Skip to main content
U.S. flag

An official website of the United States government

Here’s how you know

Dot gov

Official websites use .gov
A .gov website belongs to an official government organization in the United States.

HTTPS

Secure .gov websites use HTTPS
A lock (LockA locked padlock) or https:// means you have safely connected to the .gov website. Share sensitive information only on official, secure websites.

  • Environmental Topics
  • Laws & Regulations
  • Report a Violation
  • About EPA
Contact Us

Grantee Research Project Results

Final Report: An Integrated Near Infrared Spectroscopy Sensor for In-Situ Environmental Monitoring

EPA Grant Number: R826190
Title: An Integrated Near Infrared Spectroscopy Sensor for In-Situ Environmental Monitoring
Investigators: Levy, Roland A.
Institution: New Jersey Institute of Technology
EPA Project Officer: Aja, Hayley
Project Period: February 20, 1998 through February 19, 2001 (Extended to February 19, 2003)
Project Amount: $322,230
RFA: Exploratory Research - Environmental Chemistry (1997) RFA Text |  Recipients Lists
Research Category: Water , Air , Safer Chemicals , Land and Waste Management

Objective:

The monitoring and control of hazardous emissions is of major concern to industrial and governmental organizations concerned with the protection of public health and the environment. Environmental monitoring currently involves collection of air samples, which are subsequently analyzed for a large number of hazardous substances, such as volatile organic compounds (VOCs). The high cost and time delay associated with such sampling procedures prohibit optimal usage. In this program, we have combined the principles of interferometry with those of near-infrared (IR) evanescent wave absorption spectroscopy to produce a novel integrated sensor capable of monitoring and determining in situ the concentration of numerous analyte species simultaneously.

The sensor has been designed to be compact, portable, rugged, and suitable for real-time monitoring of hazardous emissions. It offers numerous advantages over conventional analytical techniques such as gas chromatography and mass spectrometry, including small physical size, geometric flexibility, environmental versatility, real-time and in-situ analysis, instrumental reliability, analyte specificity, insensitivity to electromagnetic interference, and low power requirements. The fabrication of this sensor is based on large scale integrated (LSI) circuit-type processes, which allow for a high degree of electronic and photonic integration. In addition to offering the advantage of miniaturization, this technology offers high throughput (hundreds of sensors per silicon wafer), which translates into low cost per device.

Summary/Accomplishments (Outputs/Outcomes):

Technical Approach

Operation of the sensor, in the interferometric mode, is based on the detection of refractive index changes on waveguide surfaces resulting from the presence of VOC s in the environment. The sensor consists of a symmetric, single mode Mach-Zehnder interferometer with one arm (sampling) that is either exposed directly to the analyte or coated with a thin polymeric layer that enhances the binding of gas molecules onto its surface. A glass buffer layer protects the second arm (reference) from the influence of different gases. Light is coupled into the waveguide and split between the sampling and reference arms using a Y-splitter configuration. Since the phase difference is directly proportional to the effective index difference (Δneff) between the waveguide arms and the gas level in air surrounding sampling arm affects Δneff, then the interferometer’s output intensity changes with the concentration of gas present in the air.

At any single wavelength, the sensor cannot distinguish one gas from another since it only measures an average refractive index of the whole mixture at that wavelength. However, by using a broadband light source, the interferometer can measure the refractive index difference and absorbency of the evanescent wave over a wide spectrum. The absorbency of the evanescent wave is due to the penetration of a portion of light into the surrounding medium of the interferometer sampling arm and the interaction of that portion of light with vibrationally active analytes. The wavelength range is chosen to overlap the near infrared regime (1000-2000 nm), where many common organic species have characteristic absorption features that provide quantitative chemical information. By measuring the transmission of broadband light through the interferometer and matching the recorded spectrum to known standards, the composition and concentration of gas mixtures can be readily determined.

Year I Accomplishments

Sensor Fabrication Procedure. The waveguides were fabricated on both 4-inch and 5-inch silicon wafers. A 10-15 μm thick SiO2 film was first synthesized by low pressure chemical vapor deposition (LPCVD) or by high pressure oxidation to act as cladding material for the waveguide and prevent light from coupling with the underlying silicon. A 6.8 μm thick phosphorus-doped (8 wt% P) LPCVD SiO2 film was then synthesized to act as core material for the waveguide. This layer underwent patterning using standard lithographic exposure and plasma etching techniques and subjected to a 1050°C anneal to cause viscous flow and rounding of the edges. This rounding-off procedure was found to be necessary to minimize coupling losses between fiber and waveguide. The refractive index of the doped glass was measured to be 1.4666, thus producing with the underlying SiO2 (n = 1.4580) substrate a single mode waveguide device. Deposition of a 0.5 μm thick LPCVD undoped SiO2 buffer layer over the entire wafer and a subsequent lithographic step resulted in selective removal of that layer over the sampling arm of the interferometer. This configuration allowed for exposure of the sampling arm to various gases in the air environment in order to cause a change in the effective refractive index of that arm. The arm coated with the SiO2 buffer layer saw a constant refractive index of n = 1.4580. Three, four, five, and six microns-wide waveguides formed the two interferometer paths using a splitting angle of 2°. The sampling and reference arms had a fixed separation of 50 μm and variable lengths (2, 4, 6, 8, and 10 mm). A comparison between calculated and measured dependence of interferometer output on arm length was used for sensor calibration purposes.

Film Synthesis. The clad and core materials that constitute the waveguide fabrication process are silicon dioxide (SiO2) and phosphosilicate glass (PSG), respectively. For reliable and reproducible device performance, these films must be uniform both in thickness and composition, be highly transparent to light, be stress-free, and have a low defect density. At the start of this program, the effort was focused on the development of thick SiO2 and PSG films using diethylsilane (DES), a novel silicon precursor. The choice of diethylsilane over the previously characterized ditertiarybutylsilane was dictated by the sudden commercial discontinuity of that product because of its limited demand. The interrelationships governing deposition parameters, film compositions, film properties, and waveguide performance had to be re-established for this novel precursor.

The SiO2 and PSG films were synthesized on silicon by LPCVD. The reactor consists of a fused quartz tube 5 inches in diameter and about 50 inches in length. The tube is inserted into a Lindbergh three-zone furnace capable of operating at temperatures as high as 1200°C. The furnace is equipped with Plantinel II thermocouples, which sensed and controlled the temperature throughout the furnace. The quartz tube was sealed at both openings by end caps and 0-rings. Water was allowed to circulate around the end caps to keep the 0-ring seals cool. Additional cooling was provided by surrounding fans. An MKS Baratron gauge with a 10 Torr range was used to monitor the pressure at the gas inlet. Conventional mass flow controllers were used to monitor and control the flow rates of diethylsilane, oxygen, and nitrogen. A vapor phase flow controller was used to monitor and control the flow of the trimethylphosphite (TMP) used as a precursor for phosphorus. The low pressure in the reactor was achieved using a mechanical and booster pump. Nitrogen ballast gas was used in the pump to dilute any hazardous outgoing gas. An oil filtration system was also used to separate the micron size dust particles that are generally accumulated during the pumping process.

The oxide films were deposited on <100> oriented single sided polished wafers and fused quartz wafers spaced a few centimeters apart. After loading the wafers, the furnace was brought to low pressure by pumping down the reaction chamber. The temperature was raised to the required level in steps of 250°C. Once a desirable temperature was reached, oxygen was first introduced followed by DES and, in the case of PSG films, TMP. That sequence was found to be important in order to minimize carbon incorporation in the films. The calibration of each controller was checked by delivering a fixed volume of the reactant gas (product of metered flow rate and flow time) into the reaction chamber. From the resulting pressure increase and known reactor temperature, the volume occupied by the gas at STP was determined and compared to the known reaction chamber volume.

Short runs (~2 hrs) were made initially to check the kinetics and resulting film qualities. Once these were established, long runs (~12 hrs) were undertaken to obtain the desired thick films. Deposition temperature was found to be the parameter most crucial in influencing the growth rates and film properties.

Film Characterization. Fourier transform infrared (FTIR) spectra, obtained with a Perkin-Elmer 580, revealed in the case of silicon dioxide films the Si-O and SiOH peaks, while for PSG the additional P=O peak was present. Stress analysis was conducted on all deposits to establish the type and magnitude of the film stress. The change in the radius of curvature of the substrate before and after deposition was used in conjunction with Stony’s formula to calculate stress:

σs = ED2/6(1-ν)Rt

where E and ν are Young’s modulus and Poisson ratio of the substrate, respectively. D and t are the substrate and film thickness, respectively, and R is the radius of curvature of the composite structure. By convention R is negative for a convex wafer surface (compressive film stress) and positive for a concave wafer surface (tensile film stress). In the present set of experiments for the wafers used and considering the geometry of the instrument used, the equation reduces to

σs(MPa) = 12.3R′ /t (μm)

where R′ is the difference in the deflection of two projected laser spots on the wafer after and before deposition.

Refractive index of the films was determined using a Rudolph Research/Autodec ellipsometer. The measurement technique is mainly concerned with the measurement of changes and the state of polarization of light upon reflection with the surface. It employs monochromatic, plane polarized light, with its plane of polarization 45° to the plane of incidence. When the elliptically polarized light is reflected from an absorbing substrate, its state of polarization is changed. The ellipticity of the reflected beam is determined by the relative phase difference δ and azimuth ψ. An in-built computer program numerically solves the equations generated by these δ and ψ, and the refractive index and the thickness of the film is obtained. In all the experiments the angle of incidence was maintained at 70° and the wavelength at 6328Å. Readings were taken at five places on the wafer and averaged out. Film thickness was measured using a Nanometrics interferometer. The average refractive index obtained from the ellipsometer for a particular wafer was used in determining the film thickness. Film composition was established by chemical analysis and infrared absorption.

Growth Kinetics and Film Properties. Growth rate can be represented as a function of temperature for the SiO2 films. The temperature independent behavior is indicative, in this case, of the fact that the reactions are taking place within the mass transfer limited regime. At lower temperatures, a linear behavior is expected, indicative of a reaction rate mechanism. Stress is highly dependent on deposition temperature and reaches low desirable values close to 750°C. T he temperature dependent behaviors of growth rate for PSG films for two different TMP flow rates have been demonstrated. It is apparent that the reaction rate regime is now present at the lower investigated temperatures and that a transition into the mass transfer regime is evident. Low stress values are readily obtained at deposition temperatures close to 600°C.

Sensor Design and Chemical Detection Scheme. The designed sensor consists of a Mach-Zehnder integrated interferometer constructed from a single mode waveguide. The waveguide consists of a Y-shaped splitter that divides an incident guided optical mode into each arm of the interferometer and interferes the resulting guided optical modes at an emerging Y-shaped splitter. One of the arms of the interferometer is covered by a protective oxide layer to give it a constant effective refractive index, while the other is exposed to the environment through a “window” in the protective layer to allow the effective index of the guide to vary with external conditions. The two resulting modes are interfered, which results in an intensity change of the output signal that depends on the differences in the effective indices of each guide.

External organic pollutants are detected through their coupling with the evanescent component of the exposed guided optical mode. The strong variation of the sensor’s output intensity with index changes is used to construct a unique profile of the strong index changes for a polluting substance or mixture of substances. The results of the profile are used for the detection of a substance if either a selective film is placed in the sensor window to select out certain polluting substances from the surrounding environment or a suitable method of reference can be used to distinguish the various components of the mixture. The evanescent absorption of light by organic pollutants in the near-IR also is used to determine their concentration.

Equation 1.

Equation 2.

Where L is the length of the waveguide, λ0 is the wavelength of light, and (Ne2–Ne1) is the difference in the waveguide indices which varies with wavelength and concentration of the organic pollutant.

The waveguide used in the interferometer must be able to effectively carry a single mode of light for the near-IR region of the optical spectrum (1–2 μm), and be able to sample the surrounding material for detection with a good sized evanescent tail. These conditions are achieved by varying the refractive index and thickness of the guiding structure. The following one-dimensional analysis generated for a symmetric waveguide gives an approximation for the modes in the sensor waveguide.

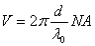
In order to have a single mode planar waveguide, the width of the guide, d, must be determined for single mode operation. The following equations give the Numerical Aperature (NA) describing the material characteristics of the waveguide (where ncore and ncladding are the core and cladding refractive indices), and the cut-off wavelength λm for the various modes m of the waveguide:

Equation 3.

and

Equation 4.

Since the TE0 mode of a symmetric waveguide has no cut-off, the wavelength of light used must be kept above the cut-off for the TE1 mode to maintain single-mode operation. An index difference between the core and cladding of 1 percent is used to have a single mode in the near-IR.

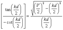
Using the equations given below for the eigenvalues of the even/odd modes of the waveguide (kd), the normalized frequency V, and the attenuation constant a of the planar waveguide,

Equation 5.

Equation 6.

Equation 7.

the standing mode wave number k and the attenuation constant a for the evanescent field are determined for various TE modes.

In order to have a good range of single modes in the near-IR, it is best to have an index difference between the core and cladding of about 1 percent or 0.01. The evanescent penetration depth and percent of the TE0 mode in the cladding are important in determining the amount of sensitivity the sensor will have. For the near-IR range, the penetration depth and percent of mode in the cladding increases with wavelength, giving more sensitivity to the higher wavelengths. (See Table 1.)

Table 1. Results are for a Waveguide With a 3 μm Thick Core and an Index Difference of 1%

Wavelength (μm)

Dp (μm)

%Ecladding

1.1

0.75

18

2

1.5

35

In order to utilize the sensor at a remote location, a single mode fiber optic cable is to be used to couple light to and from the planar waveguides of the sensor. The fiber optic cable will be 125 μm in diameter with a core size of 4–10 microns. The fiber is to be butt coupled directly to the planar waveguide on the sensor and held in place with a V-groove etched into the silicon substrate of the device.

The coupling of fibers to waveguides was achieved through the presence of V-grooves in the silicon substrate. For production of the V-grooves, a layer of silicon nitride was deposited on the wafer using LPCVD. Photolithography was used to pattern openings in the silicon nitride, which served as a mask for the etching of the V-grooves. The silicon nitride pattern was produced by plasma etching, and the V-grooves are etched into the silicon using KOH, which etches in the <100> direction along the <111> plane. The etching of the V-grooves self terminates with a final apex angle of 70.51 degrees.

Mask Design. The fabrication of the sensor involves three lithographic masks, one for producing the V-grooves, one for patterning the waveguides, and one for opening windows through the top protective layer. These masks were designed with Mentor Graphics IC Station on a Sparc 20 workstation network. The UV exposure tool, with a resolution limit of 2 μm, was used with positive photoresist spun on the wafer.

In order to test the sensor under a variety of waveguide dimensions for optimal performance, several different types of sensors were created with varying lengths and widths. The sensor layout was repeated with varying lengths and widths 20 times in four groups of five. This set comprised one “die” of sensors on the wafer.

For the dies on the first mask, the entire field of the mask was selected to be dark except for the small openings that serve as the pattern for the V-grooves. In order to accommodate a 125 micron fiber, the openings must be 148 microns wide by 3.5 mm long. These openings are diametrically opposed at each end of the waveguide for the source and receiving fibers. The first mask also contains alignment marks for cutting out each sensor die. There are 125 micron crosses that were placed at the edge of each die for alignment under microscope during processing and during cutting. The marks were offset into the edge of the V-groove by 13 microns.

The second mask was used to pattern the actual sensor waveguide structure. The field of the mask was selected to be clear except for the dark regions of the waveguide patterns. For each basic group of five waveguides, the sensor’s test path lengths were set at 2, 4, 6, 8, and 10 mm in length. Each group was designed with waveguide widths of 3, 4, 5, and 6 microns. The widths given for each group of waveguides was meant for single mode operation in the near-IR (See Table 2.) To ensure that each arm of the interferometer does not couple with the other, they were designed to be separated by 50 microns. Each waveguide ended at a V-groove in the silicon for coupling purposes.

Table 2. Cut-off Wavelengths for Single-Mode Propagation in Waveguides With a 0.01 Index Difference Between the Core and Cladding Material

Thickness (μm)

Cut-off Wavelength (μm)

3

1.031

4

1.374

5

1.718

6

2.061

In order to achieve a good coupling between the incoming light from the fiber optic cable and the two arms of the sensor, the Y-coupler used must have a low loss. This was achieved with an angle of separation between the sensor arms of less than 2°, since a large bend in an integrated waveguide can lead to high radiation losses. The Y-coupler was also the most critical feature of the designed sensor since it had the smallest dimensions near the terminating end of the Y, where the angled sections approach the 2 μm limit of New Jersey Institute of Technology’s (NJIT’s) exposure tool. Therefore, the Y-coupler was examined extensively to ensure that it was being properly patterned in the oxide.

To identify the waveguides under the microscope, small blocks of text were used above each sensor device. The text blocks consist of the waveguide width followed by the pathlength for each device (i.e., 3 μm x 4 mm).

On the third mask, the entire field of the mask was selected to be dark except for the windows over the “sampling” arm of each sensor device. The windows were etched into the protective oxide layer over the entire length of the sampling arm of the sensor. Each window was selected to be 70 microns in width to ensure that the entire sampling arm was exposed during processing.

Each sensor die was selected to be composed of four groups of five waveguides. The descending order of the groups is in the order of the waveguide widths. Each die was separated on the mask by the small cross alignment marks at each corner of the die.

The layout of the dies on the wafer consists of four columns. The number of dies in each column are 6, 12, 6, and 3 dies. This gives a total of 27 dies for testing, and 540 Mach-Zehnder sensors per wafer. The dies are spread out on the right side of the wafer so that they can be cut out by hand with a diamond tipped blade. The dies are concentrated on the left so as to maximize the use of the wafer space. The dies on the left side will need to be cut out with a silicon wafer saw.

The three masks designed on Mentor Graphics were fabricated by Photronics, Inc. The V-groove and Window masks were produced using optical mask fabrication techniques, while the Waveguide mask was produced using e-beam mask fabrication technology.

The pattern on the masks was produced in anti-reflective chrome to eliminate optical back reflections and interference in the photoresist during exposure. The Waveguide mask was produced using a quartz substrate under the chrome.

The Waveguide mask was produced using e-beam fabrication because the smallest dimension of 3 microns or less on the mask cannot be produced reliably using optical fabrication. The mask was produced using the e-beam’s highest writing resolution of 0.1 μm. This is the smallest block of chrome that can be removed from the mask surface by the e-beam. This ensured the best reproduction of the sensor pattern.

Fabrication of Test Waveguides. Test waveguides were fabricated on 4 inch and 5 inch wafers with <100> orientation. The initially fabricated waveguides were patterned with 4–5 μm thick films; the lithography and dry etching were performed in NJIT’s class 10 cleanroom.

First, a 4-micron thick silicon dioxide film was deposited on the wafer surface using LPCVD. The film thickness was measured and deviations determined using a Leitz Nanospec Interferometer. The deviation was measured to be around 0.2 microns. The films were than cleaned in M-Pyrol for 10 minutes and rinsed in hot and cold deionized (DI) water baths for 20 minutes. Wafer drying was done using a small, clean oven for 15–20 minutes.

Next, a thin layer of aluminum was evaporated onto the wafer surface to act as a mask during dry etching. The aluminum layer was 1837 + 61 angstroms thick using deposition rate of 122.5 + 4 angstroms per minute. The film thickness was determined from a step profile measurement on the cleanroom’s Dektak profilometer. This measurement of the film was used in calibration measurements of the evaporator for future runs.

Next, the pattern of the 70 micron multi-mode waveguides was transferred to the wafer using photolithographic processing. Photoresist was spun onto the wafer using a spinning rate of 2000 rpm. The wafer was the n prebaked at 110 °C for 1 minute and cooled for 1 minute. The resist was than exposed to the mask pattern under UV light for 15 seconds. Developer was than applied to the photoresist for 1 1/2 minutes while rinsing. The wafer was than hard-baked at 115 °C for 1 minute and cooled for 1 minute.

The waveguide pattern was the n wet etched into the aluminum surface by placing it in Al-Etch for 25 seconds. The wafer was the n rinsed in cold DI water for 10 minutes. The photoresist was than stripped in hot M Pyrol for 10 minutes and rinsed in hot and cold DI water for 20 minutes. Wafer drying was done using a small clean oven for 15–20 minutes.

Next, the oxide film on the wafer surface was etched in the clean room’s reaction-ion etcher. The aluminum layer served as the mask of the waveguide patterns since the photoresist would easily be stripped away in the RIE reactor. The films were etched to a depth (waveguide height) of approximately 3.5 microns. The etching rates of two gas mixtures were examined: one with 100 percent carbon tetraflouride and one mixture with 80 percent carbon tetraflouride and 20 percent oxygen. Each reaction was at the same given RF power, pressure, and temperature. (See Table 3.) A Teflon film forms on the etching surface from CF4, which slows and prevents the ions from attacking the wafer surface. This film is removed with an organic etching agent such as oxygen. It can be seen that the rate is considerably higher with oxygen. During the etching process, the film thickness was checked at various times during processing with a Dektak profilometer.

Table 3. RIE Etch Rates for SiO2

Power

Pressure

Temperature

CF4

O2

Etch Rate

(watts)

(mTorr)

(deg C)

(sccn)

(sccm)

(A/min)

250

750

25

50

0

357

250

750

25

52

13

1699

After the waveguide patterns were etched into the oxide, the aluminum was etched off in Al-Etch for 25 seconds. The wafers were again cleaned, rinsed, and dried. The resulting guides were examined with the Dektak.

Fabrication Results. The resulting waveguide dimensions were measured with a Dektak profilometer; the etching was not completely in the vertical direction. The average width of a waveguide at its bottom was 108 microns and 70 microns at the top.

The average height for each waveguide was 3.295 microns. The ratio of the differing bottom width of the waveguide to the top width per micron was 16.45 percent. This ratio describes the deviation of the bottom width of the waveguide to the top due to the not so perfect anisotropic etch of the guide.

If a single mode waveguide was etched using this same machine, the waveguide would deviate from its ideal shape by the ratio given above per microns of depth. For a waveguide 3 microns in width and 6 microns high, the deviation would be 98.7 percent from the top width of the structure or 5.96 microns at the base.

Conclusions:

During the first year of this program, the effort has focused on developing the technology required to design the waveguide structures, the processes needed to fabricate these structures, and the methodology necessary to model the device performance. With the existence of such a technology platform, the stage is set to evaluate, during the second year of this program, a prototype sensor in terms of its capabilities for monitoring and quantifying multicomponent mixtures of contaminants in air.

Journal Articles:

No journal articles submitted with this report: View all 4 publications for this project

Supplemental Keywords:

Air, Scientific Discipline, Chemistry, Electron Microscopy, Environmental Chemistry, Engineering, Chemistry, & Physics, Mach-Zender interferometer, real time monitoring, environmental monitoring, infrared spectroscopy sensor, organic analyte species, waveguide surfaces, organic contaminants, remote sensing, sensor technology

Progress and Final Reports:

Original Abstract
  • 1998 Progress Report
  • 1999 Progress Report
  • 2000 Progress Report
  • 2001
  • Top of Page

    The perspectives, information and conclusions conveyed in research project abstracts, progress reports, final reports, journal abstracts and journal publications convey the viewpoints of the principal investigator and may not represent the views and policies of ORD and EPA. Conclusions drawn by the principal investigators have not been reviewed by the Agency.

    Project Research Results

    • 2001
    • 2000 Progress Report
    • 1999 Progress Report
    • 1998 Progress Report
    • Original Abstract
    4 publications for this project

    Site Navigation

    • Grantee Research Project Results Home
    • Grantee Research Project Results Basic Search
    • Grantee Research Project Results Advanced Search
    • Grantee Research Project Results Fielded Search
    • Publication search
    • EPA Regional Search

    Related Information

    • Search Help
    • About our data collection
    • Research Grants
    • P3: Student Design Competition
    • Research Fellowships
    • Small Business Innovation Research (SBIR)
    Contact Us to ask a question, provide feedback, or report a problem.
    Last updated April 28, 2023
    United States Environmental Protection Agency

    Discover.

    • Accessibility
    • Budget & Performance
    • Contracting
    • EPA www Web Snapshot
    • Grants
    • No FEAR Act Data
    • Plain Writing
    • Privacy
    • Privacy and Security Notice

    Connect.

    • Data.gov
    • Inspector General
    • Jobs
    • Newsroom
    • Open Government
    • Regulations.gov
    • Subscribe
    • USA.gov
    • White House

    Ask.

    • Contact EPA
    • EPA Disclaimers
    • Hotlines
    • FOIA Requests
    • Frequent Questions

    Follow.