cl) of residual 2,3,4,5-CB remained relatively constant at -0.55 ± 0.27 percent (n = 9) over the course of the incubation experiment (Figure 3). These results are analogous to an absence of a carbon isotope effect for the same reaction. 2,3,4,5-CB was the only compound isotopically monitored during this process, as the only other species involved in the isotope dynamics was the evolved Cl-, which (especially in estuarine settings) would prove impossible to independently discriminate from the much larger standing inventory of unaffiliated Cl-. There was no substantial difference in δ37Cl values of the 2,3,4,5-CB standard (-0.39%; n = 1) and control samples (-0.63 ± 0.38%; n = 2), indicating that minimal chlorine isotopic fractionation occurred during the quantitative isolation procedure. This demonstrates the effectiveness of HPLC as a tool for isolating hydrocarbons destined for compound-specific chlorine isotopic measurements from experimental matrices, analogous to results reported for the preparation of various samples for carbon and nitrogen isotopic analyses (Sachs and Repeta, 2000).

Figure 3. Chlorine Isotopic Composition of Microbial Culture and Sterile Control 2,3,4,5-CB Samples as a Function of Remaining Substrate.
Figure 3. Chlorine Isotopic Composition of Microbial Culture and Sterile Control 2,3,4,5-CB Samples as a Function of Remaining Substrate. Controls correspond to the time points at which 0 percent and 80 percent of the 2,3,4,5-CB in the cultures had been dechlorinated. The horizontal line denotes the δ37Cl value of the 2,3,4,5-CB standard (not isolated by HPLC). All δ37Cl values represent the mean of four mass spectrometric measurements (instrumental error bars are smaller than their respective symbols.)

If the maintenance of chlorine isotopic composition is symptomatic of biological reductive dechlorination reactions operating on other PCB congeners, then the depletion in bulk δ37Cl compositions of altered Aroclors extracted from highly contaminated sediments (Reddy, et al., 2000) suggests the activity of different environmental processes. This notion is further supported by invariant δ37Cl values for a suite of individual congeners measured within Aroclors themselves (Reddy, et al., 2000), as this precludes the possibility that bulk depletions are simply a result of modified internal isotopic mass balance. In other words, the bulk δ37Cl composition should be insensitive to the preferential loss, for example, of the less chlorinated (more soluble) congeners before sedimentary deposition. Rather, other factors that might produce an isotope effect, such as sequential phase partitioning or chemical destruction, are implicated. A means is thus provided to discriminate between alteration profiles produced from abiotic weathering (depleted bulk δ37Cl) and reductive dechlorination (unaffected bulk δ37Cl).

Hydrogen Isotope Ratios of Halogenated Organic Compounds. Effluent resulting from the quantitative pyrolysis of hydrocarbons can be used to measure the hydrogen isotope ratio of the compound (δD). If the organic molecule undergoing pyrolysis contains a chlorine atom, HCl is formed and may lead to hydrogen isotopic fraction. Hence, for accurate isotope ratios, HCl must be reduced. We developed an on-line method capable of reducing any HCl generated by pyrolysis for precise determination of δD values of HOCs.

We tested several different metals for two main characteristics: transmission efficiency and reduction efficiency. Transmission efficiency is defined as the metal’s ability to pass generated hydrogen with minimal adsorption. Reduction efficiency is defined as the metal’s ability to reduce HCl. An ideal catalyst would posses both high transmission efficiency and high reduction efficiency at approximately the same temperature.

From the results for transmission efficiency and reduction efficiency, it was determined that stainless steel (alloy 302) at 1225°C was the overall best metal for on-line reduction of HCl. We then tested stainless steel (alloy 302) with a series of PCBs with known δD values (from standard off-line techniques). Standardization was done using a hydrogen gas with a known δD value, and H+3 correction factors were also determined. For PCBs containing one or two chlorine atoms, a single stainless steel-containing alumina tube produced δD values within experimental error of those obtained with off-line techniques (Table 1). When PCBs contain more than two chlorine atoms, a second reactor must be added to obtain similar results due to the formation of iron chlorides on the surface of the metal (Table 1).

Table 1. Off-Line and On-Line δD Values for Various PCBs. On-line delta values were obtained using 302 stainless steel at 1225°C
Table 1.

Stainless steel transmitted 97.6 percent of the hydrogen introduced into the reactor and was capable of reducing 98.4 percent if the HCl introduced into the reactor. This non quantitative reduction of HCl appears to be nearly insignificant when determining the δD values for standard PCB samples as all on-line δD values were within experimental error of the off-line δD values. Further, this method also had standard deviation values that were similar or better than those obtained with off-line methods.

Dehydrodechlorination of 1,1,1-trichloro-2,2-bis(p-chlorophenyl)ethane (DDT). As a baseline investigation of the isotope effects associated with environmental processes acting on DDT, we determined the stable chlorine intramolecular kinetic isotope effect (KIE) from the dehydrochlorination of DDT to 2,2-bis(p-chlorophenyI)-1,1-dichloroethene (DDE) (Figure 4) (Reddy, et al., 2002b). These types of KIEs occur because the alkyl chlorines of DDT are chemically equivalent and can be determined from the differences between the isotopic values of the products and reactants after complete conversion. To complicate this study, the synthesis of DDT suggests that there may be primary intramolecular differences in the δ37Cl of DDT because it was synthesized from two different chlorinated precursors, trichloroacetaldehyde and chlorobenzene (Brooks, 1974) (Figure 5).

Figure 4. Conversion of DDT to DDE by Dehydrochlorination
Figure 4. Conversion of DDT to DDE by Dehydrochlorination

Figure 5. Outline for the Chemical Synthesis of DDT.
Figure 5. Outline for the Chemical Synthesis of DDT. Note that in DDT the aromatic chlorines derive from chlorobenzene and the alkyl chlorines are from the trichloroacetaldehyde.

That is, the alkyl δ37Cl (from the trichloroacetaldehyde) may be distinct from the aromatic δ37Cl values (from the chlorobenzene) and these differences may affect the calculations for determining the KIE. Therefore, we first determined the δ37Cl values of both the alkyl and aromatic chlorines in one sample of DDT by selective chemical oxidation and then performed a series of dehydrochlorination reactions using the same DDT sample.

To investigate potential intramolecular chlorine isotopic differences in DDT, we selectively removed the alkyl chlorines from DDT (Aldrich Chemical) by chemically degrading it to dichlorobenzophenone (DCBP) and measuring the δ37Cl values of the reactants and products. The average δ37Cl values of the precursor DDT and product DCBP were -4.34 ± 0.25 percent (n = 4) and -2.21 ± 0.24 percent (n = 3), respectively. Since the aromatic chlorines were not affected in the conversion of DDT to DCBP, the δ37Cl value of DCBP is equivalent to δ37ClDDTarom. Therefore, δ37CLDDTalkyl was calculated with the following mass-balance equations:

Equations.

Solving equation (1) using analytical data for DDT and DBCP (equation 2) yields a δ37ClDDTalkyl value of -5.76 ± 0.45 percent . This demonstrates the existence of significant intramolecular differences in the δ37Cl values of DDT (-5.76 % vs. -2.21 %) as suggested previously and is the first such finding. These δ37Cl values are within the ranges of δ37CL values reported in the literature for other chemically manufactured chlorinated organic compounds, -6.82 to +4.08 percent (Holt, et al., 1997; Jendrzejewski, et al., 1997; Reddy, et al., 2000; Tanaka and Rye, 1991; van Warmerdam, et al., 1995). Many other chlorinated semivolatile organic compounds (SVOCs) and volatile organic compounds (VOCs) are synthesized from multiple sources of chlorine. For example, chlordane is synthesized from the chlorination of chlordene (Brooks, 1974). It may be necessary to perform similar studies on many such compounds in order to attain a clear understanding of their intramolecular chlorine isotope differences.

DDT was reacted in base at 52°C, 60°C, and 72°C until complete dehydrochlorination to DDE occurred. The average δ37CL values for the product DDE were -2.50 ± 0.04 percent (n = 2), -2.55 ± 0.21 percent (n = 2), and - 2.44 ± 0.07 percent (n = 4), respectively, revealing no observable temperature dependence on the isotope effect. Turnquist, et al. (1973) observed small temperature effects for some organic nucleophilic substitution reactions, but such effects would not be observable within the precision of our measurements. The δ37CLDDEalkyl can be calculated with a mass-balance approach:

Equations.

The calculated values of δ37CLDDEalkyl in DDE were -2.80 ± 0.25 percent, -2.88 ± 0.49 percent, and -2.68 ± 0.27 percent, respectively. Hence, there was an approximately 3 percent shift in the residual alkyl chlorines when one of the three chlorines was removed from DDT during dehydrochlorination. The δ37CL values of the aqueous chloride liberated from the reaction can be similarly determined with equation 5, and the calculated values were -11.68 ± 1.44 percent, -11.52 ± 1.67 percent, and -11.92 ± 1.45 percent, respectively.

Equation.

The KIE, which is the ratio of the rate constants for bond breaking of 35Cl and 37Cl (35k/ 37k), was calculated by successive approximations from the isotopic compositions of the products and reactants using an iterative spreadsheet program. This approach is unusual because the relative percentage of the lesser abundant isotope of chlorine, 37Cl, is 24 percent and there is a chance that all three alkyl chlorine on some DDT molecules could be 37Cl. This does not have to be done for other stable isotopes because lesser abundant stable isotopes have much lower relative abundances. For example, carbon (13C), nitrogen (15N), and hydrogen (2H) have relative abundances of 1.1, 0.37, and 0.015 percent of the total, respectively, while 37CL is 24 percent. The calculated value of 35k /37k was 1.009, implying that 35CL was removed from DDT at a rate 0.9 percent faster than 37CL. This value is similar in magnitude to other published values for chlorine isotope effects (Shiner and Wilgis, 1992) and consistent with an El cb mechanism for the base-promoted dehydrochlorination of DDT (McLennan and Wong, 1972).

These results indicate that intramolecular stable chlorine isotope differences can exist in DDT where the alkyl and aromatic δ37CL values were -5.76 and -2.21 percent, respectively. Dehydrochlorination of DDT yields a significant intramolecular chlorine isotope effect, which may be a useful tracer of this environmental process. For example, the δ37CL of dissolved Cl from dehydrochlorination reactions may be a useful tracer of this process and perhaps allow quantification of the in situ rate of these reactions in freshwater sediments by analysis of dissolved CL-. This is because the δ37CL values of the produced CL- will be much more depleted than normal background chloride, which has a limited range of δ37CL values of approximately 0 ± 2 percent (Long, et al., 1993).

Figure 6. The Average Measured and Calculated delta[37]Cl Values (Both Total and Intramolecular) of DDT, DDE, and Aqueous Chloride for the Dehydrochlorination Reaction at 52[C].
Figure 6. The Average Measured and Calculated δ37CL Values (Both Total and Intramolecular) of DDT, DDE, and Aqueous Chloride for the Dehydrochlorination Reaction at 52°C.

Biochlorination. To determine whether enzyme-catalyzed chlorination produces HOCs with distinct stable chlorine isotope ratios, we investigated the chlorine isotope effect for enzyme–catalyzed chlorination compared to uncatalyzed chlorination processes (Reddy, et al., 2002c). Fe(III)-heme-chloroperoxidase (CPO) isolated from the fungus Caldariomyces fu mago was treated with 1,3,5-trimethoxybenzene (TMB) or 3,5-dimethylphenol (DMP), potassium chloride, and hydrogen peroxide in citrate/phosphate buffer pH 3. The H2O2 was added slowly by syringe pump to limit the side reaction of the CPO-catalyzed disproportionation of H2O2. Each experiment was performed in triplicate in solutions of excess KCl with a known chlorine isotopic composition (-0.76 ± 0.07 %; n = 3). Extraction and analysis by gas chromatography-mass spectrometry revealed that the TMB was almost fully dichlorinated (90%) with traces of the mono- and tri-chlorinated congeners. DMP was trichlorinated (~ 75%) and dichlorinated (~ 25 %). Bulk δ37CL values of the solvent extracts were -12.06 ± 0.18 percent (n = 3) and -11.08 ± 0.08 percent (n = 3) for the TMB and DMP halogenated products, respectively. The magnitude of the KIE, which can be expressed as the ratio of k35/k37, was determined using equation 6:

Equation.

where f is the fraction of Cl- incorporated into the organic substrate and Rorg and RCl- are the 37CL/35CL ratios for the organic extracts and the Cl-, respectively (mean values of f were 0.044 for TMB and 0.055 for DMP). The KIEs were 1.012 for TMB and 1.011 for DMP. Hence, 35CL- was incorporated into the substrate at a rate of approximately 1 percent faster than 37Cl- and is the first such finding for any natural chlorination process. To test whether abiotic chlorination of these same substrates causes a similar isotope effect, TMB and DMP were treated with sodium hypochlorite (0.17 ± 0.11%; n = 3). The dichlorinated and trichlorinated products of each substrate had δ37CL values that were -3.47 ± 0.34 percent (n = 3) and -3.62 ± 0.38 percent (n = 3) for the TMB (k35/k37 = 1.0037) and DMP (k35/k37 = 1.0039), respectively. Therefore, the magnitude of this effect is much smaller than the enzymatic process. In addition, the δ37CL values observed for the OCL- experiment are within the range observed for anthropogenic HOCs (Figure 7).

Figure 7. Plot of Known delta[37]CL Values for Semi-Volatile Anthropogenic HOCs (See Below) and Chloride Salts.

Figure 7. Plot of Known δ37CL Values for Semi-Volatile Anthropogenic HOCs (See Below) and Chloride Salts. Also shown are the possible δ37Cl values for natural HOCs chlorinated by CPO.

Stable Carbon and Chlorine Isotope Values of Halogenated Organic Compounds. To assess whether the isotopic composition of HOCs may be a useful tool, we measured the bulk δ37CL and δ13C values of several pesticides and Aroclor mixtures from different suppliers (Drenzek, et al., 2001). The δ37CL values of the HOCs ranged from -5.10 to +1.22 percent and are similar to values published for other chlorinated organic compounds (Tanaka and Rye, 1991; van Warmerdam, et al., 1995; Holt, et al., 1997; Jendrzejewski, et al., 1997; Reddy, et al., 2000).

Compared to published VOC values (-6.8 to +4.1%), these compounds had a smaller range and were generally more depleted in 37CL. Two different lots of toxaphene had the most depleted δ37CL values of -5.10 and -4.21%. Both pure p,p’ - and technical grade DDT were slightly enriched in 37CL relative to toxaphene, with values of -4.34 and -3.49 percent, respectively. The δ37CL values of twelve different Aroclors, as previously reported by Reddy, et al. (2000), spanned from -3.37 to -2.11 percent, with a mean value of -2.76 ± 0.40 percent (n = 11). There was no correlation between the mass percent chlorine in the Aroclors and their δ37CL values. However, there did appear to be some systematic bias among the suppliers of these mixtures. Generally, the Aroclors purchased from ChemService were the most isotopically depleted, and those purchased from AccuStandard were the most enriched. Chlordane was the most enriched sample measured in this study with a δ37CL of +1.22 percent, and this is similar to a value (+0.19 ± 0.15 %) determined by Tanaka and Rye (1991).

The HOCs had δ13C values that were from -31.63 (heptachlor) to -22.39 percent (chlordane) (Figure 8) and also had a smaller range in δ13C values than published values for VOCs (-58 to -23 %). The Aroclor mixtures again had a relatively narrow range (-26.64 to -25.65%) of δ13C values with a mean value of -26.12 ± 0.35 percent (n = 9). However, unlike the δ37Cl values, there was no apparent bias in δ13C between suppliers. All of the other SVOCs (lindane, heptachlor, dieldrin, aldrin, mirex, toxaphene, and DDT) measured in this study had δ13C values between those of chlordane and heptachlor. When plotted in δ-δ space, some compounds inhabit specific regions (Figure 8). For example, the Aroclors are tightly isotopically constrained with respect to both carbon and chlorine, which may prove useful in tracing the fate of Aroclors on regional or global scales.

Figure 8. delta[37]C Versus delta[37]Cl for the SVOCs Measured in This Study.
Figure 8. δ37C Versus δ37CL for the SVOCs Measured in This Study. Hexachlorocyclopentadiene is abbreviated to hexa in the legend. Values for the Aroclor mixtures are circled.

Radiocarbon Content of Halogenated Organic Compounds. Some HOCs, such as PCBs, polychlorinated dibenzo-p-dioxins (PCDDs) and polybrominated diphenyl ethers (PBDEs), have been suggested to have natural sources but separating these compounds from their commercially-synthesized counterparts is difficult. Molecular-level 14C analysis may be beneficial since most synthetic compounds are manufactured from petrochemicals (14C-free) and natural compounds should have “modern” or “contemporary” 14C levels. As a baseline study, we measured, for the first time, the 14C abundance in commercial PCB and PBDE mixtures, a number of organochlorine pesticides, as well as one natural product 2-(3’, 5’-dibromo-2’-methoxyphenoxy)-3,5-dibromoanisole (Reddy, et al., 2002a).

The latter compound was isolated from a marine sponge and is similar in structure to a PBDE. The 14C content depends significantly on the compound and source. With the exception of toxaphene, all of the industrial compounds were essentially devoid of 14C (i.e., 14C-free) and reflect the use of petrochemicals as precursors in their synthesis. To the contrary, the three toxaphene samples contained modern levels of radiocarbon (>200%). Moreover with ∆14C values greater than 0 percent, these values point to the presence of bomb-derived radiocarbon. This was not surprising as toxaphene was produced mainly during the 1950s to 1970s by the photochlorination of camphene, an isomerization product of α-pinene extracted from pine tree stumps. A thorough search of the literature indicates that toxaphene is the only HOC synthesized from a non-petrochemical source. In addition, based on ∆14C values, it is possible that the toxaphenes from the U. S. Environmental Protection Agency repository (373.4%) and Supelco (370.1%) are derived from very similar lots, while the toxaphene from Ultra Scientific (200.5% ) is significantly different. The 2-(3’, 5’-dibromo-2’-methoxyphenoxy)-3, 5-dibromoanisole isolated from Phyllospongia foliascens had a ∆14C value of 73.2 percent and reflects another compound with bomb-derived radiocarbon. This value is consistent with a naturally-produced compound biosynthesized in the upper layers of the ocean. In this case, the sponge was collected in Palau (134° 30’ E, 7° 20’ N) in the western Pacific Ocean where the ∆14C of dissolved inorganic carbon (0-300 meters) near this location ranges from 80 to 125 percent (National Ocean Sciences Accelerator Mass Spectrometry Facility [NOSAMS], 1998). Because this compound was isolated without any precaution for possible fractionation of the stable carbon isotope ratios, we have listed the δ13C value for information purposes only. (Any fractionation that may have occurred would have minimal effect on the 14C content). Nevertheless, as mentioned earlier, overlaps in δ13C values can occur for compounds synthesized from natural compounds (toxaphenes) and petrochemicals (Figure 9).

Figure 9. Radiocarbon and Stable Carbon Istopic Content of HOCs
Figure 9. Radiocarbon and Stable Carbon Istopic Content of HOCs

Evaluation of Effectiveness

This grant revealed several new views on the environmental chemistry of PCBs and other HOCs. Most importantly, we found that we could use stable carbon and chlorine isotope ratios of PCBs to investigate microbial degradation of these important compounds. In addition, we also showed that the natural radiocarbon abundance of HOCs could be used to ascertain whether an HOC was naturally produced or industrially synthesized. This approach can be further strengthened by our preliminary biochlorination experiments in which we found that enzymes create an unusual chlorine isotope signature when they produce natural HOCs. This signature is vastly different from industrially synthesized HOCs. Overall, we believe that stable carbon and chlorine isotopes and radiocarbon can very useful in studying HOCs in the environment.

References:

Brooks G. Chlorinated pesticides: technology and application. Cleveland, OH: CRC Press, 1974.

Drenzek NJ, Eglinton TI, Wirsen CO, May HD, Wu Q, Sowers KR, Reddy CM. The absence and application of stable carbon isotopic fractionation during the reductive dechlorination of polychlorinated biphenyls. Environmental Science & Technology 2001;35(16):3310-3313.

Drenzek NJ, Tarr CH, Eglinton TI, Heraty LJ, Sturchio NC, Shiner VJ, Reddy CM. Stable chlorine and carbon isotopic compositions of selected semi-volatile organochlorine compounds. Organic Geochemistry 2002;33(4):437-444.

Drenzek NJ, Eglinton TI, Wirsen CO, Sturchio NC, Heraty LJ, Sowers KR, Wu Q, May HD, Reddy CM. Invariant chlorine isotopic signatures during microbial PCB reductive dechlorination. Environmental Pollution 2004;128(3):445-448.

Holt B, Sturchio N, Abrajano T, Heraty L. Analytical Chemistry 1997;69:2727-2733.

Jarman WM, Hilkert A, Bacon CE, Collister JW, Ballschmiter K, Riseburgh RW. Environmental Science & Technology 1998;32: 833-836.

Jendrzejewski N, Eggenkamp H, Coleman M. Analytical Chemistry 1997;69:4259-4266.

Long A, Eastoe C, Kaufmann R, Martin J, Wirt L, Finley J. Geochimica et Cosmochimica Acta 1993;57:2907-2912.

McLennan D, Wong R. Tetrahedron Letters 1972;28:2887-2890.

NOSAMS Facility. Data report #98-027. AMS Radiocarbon results for WOCE stations (P10). Presented at the Woods Hole Oceanographic Institution, Woods Hole, MA, 1998.

O’Malley VP, Abrajano TA, Hellou J. Organic Geochemistry 1994;21:809-822.

Reddy CM, Heraty LJ, Holt BD, Sturchio NC, Eglinton TI, Drenzek NJ, Xu L, Lake JL, Maruya KA. Stable chlorine isotopic compositions of Aroclors and Aroclor-contaminated sediments. Environmental Science & Technology 2000;34(13):2866-2870.

Reddy CM, Xu L, Eglinton TI, Boon JP, Faulkner DJ. Radiocarbon content of synthetic and natural semi-volatile halogenated organic compounds. Environmental Pollution 2002a;120(2):163-168.

Reddy C , Drenzek NJ, Eglinton TI, Heraty LJ, Sturchio NC, Shiner VJ. Stable chlorine intramolecular kinetic isotope effects from the abiotic dehydrochlorination of DDT. Environmental Science and Pollution Research 2002b;9(3):183-186.

Reddy CM, Xu L, Drenzek NJ , Sturchio NC, Heraty LJ, Kimblin C, Butler A. A chlorine isotope effect for enzyme-catalyzed chlorination. Journal of the American Chemical Society 2002c;124(49):14526-14527.

Sachs JP, Repeta DJ. Organic Geochemistry 2000;31:317-329.

Shiner VJ, Wilgis FP. Heavy atom isotope rate effects in solvolytic nucleophillic reactions at saturated carbon. In: Buncel E, Saunders WH, eds. Isotopes in organic chemistry. Amsterdam: Elsevier, 1992, volume 8, pp. 272-288.

Tanaka N, Rye D. Nature 1991:353:707.

Trust BA, Mueller JG, Coffin RB, Cifuentes LA. In: Kinchee RE, Douglas GS, Ong SK, eds. Monitoring and Verification of Bioremediation. Columbus, OH: Battelle Press, 1995; pp. 233-239.

Turnquist C, Taylor J, Grimsrud E, Williams R. Journal of the American Chemical Society 1973;95:4133-4138.

van Warmerdam E, Frape S, Aravena R, Drimmie R, Flatt H, Cherry J. Applied Geochemistry 1995;10:547-552.

Journal Articles:

No journal articles submitted with this report: View all 6 publications for this project

Supplemental Keywords:

Air, Scientific Discipline, Ecosystem Protection/Environmental Exposure & Risk, Water, Waste, Toxics, Fate & Transport, HAPS, Environmental Chemistry, Engineering, Chemistry, & Physics, Contaminated Sediments, EPCRA, chemical transport modeling, Chlorine, microbial degradation, stable isotope, contaminated sediment, hydrogen, chemical composition, fate and transport, chemical kinetics, carbon aerosols, PCBs, reductive dehalogenation

Progress and Final Reports:

Original Abstract
  • 2001 Progress Report
  • 2002
  • 2003
  • Top of Page

    The perspectives, information and conclusions conveyed in research project abstracts, progress reports, final reports, journal abstracts and journal publications convey the viewpoints of the principal investigator and may not represent the views and policies of ORD and EPA. Conclusions drawn by the principal investigators have not been reviewed by the Agency.

    Project Research Results

    • 2003
    • 2002
    • 2001 Progress Report
    • Original Abstract
    6 publications for this project
    3 journal articles for this project

    Site Navigation

    • Grantee Research Project Results Home
    • Grantee Research Project Results Basic Search
    • Grantee Research Project Results Advanced Search
    • Grantee Research Project Results Fielded Search
    • Publication search
    • EPA Regional Search

    Related Information

    • Search Help
    • About our data collection
    • Research Grants
    • P3: Student Design Competition
    • Research Fellowships
    • Small Business Innovation Research (SBIR)
    Contact Us to ask a question, provide feedback, or report a problem.
    Last updated April 28, 2023
    United States Environmental Protection Agency

    Discover.

    • Accessibility
    • Budget & Performance
    • Contracting
    • EPA www Web Snapshot
    • Grants
    • No FEAR Act Data
    • Plain Writing
    • Privacy
    • Privacy and Security Notice

    Connect.

    • Data.gov
    • Inspector General
    • Jobs
    • Newsroom
    • Open Government
    • Regulations.gov
    • Subscribe
    • USA.gov
    • White House

    Ask.

    • Contact EPA
    • EPA Disclaimers
    • Hotlines
    • FOIA Requests
    • Frequent Questions

    Follow.