Skip to main content
U.S. flag

An official website of the United States government

Here’s how you know

Dot gov

Official websites use .gov
A .gov website belongs to an official government organization in the United States.

HTTPS

Secure .gov websites use HTTPS
A lock (LockA locked padlock) or https:// means you have safely connected to the .gov website. Share sensitive information only on official, secure websites.

  • Environmental Topics
  • Laws & Regulations
  • Report a Violation
  • About EPA
Contact Us

Grantee Research Project Results

2002 Progress Report: Dewatering, Remediation, and Evaluation of Dredged Sediments

EPA Grant Number: R828770C007
Subproject: this is subproject number 007 , established and managed by the Center Director under grant R828770
(EPA does not fund or establish subprojects; EPA awards and manages the overall grant for this center).

Center: EAGLES - Atlantic Coast Environmental Indicators Consortium
Center Director: Paerl, Hans
Title: Dewatering, Remediation, and Evaluation of Dredged Sediments
Investigators: Schwab, Arthur Paul , Newman, Lee , Banks, M. Katherine , Nedunari, Krishnakumar
Institution: Purdue University , Central State University
Current Institution: Purdue University , Central State University , University of South Carolina at Columbia
EPA Project Officer: Aja, Hayley
Project Period: October 1, 2001 through September 30, 2004
Project Period Covered by this Report: October 1, 2001 through September 30, 2002
Project Amount: Refer to main center abstract for funding details.
RFA: Hazardous Substance Research Centers - HSRC (2001) Recipients Lists
Research Category: Hazardous Waste/Remediation , Land and Waste Management

Objective:

The objectives of this research project are to: (1) determine sediment management strategies that will rapidly dewater the dredged sediments and remove contaminants to an acceptable level; (2) select and/or develop plant species that are most suited for the task of dewatering and remediating contaminants; (3) determine the fate of key contaminants, specifically metals, polycyclic aromatic hydrocarbons (PAHs), and polychlorinated biphenyls (PCBs) during the remediation of the sediments; and (4) quantify the residual toxicity of remediated sediments using a suite of protocols, including plant seedling germination, earthworm evaluations, microbial assays, and microarthropods.

The corresponding hypotheses of this research project include:

· A proper combination of plant species selection, application of amendments, and site management will reduce dewatering time by 50 percent or more.

· The presence of a single, combination, or sequence of plant species significantly will enhance the biodegradation of target organic contaminants and the phytoextraction of metals.

· The phytoremediation process will degrade the majority of the organic contaminants with few identifiable byproducts. Most of the degraded compounds will be bound to the soil.

· The toxicity of remediated sediments will be very similar to nontoxic control soils.

Progress Summary:

Greenhouse Investigation of Dewater Potential of Various Plant Species

We are evaluating various plant species based on their ability to dewater and degrade/extract contaminants. The progress of dewatering was monitored based on moisture content in the sediments. Ultimately, the success of this research project will be based on the final concentrations of the contaminants compared to regulated concentrations and residual toxicity based on seedlings, soil microorganisms, and an earthworm toxicity test. Remediation of contaminated sediments will allow them to become suitable for beneficial use, such as industrial fill, construction, or re-introduction to open water.

During the dewatering portion of the study, we monitored percent moisture, plant health, and plant height in each of the experimental mesocosms. We also monitored humidity, temperature, and light intensity of the greenhouse. Percent moisture was determined at preselected areas in each of the mesocosms using a soil moisture probe provided by Lincoln Irrigation. The numeric value from the moisture probe has been correlated to a percent moisture value found in previous laboratory experiments. Plant height also was measured. We determined ambient temperature and humidity using a digital humidity/temperature monitor provided by Sper Scientific. Before planting each of the mesocosms, the soil was brought to a percent moisture level indicative of a value found at 0 bar atmospheric pressure. AGVISE Laboratories determined this to be 65.4 percent (w/w). When this desired moisture level was achieved, we planted the sediments at double the recommended planting density to achieve maximum dewatering.

We used the following species in the first test (April 12-May 23, 2002): Nastutrium officinale (Watercress), Sesbania exaltata (Swamp pea), and Populus trichocarpa x Populus deltoids-Line OP-367 (Hybrid Poplars). The surfaces of the sediments in each of the test mesocosms were lightly graded before the planting of seeds (S. exaltata and N. officinale). The hybrid poplars were planted as 12-inch cuttings and were placed vertically in the sediments approximately 10-inches deep, with approximately 6 inches between each cutting. S. exaltata exhibited the best results at the task of dewatering the sediments followed by P. trichocarpa x P. deltoids, and N. officinale. A more extensive test will be conducted in the fall of 2002, in which more parameters will be investigated with the incorporation of more plants.

The trends in dewatering for the various species are given in Table 1. By the end of the 5-week growth period, all plant species had removed significantly more water than the unvegetated controls.

Table 1. Moisture Content as Affected by Plant Species and Time

Species 4/12/02 4/20/02 5/9/02 5/23/02
  -------------------------- moisture (%) -------------------------
N. officinale 59 51 33 18
S. exaltata 59 48 22 12
Hybrid poplars (op-367) 59 44 28 12
Control 59 51 29 27

A second concern is the ability of plants to contribute to the degradation of the various contaminants in the sediments. We hypothesized that the optimal degradation would occur under alternating aerobic/anaerobic conditions; therefore, we needed to determine which plants, if any, also could survive under these conditions. A preliminary study of plant tolerance of water stress was conducted at the University of South Carolina under laboratory conditions. Plant species under study included S. exaltata, Juncus effusus, Medicago sativa, N. officinale, and Panicum virgatum. All species started from seeds in mini starter pots. Each species was subjected to periodic flooding and a sustained degree of soil saturation. We used plant height as a determining factor in studying the flood tolerance of the selected herbaceous plant species (see Figure 1). N. officinale exhibited the best growth under saturated conditions, followed by M. sativa, P. virgatum, J. effusus, and S. exaltata.

Figure 1. Change in Plant Height With Time for the Test Species

Dewatering and Remediation of Contaminated Sediments in the Field

The field experiment was conducted at Jones Island confined disposal facility (CDF) in Milwaukee, WI. This site was established in June of 2002. We established individual experimental units (cells) by excavating sediments from a small hole that was fit with an impermeable 36 mL polypropylene liner. Each cell is approximately 7 ft long x 7 ft wide x 3 ft deep. There are a total of 28 cells in the field experiment, allowing for 7 different treatments with 4 replicates that include 2 types of controls. On June 6, 2002, we planted the cells with seeds of J. effusus, Carex microptera, Tripsacum dactyloides, and S. exultata. Popular NM6 (Populus nigra x Populus maximowizzi) and Poplar OP367 (P. deltoides x P. nigra) were put into cells as 5-foot twigs. For the poplar varieties, a total of four poplar cells were planted, with two replicate cells of each variety. By June 27, 2002, none of the seeds from the J. effusus or the C. microptera germinated, most likely because of a dry period during the middle of the summer. At this point, it appeared as though the poplars, T. dactyloides, and the S. exultata were growing well. The cells that contained C. microptera were seeded to Andropogon gerardii and the cells that had contained J. effusus were seeded to Helianthus grosseratus. Both of these replacement plants are more terrestrial plants that we thought would have a better chance of germination in the drier sediments.

Immediately after seeding the more terrestrial species, excessive rain flooded the cells. Our cells became more aquatic in nature with algae and duckweed as typical volunteer species in the cells. Due to the facts that: (1) most seeds cannot germinate unless certain conditions exist; (2) the field is quite variable; and (3) the conditions for germination were unlikely to be obtained in July, we decided to vegetate the cells with established seedlings. We replaced plugs with intact root systems of Carex aquatalis in the cells that originally had C. microptera seeds, and we placed rhizomes with whole plants of Spartina pectinata in the cells that had started with J. effusus seeds. Approximately 1 week later, the transplanted plants were flourishing. Therefore, all cells were set to a water level of 2.5 cm standing water on average over the cell, and all cells were sampled with a bucket auger to obtain a baseline for remediation. Samples were taken from 0 to 20 cm and from 20 cm to the greatest depth obtainable in the given cell. We reset our initial date ("time zero") to August 7, 2002. As a result of continued rainfall, the cells accumulated water over the next 35 days (see Figure 2). The water in the cells supporting Tripsacum, Spartina, Control 2, Sesbania, Carex, and the OP367 are at or above the line for the Control 1. The only treatments that dewatered more than Control 1 were the NM6 Poplar variety and the overall poplar treatment.

Figure 2. Effect of Plant Species and Time on Removal of Standing Water From CDF Sediments

Study of Temporal Variations in Evapotranspiration (ET) in Wisconsin

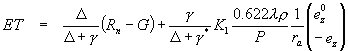
The Penman-Monteith combination equation is widely accepted as the accurate method for ET estimates from soil surfaces that have an optimal as well as a limited water supply. (Allen, et al., 1989; Jenson, et al., 1990; Smith, et al., 1991). This method considers net solar radiation as the energy available for evaporation and estimates the driving force for evaporation based on the water vapor pressure deficit between the surface and bulk atmosphere. Prevailing winds and surface roughness influence ET by affecting the aerodynamic resistance to moisture movement from the wet soil surface. Also, the canopy offers resistance to moisture movement. This method incorporates both these resistances to develop a theoretically sound model for estimating ET. The equation below shows different climatic variables as well as vegetative parameters influencing ET:

where ET is evapotranspiration in MJm-2d-1, Rn is net solar radiation, G is the soil heat flux, is the psychrometric constant, ez0 and ez are saturation vapor pressure (assumed as the vapor pressure at the soil surface) and actual vapor pressure in the air, and ra is the aerodynamic resistance, which is a function of elevations where wind speed, air temperature, and humidity are measured. The corrected psychrometric constant is *, which is a function of the ratio of aerodynamic resistance and canopy resistance. The canopy resistance, rc, is a function of canopy height and leaf area index. Net solar radiation, Rn, is a function of air temperature, relative humidity, cloudiness, albedo, percent sunshine hours, and latitude, and G depends on temperature of the soil surface. The detailed model for ET using this method can be found elsewhere (Jenson, et al., 1990).

This research project observed historical rainfall patterns across this region by observing 5-year, monthly averages between 1997 and 2001. This data is crucial in estimating the irrigation requirements in the proposed wetland treatments on dredged sediments from the lakes in the Milwaukee, WI region. Bare soil evaporation was estimated to observe how much water could be lost from nonvegetated surfaces and compared to the ET obtained from fully covered grass and alfalfa crops. We assumed near saturated conditions for comparing the rates of water loss because of ET.

Figure 3. Rainfall in Milwaukee, WI, During the Months April to November, Between 1997-2001

Figure 3 shows monthly rainfall patterns in this region during the summer months (Source: National Climatic Data Center at The National Oceanic and Atmospheric Administration (NOAA)). We observed an average rainfall of 5 mm/day during June and July in this region.

This research project will use a control plot without vegetation to observe evaporation from bare sediments in comparison to those carrying different vegetative treatments.

Figure 4. Evaporation From Unvegetated Soils. Data are not available for October and November 2001.

Figure 4 shows the mean daily evaporation in mm/day, assuming evaporation takes place from a near saturated soil. Approaches using either an energy budget and/or vapor pressure deficit in the atmosphere were used to estimate evaporation. Penman combined these two approaches (Penman, 1948; Van Bavel, 1967) to develop a theoretically sound method to estimate surface evaporation. In our study, this method was used to estimate daily surface evaporation from the historical climate data for Milwaukee, WI, comprising of dry air temperature, wind velocity, relative humidity, percent sunshine hours in a day, and latitude of the region. The data source was the National Climatic Data Center, at the NOAA. The maximum evaporation takes place during the months of June and July in all years observed. The typical surface evaporation during these months in this region is about 4 mm/day.

Reference crop evapotranspiration, Etr, is the rate at which water is evaporated from soil that has a fully covered canopy with a specific crop or arbitrarily a reference crop. These values will be corrected for actual crop evapotranspiration Et. Using crop coefficients, Kc and a ratio of Et to Etr, can be estimated using Etr and Et calculated for the actual crop using grass lysimeter experiments in the greenhouse. Penman (1948) used a combined approach, where he considered both solar radiation that provides potential for water evaporation and vapor deficit between the atmosphere and surface that creates a driving force for the loss of moisture from the soil and canopy. In a later study, Monteith (1981) considered the surface resistance to vapor transfer in the Penman equation and reconciled the thermodynamic and aerodynamic aspects to evapotranspiration. Grass and Alfalfa usually are used as reference crops. This study used the Penman-Monteith combination equation (Allen, et al., 1988) for estimating ET, which considered leaf area affecting stomatal resistance as well as aerodynamic resistance. This method generally was found to be accurate for humid locations (Jensen, et al., 1990). Figure 5 below shows estimated values of Etr for a fully clipped grass in a near-saturated soil computed, using climate data for Milwaukee, WI.

Figure 5. Evapotranspiration From Fully Covered Grass Canopy (12 cm height), Assuming Near-Saturated Soil Conditions

Figure 6 shows ET estimates from alfalfa crop assumed to be growing in near-saturated conditions in the Milwaukee, WI area. ET values for alfalfa crop significantly were greater than that for fully clipped grass, because alfalfa provided larger leaf surface area compared to grass. April, May, June, and July had an average ET of 7 mm/day, as evident from our estimates shown in Figure 5.

Wetland species can extract significant amounts of water and help accelerate the dewatering sediments. Their evapotranspiration rates are expected to be greater than the grass reference species used in the discussion above to study the climatic effects on evapotranspiration. Figure 6 shows evapotranspiration rates in inches (1 inch = 25.4 mm) from wetland species planted at an agricultural site in South Dakota during the 1994 growing season.

Figure 6. Evapotranspiration From Alfalfa (50 cm height) Canopy, Assuming Near-Saturated Soil Conditions

Rickeral, et al. (1995) studied wetland species diversity and their evapotranspiration rates from Agricultural landscapes with organic and no-till farming systems in the southeast Dakota region. River bulrush, cattail, and reed canary grass had greater transpiration rates when compared to other species as shown in Figure 6. These species showed greater ET rates when compared to reference grass species used to estimate ET in Milwaukee, WI. Although this result shows promise in using wetland species for dewatering sediments, it would be difficult to expect similar performance from these species in Milwaukee, WI, because local climatic factors play a dominant role in establishing ET rates.

Figure 7. ET in Inches as Influenced by Wetland Species From a Study Conducted in South Dakota During the 1994 Growing Season

References:
Abramowicz DA, Brennan MJ, Vandorth HM. Factors influencing the rate of polychlorinated biphenyl dechlorination in Hudson River sediments. Environmental Science and Technology 1993;27:1125-1131.

Allen RG, Pereira LS, Raes D, Smith M. Crop evapotranspiration-guidelines for computing crop water requirements. Irrigation and Drainage Paper No. 56, Food and Agricultural Organizations of United Nations, Rome, 1998.

Allen RG, Jensen ME, Wright JL, Burman RD. Operational estimates of reference evapotranspiration. Agronomy Journal 1989;81:650-662.

Jensen ME, Burman RD, Allen RG. Evapotranspiration and irrigation water requirements. American Society of Civil Engineers Manuals and Report on Engineering Practice 1990;70:234.

Monteith JL. Evaporation and surface temperature. Quarterly Journal of the Royal Meteorological Society 1981;107:1-27.

Penman HL. Natural evaporation from open water, bare soil and grass. In: Proceedings of the Royal Society of London 1948;193A:120-146.

Smith M, Allen RG, Monteith JL, Perrier A, Pereira LS, Segeren A. Report of the expert consultation on preocedures for revision of FAO guidelines for prediction of crop requirements. Food and Agricultural Organization of the United Nations, Rome, 1991.

Rickerl DH, Gritzner JH, Lafay C. Wetland plant diversity and evapotranspiration in agricultural landscapes. Session CP2: Critical Processes: Wetland Vegetation I. In: Landin MC, ed. Proceedings of the National Interagency Workshop on Wetlands, Technology Advances for Wetlands Science. U.S. Army Engineer Waterways Experiment Station, 1995.

Van Bavel CHM. Changes in canopy resistance to water loss from alfalfa induced by soil water depletion. Agricultural Meteorology 1967;4:165-176.

Future Activities:

Future activities for this research project are as follows:

Field Site. The future plan for this field project is to focus on establishing the plant species equally in the plots. Currently, the only plant species that is established well and evenly across all four replicates is C. aquatalis. Once we are satisfied that all of the plants are established equally across the replicates and will not die with the fluctuating water levels characteristic of the site the cells, we will bring them to the same water level. This will be considered as "time zero" for both dewatering and remediation of the sediments, and we will take samples.

Dewatering. We will visit the field site weekly to monitor dewatering progress, and we will sample soils from the cells that have no standing water or by measuring the depth of standing water. Samples in "dry" cells will be taken with a soil probe to depths of 0 to 10 cm, 10 to 20 cm, and greater than 20 cm.

Remediation. We will take quarterly samples for monitoring remediation with the use of a bucket auger from the same depths as the dewatering samples. We will analyze these samples for PAHs and PCBs with gas chromatography (GC)-flame ionization detector (FID) for the PAHs and GC-electron capture detector (ECD) for the PCBs. The extraction procedure for the PAHs involves dichloromethane and the extraction procedure for the PCBs is being developed, but will most likely involve tetrahydrafuran.

Ecology. The CDF that contains our cells is a 60+ acre CDF, which has been undergoing natural attenuation for many years. A wealth of information concerning plant species selection and plant successional can be obtained from the natural attenuation at the site. From historical records concerning the cell, we can determine the approximate length of time that the surface sediments have been exposed and have been undergoing natural phytoremediation by terrestrial plants. The CDF will be divided into areas based on elevation and we will conduct a plant species survey to determine which plant species are characteristic of the different stages of succession. This information can be used in an effort to jump-start the process by planting species that are characteristic of later stages of succession, which may enhance the remediation process.

The CDF has a low spot where there is still a body of water. There are many waterfowl and terrestrial animals that use this "wetland" as a source of water and food. However, the sediments at the bottom of this pond never have been exposed to the air except when they were dredged. As a result, many of the aerobic processes of degradation have not been permitted to transpire. We will sample the aquatic invertebrates of this "wetland" to determine if any of the invertebrates are accumulating the contaminants. In particular, we will focus our attention on sampling insects that dwell in the sediments or at the interface between the water and the sediments. We will analyze these aquatic invertebrates with the same extraction procedure described for the soil. For the aquatic insects, we will focus on the PAHs, as that is the predominate contaminant on the CDF. Aquatic insects also will be collected from the cells of our experiment; however, it may be difficult to obtain enough biomass for analysis in the cells. Therefore, in the cells, only large aquatic insects will be collected by hand.

The following greenhouse studies also will be performed in the next year:

Dewatering and Remediation of PCBs. A greenhouse study is planned, in which sediments collected from the Kinnickinnic River in Milwaukee (near the CDF) will be spiked with Aroclor 1260 to a concentration of less than 50 mg/kg. We will take the sediments through a 2-week aging cycle, based on the aging protocols in the literature. We suspect that aging will not significantly change the bioavailability of the PCBs, based on the results of Abromowicz, et al. (1993), who found that declorination rates of PCBs in the Hudson River occurred at levels comparable to that of freshly spiked material. We will plant the sediments with plugs of the plant species that are being tested and brought to the saturation point. We will weigh and monitor these sediments with a moisture probe to determine the dewatering potential of the plant species. At the end of dewatering, and at 6 and 12 months after the end of dewatering, the experimental units will be destructively sampled and analyzed for PCB concentrations.

In support of modeling efforts, we will estimate crop coefficients for each species by dividing the actual ET obtained from lysimeter data with reference ET obtained by a similar study as that performed for Milwaukee, WI, discussed in the preceding section. Once these crop coefficients are determined for each wetland species, the actual ET from these harvested species from Milwaukee, WI, can be estimated by multiplying the appropriate crop coefficient with the ET obtained from grass or alfalfa reference crop from Milwaukee, WI.

Cycling Study. We will conduct a study that will address the effects of cycling the sediments through wet and dry stages on PCB remediation. This study will be completed with one plant species, and there will be a "time zero" analysis and a 12-month analysis.

Column Study. We will conduct a study that will address the depth to which plant species can remediate the sediments, by growing Tripsacum dactyloides in long columns and monitoring the remediation of PCBs.

Journal Articles:

No journal articles submitted with this report: View all 16 publications for this subproject

Supplemental Keywords:

dewatering, remediation, dredged sediments, vegetative dewatering, bioavailability, biodegradation, bioremediation of soils, contaminants in soil, contaminated sediment, contaminated soil, contaminated soils, degradation, earthworms, genetics, microbes, microbial degradation, phytoremediation., RFA, Scientific Discipline, Waste, Water, Hazardous, Environmental Chemistry, Analytical Chemistry, Contaminated Sediments, Hazardous Waste, Environmental Microbiology, Molecular Biology/Genetics, Bioremediation, Environmental Engineering, bioavailability, dewatering, microbial degradation, bioremediation of soils, contaminated sediment, phytoremediation, vegetative dewatering, remediation, contaminated soil, biodegradation, microbes, genetics, earthworms, microbiology, degradation, dredged sediments, contaminants in soil

Relevant Websites:

http://www.wes.army.mil/el/workshop/images/pg116.gif Exit
http://bridge.ecn.purdue.edu/~mhsrc/ Exit

Progress and Final Reports:

Original Abstract
  • 2003 Progress Report
  • Final

  • Main Center Abstract and Reports:

    R828770    EAGLES - Atlantic Coast Environmental Indicators Consortium

    Subprojects under this Center: (EPA does not fund or establish subprojects; EPA awards and manages the overall grant for this center).
    R828770C001 Technical Outreach Services for Communities
    R828770C002 Technical Outreach Services for Native American Communities
    R828770C003 Sustainable Remediation
    R828770C004 Incorporating Natural Attenuation Into Design and Management Strategies For Contaminated Sites
    R828770C005 Metals Removal by Constructed Wetlands
    R828770C006 Adaptation of Subsurface Microbial Biofilm Communities in Response to Chemical Stressors
    R828770C007 Dewatering, Remediation, and Evaluation of Dredged Sediments
    R828770C008 Interaction of Various Plant Species with Microbial PCB-Degraders in Contaminated Soils
    R828770C009 Microbial Indicators of Bioremediation Potential and Success

    Top of Page

    The perspectives, information and conclusions conveyed in research project abstracts, progress reports, final reports, journal abstracts and journal publications convey the viewpoints of the principal investigator and may not represent the views and policies of ORD and EPA. Conclusions drawn by the principal investigators have not been reviewed by the Agency.

    Project Research Results

    • Final
    • 2003 Progress Report
    • Original Abstract
    16 publications for this subproject
    Main Center: R828770
    108 publications for this center
    14 journal articles for this center

    Site Navigation

    • Grantee Research Project Results Home
    • Grantee Research Project Results Basic Search
    • Grantee Research Project Results Advanced Search
    • Grantee Research Project Results Fielded Search
    • Publication search
    • EPA Regional Search

    Related Information

    • Search Help
    • About our data collection
    • Research Grants
    • P3: Student Design Competition
    • Research Fellowships
    • Small Business Innovation Research (SBIR)
    Contact Us to ask a question, provide feedback, or report a problem.
    Last updated April 28, 2023
    United States Environmental Protection Agency

    Discover.

    • Accessibility
    • Budget & Performance
    • Contracting
    • EPA www Web Snapshot
    • Grants
    • No FEAR Act Data
    • Plain Writing
    • Privacy
    • Privacy and Security Notice

    Connect.

    • Data.gov
    • Inspector General
    • Jobs
    • Newsroom
    • Open Government
    • Regulations.gov
    • Subscribe
    • USA.gov
    • White House

    Ask.

    • Contact EPA
    • EPA Disclaimers
    • Hotlines
    • FOIA Requests
    • Frequent Questions

    Follow.