Skip to main content
U.S. flag

An official website of the United States government

Here’s how you know

Dot gov

Official websites use .gov
A .gov website belongs to an official government organization in the United States.

HTTPS

Secure .gov websites use HTTPS
A lock (LockA locked padlock) or https:// means you have safely connected to the .gov website. Share sensitive information only on official, secure websites.

  • Environmental Topics
  • Laws & Regulations
  • Report a Violation
  • About EPA
Contact Us

Grantee Research Project Results

Final Report: Passive Sampling Devices (PSDs) for Bioavailability Screening of Soils Containing Petrochemicals

EPA Grant Number: R827015C002
Subproject: this is subproject number 002 , established and managed by the Center Director under grant R827015
(EPA does not fund or establish subprojects; EPA awards and manages the overall grant for this center).

Center: Center for the Study of Metals in the Environment
Center Director: Allen, Herbert E.
Title: Passive Sampling Devices (PSDs) for Bioavailability Screening of Soils Containing Petrochemicals
Investigators: Lanno, Roman , Duncan, Kathleen E
Institution: Oklahoma State University , University of Tulsa
EPA Project Officer: Aja, Hayley
Project Period: February 1, 1999 through January 31, 2000 (Extended to June 30, 2000)
Project Amount: Refer to main center abstract for funding details.
RFA: Integrated Petroleum Environmental Consortium (IPEC) (1999) RFA Text |  Recipients Lists
Research Category: Hazardous Waste/Remediation , Targeted Research

Objective:

Untitled Document

OBJECTIVE

Chemical bioavailability is key to determining the toxicity of a chemical in the soil, yet it is a problematic parameter to measure. Bioavailability may be described as the interaction between a biological receptor and a chemical that has the capacity to interact with the receptor, and it is specific to the exposure matrix, duration of exposure, route of entry, and receptor (e.g., invertebrate, microbe). By definition, the bioavailability of chemicals in soil can only be measured by responses of organisms such as growth, reproduction, mortality, bioaccumulation, or chemical metabolism. In soils, bioavailability is usually described in terms of chemical uptake by soil-dwelling macroscopic organisms or the ability of microbes to metabolize chemicals. Only a small fraction of total amount of organic chemicals in soil may actually be bioavailable, and this will vary with the physical and chemical characteristics of the soil (e.g., organic matter content). Total chemical levels in soil are usually determined following vigorous extraction with organic solvents, often grossly overestimating the bioavailable fraction of chemicals. The estimation of the bioavailable fraction of contaminants in soils is essential for the development of soil quality guidelines and to focus soil remediation efforts.

Bioassays with soil organisms provide an indirect estimate of bioavailability and may be confounded by other soil physical/chemical characteristics (e.g., texture, soil organic matter content). However, if the bioavailable fraction of chemical could be related to toxicological responses then it would be possible to pattern and develop chemical methods to mimic bioavailability. One method of estimating bioavailability is measuring residues of contaminants in soil organisms. Another approach is to model bioavailability using an organism surrogate, or biomimetic model, such as a passive sampling device (PSD). PSDs mimic the way organisms bind organic molecules by providing nonpolar or lipophilic matrices, which accumulate lipophilic organic contaminants from the external medium (Huckins et al. 1990). PSDs have a number of advantages over live organisms including ease of deployment, low production and maintenance costs, transportability, and applications to a wide variety of soils. Once lipophilic organics accumulate in PSDs and they are analytically identified and quantified, it is necessary to interpret these residues by calibration to residue levels and biological responses in soil organisms, and to microbial activity. Chemical residues in earthworms (i.e. bioavailability) related to biological responses such as growth and survival are termed critical body residues (CBRs) (Fitzgerald et al. 1996; Lanno and McCarty 1997) and can be compared to residues of chemicals in PSDs in order to make bioavailability comparisons. Bioavailability, as estimated by PSDs, would also be useful in assessing the bioremediation potential of soil and as a guide for corrective measures. The rate of bioremediation of crude oil typically decreases rapidly after an initial period of several weeks of intense activity, even though microbes with the requisite enzymatic capability may be present, and compounds may still be chemically extracted from the soil. It has been assumed that these compounds are no longer bioavailable, although this assumption has been difficult to test due to lack of methods to assess bioavailability. PSDs may provide the necessary methods.

The two most promising PSD technologies in assessing the bioavailability of chemicals in soil are semi-permeable membrane devices (SPMDs) and solid phase microextraction (SPME) fibers (Supelco Inc., Bellefonte, PA). SPMDs are membranes composed of low-density polyethylene (LDPE) layflat tubing filled with a known weight of neutral lipid (triolein) and have been shown to effectively mimic the function of bipolar lipid membranes in the uptake of lipophilic contaminants (Huckins et al. 1990). SPMDs have been used effectively to assess toxicant bioavailability in water and sediment systems (Huckins et al. 1990, 1993), but their application to soil systems remains to be examined in detail. Solid phase microextraction (SPME) fibers represent an even simpler PSD technology that enables the sampling of volatile and non-volatile hydrophobic organics with the added benefit of no extraction and concentration procedures prior to GC analysis (Parkerton and Stone 1989; Verbruggen 1999; Wells and Lanno 2001).

Specific objectives of the proposed research include:

  1. To compare the relative efficacy of SPMDs and SPMEs in estimating the availability of petroleum hydrocarbons from soils, ease of deployment, ease of chemical analysis, and cost. PSDs will be deployed in soils representing aged or weathered soils as well as soils that have been recently amended with petroleum product.
  2. To calibrate the availability of petroleum hydrocarbons from soils as measured by PSDs to bioavailability as determined by CBRs in soil organisms, microbial activity, and numbers of degradative bacteria.
  3. Conduct preliminary investigations into the effects of modifying factors of bioavailability of soil contaminants (e.g., nutrient levels - N, P, K) as assessed by PSDs and microbial activity.

Petrochemical industries may generate wastes that include a mixture of aromatic and aliphatic hydrocarbons, some of which are recalcitrant to biodegradation. Disposal of these wastes has become an expensive problem for the petrochemical industry and is often complicated by outdated and unrealistic cleanup guidelines. These guidelines are often based solely upon chemical analysis following vigorous solvent extraction, with little consideration for the actual exposure, bioavailability, or hazard presented by these chemicals. These compounds may be disposed of in a number of ways, including in situ natural attenuation and application to "land-farms" where environmental conditions are optimized (e.g., oxygen, nutrient levels, soil moisture), providing favourable conditions for their biodegradation by bacteria. Although levels of most components of these mixtures are reduced by volatilization or biodegradation, chemical residues still persist. Chemical analysis can detect these recalcitrant fractions, but provides little information on the level of toxicity to soil-dwelling organisms or bioavailability to microbes. Contaminant levels can remain above soil quality guidelines (SQGs) without evidence of toxicity in plants or earthworm tests. Information about bioavailability would enable the development of realistic cleanup criteria that target the chemicals potentially responsible for toxicity. If estimates of which chemicals are potentially bioavailable can be made using surrogates for soil organisms, then these surrogates can be used as a rapid, cost effective screening tool to determine the toxicity of contaminants in soil and their bioremediation potential. This would translate into reduced cleanup costs with considerable financial savings for the petrochemical industry.

A current trend in setting clean-up levels for contaminated sites is the application of risk assessment procedures, such as Risk-Based Corrective Action (RBCA) (ASTM 1995). Existing RBCA protocols address human risk associated with contaminated sites, but new protocols are currently in draft form which consider the final land use of the site to be remediated and risk to ecological receptors (ASTM RBCA EcoRisk Task Group; Suter 1997). Within the RBCA framework, a provision exists whereby clean-up levels can be established on a site-specific basis, based upon sound scientific data for individual sites. This is appealing to the regulated community, since existing SQGs are extremely conservative in order to account for the heterogeneous nature of soil composition and chemical distribution. Clean-up of contaminated sites in the United States averages approximately $25 million per site (Milloy 1995), emphasizing the need to focus on site-specific, risk-based decision making to reduce these costs in a scientifically defensible manner.

The long-term benefits of developing a rapid-screening methodology based on passive sampling devices (PSDs) for estimating bioavailability of petrochemicals in soils include:

  1. Reduced reliance on the use of live test organisms, especially when test soils have normal physical and chemical characteristics that are incompatible with test organism health,
  2. Reduced cost of estimating the bioavailability of nonpolar organic contaminants in soils by replacing organism-based screening toxicity tests with PSD-based measures of bioavailability.

Using PSDs as a screening tool, followed by toxicity tests if sufficient levels of chemicals are determined to be bioavailable, will provide a focus for the development of realistic cleanup guidelines by regulatory agencies that are based upon the actual bioavailability of a chemical in soil rather than only on chemical measures. Estimates of the bioavailability of residual petroleum hydrocarbons using PSDs would also permit a quick and relatively inexpensive means to assess whether or not further manipulation of land-farm conditions (e.g., watering, application of fertilizer or surfactants) would be successful in enhancing bioremediation.

By definition, the bioavailability, or availability of chemicals in soil to ecological receptors, can only be determined by measuring the uptake and/or metabolism of chemicals by organisms. In soils, bioavailability is usually described in terms of chemical uptake by soil-dwelling macroscopic organisms or the ability of microbes to metabolize chemicals. Only a small fraction of total organic chemicals in soil is actually bioavailable, and this will vary with soil composition. Total chemical levels in a soil are usually determined following vigorous extraction with organic solvents or supercritical fluid, often grossly overestimating the bioavailable fraction of chemicals. If we could accurately determine the fraction of chemicals bioavailable to soil organisms, then we could properly pattern and develop chemical methods to mimic bioavailability. One method of estimating bioavailability is measuring residues of contaminants in soil organisms. Another approach is to model bioavailability using an organism surrogate, or biomimetic model, such as a passive sampling device (PSD). PSDs mimic organisms in the way they interact with organic molecules by providing nonpolar phases which accumulate lipophilic organic contaminants from the external medium (Huckins et al. 1990). PSDs have a number of advantages over live organisms including ease of deployment, low production and maintenance costs, transportability, and applications to a wide variety of soils. Once lipophilic organics accumulate in PSDs and they are analytically identified and quantified, it is necessary to interpret these residues by calibration to residue levels and/or biological responses in soil organisms, and to microbial activity. Chemical residues in earthworms (i.e. bioavailability) related to biological responses such as growth and survival are termed critical body residues (CBRs) (Fitzgerald et al. 1996; Lanno and McCarty 1997) and can be compared to residues of chemicals in PSDs in order to make bioavailability comparisons. Bioavailability, as estimated by PSDs, would also be useful in assessing the bioremediation potential of soil and as a guide for corrective measures. The rate of bioremediation of crude oil typically decreases rapidly after an initial period of several weeks of intense activity, even though microbes with the requisite enzymatic capability may be present, and compounds may still be chemically extracted from the soil. It has been assumed that these compounds are no longer bioavailable, although this assumption has been difficult to test due to lack of methods to assess bioavailability. PSDs may provide the necessary methods.

The focus of the proposed research is the examination of various biomimetic surrogates for estimating the bioavailability of petroleum hydrocarbons from soil. Bioavailability, as estimated by PSDs, will be compared to microbial activity and the number of microorganisms capable of degrading specific chemical residues accumulated in PSDs in order to more accurately determine the factors limiting biodegradation. Biomimetic approaches will actually relate bioavailability estimates to microbial responses and quantify microbial bioavailability on a chemical level. The importance of this approach lies in its immediate applications in assessing bioremediation potential and in ecological risk assessment by providing a quantitative measure of the fraction of total chemical that is bioavailable from soil. The ultimate objective of this research is to be able to use PSDs as a rapid, inexpensive, screening tool for estimating the bioavailability of nonpolar contaminants to determine if toxicity testing or site cleanup is actually necessary. If a biomimetic surrogate for estimating the bioavailability of chemicals in soils were calibrated to biological responses, this would result in reduced reliance on toxicity testing for many chemicals.

The two most promising PSD technologies in assessing the bioavailability of chemicals in soil include:

  1. Semi-permeable membrane devices (SPMDs) - membranes composed of low density polyethylene (LDPE) layflat tubing filled with a known weight of neutral lipid (triolein)
  2. Solid phase microextraction (SPME) fibers (Supelco Inc., Bellefonte, PA)

LDPE has been shown to effectively mimic the function of bipolar lipid membranes of biological systems in uptake of environmental contaminants and the triolein in SPMDs represents the neutral or storage lipid pool in organisms (Huckins et al. 1990). Together, these phases comprise the functional components crucial to determining the bioavailability of nonpolar chemicals by living organisms when uptake is first-order kinetics by diffusion. SPMDs have been used effectively to assess bioavailability in water and sediment systems (Huckins et al. 1990, 1993), but their application to soil systems remains to be examined in detail. Preliminary applications of PSDs containing C18-sorbent have been used successfully to detect the presence of contaminants in soil (Johnson et al. 1995), but these results have not been related to bioavailability and toxicity using test organisms. Solid phase microextraction (SPME) fibers represent an even simpler PSD technology that enables the sampling of volatile and non-volatile hydrophobic organics with the added benefit of no extraction and concentration procedures prior to GC analysis (Parkerton 1998).

The general hypothesis of this research is that chemical measures of bioavailability using PSDs correlate better with hydrocarbon bioavailability to microbes and soil-dwelling invertebrates than traditional measures of chemical exposure such as total chemical levels. Bioavailability, as estimated by PSDs, will be compared to microbial activity and the number of microorganisms capable of degrading specific chemical residues accumulated in PSDs to more accurately determine environmental factors limiting biodegradation. The importance of this approach lies in its immediate applications to assessing bioremediation potential and in ecological risk assessment by providing a quantitative measure of the fraction of total chemical that is bioavailable from soil. The ultimate objective of this research is to be able to use PSDs as a rapid, inexpensive, screening tool for estimating the bioavailability of nonpolar contaminants to determine if toxicity testing or site cleanup is actually necessary. If a biomimetic surrogate for estimating the bioavailability of chemicals in soil could be calibrated to biological responses, this would result in reduced reliance on toxicity testing for many chemicals.

Specific objectives of the proposed research include:

  1. To compare the relative efficacy of SPMDs and SPMEs in estimating the availability of petroleum hydrocarbons from soils, ease of deployment, ease of chemical analysis, and cost. PSDs will be deployed in soils representing aged or weathered soils as well as soils that have been recently amended with petroleum product.
  2. To calibrate the availability of petroleum hydrocarbons from soils as measured by PSDs to bioavailability as determined by CBRs in soil organisms, microbial activity, and numbers of degradative bacteria.
  3. Conduct preliminary investigations into the effects of modifying factors of bioavailability of soil contaminants (e.g., nutrient levels - N, P, K) as assessed by PSDs and microbial activity.

Methods:

Site selection

The field site selected for this study was in the Nature Conservancy Tallgrass Prairie Preserve, Pawhuska, OK. Although this area is a nature preserve, there are still many operating oil wells. A recent pipeline break (January 1999) resulted in an area of contamination composed of two lobes (North (NL) and South (SL); Figure 1). Preliminary TPH measurements in this area (unpublished data from K. Sublette, U. of Tulsa) suggested that the North lobe was more heavily contaminated (mean approx. 31,000 mg/kg) than the South lobe (mean approx. 4,400 mg/kg), providing a gradient of recent contamination. Two different types of reference sites were also used in the tests. SPMDs were deployed at reference sites (P) upslope of the north lobe of the oil spill in order to establish baseline tall grass prairie conditions and the variability of these baseline conditions. A tilled, untreated area that serves as a control for the tilling of the oil-contaminated areas served as a soil treatment control. Prairie seed hay was added to the tilled prairie and to the North Lobe. Half of each lobe of contamination was treated with nutrients (C:N:P:K 100:1:0.3:0.3, N as ammonium nitrate, P as superphosphate, K as potassium oxide) to examine the effect of amendments on the bioavailability and degradation of hydrocarbons.

Application of PSDs

Semi permeable membrane devices (SPMDs) (2.54 cm x 5.08 cm, 0.0556 g triolein, Environmental Sampling Technologies (EST), St. Joseph, MO) were received from the manufacturer in hexane-rinsed, sealed, tin cans. An initial deployment of SPMDs was conducted to examine whether any accumulation of hydrocarbons would occur. If no hydrocarbon accumulation were observed during the preliminary deployment, no further SPMD deployment would be conducted. The preliminary deployment was conducted in late June-early July 1999. Two SPMDs were deployed in the NL-till area closest to the point of the pipeline break to ensure maximum petroleum hydrocarbon exposure from the soil. SPMDs were deployed by simply digging a hole with a shovel, breaking up the soil clod into smaller fragments and then placing the SPMD flat in the bottom of the hole. All handling of SPMDs was conducted using clean latex gloves. The SPMDs were placed at a depth of approximately 15 cm and gently covered with the soil that was removed in the preparation of the hole. The soil was gently compressed into the hole in order to avoid possible damage to the SPMDs. An orange strip of flagging tape long enough to extend above the soil surface once the SPMD was buried was attached to each SPMD. A one-foot square area around the hole for each SPMD was marked with four orange flags for ease of location. The SPMDs in the preliminary trial were left in place for a period of 14 days.

Figure 1.

Figure 1: Map of the Tallgrass Prairie preserve study site. Legend: NL-till - North lobe of spill, straw tilled in; NL-nut - North lobe of spill, nutrients added; SL-till - South lobe of spill, straw tilled in; SL-nut - South lobe of spill, nutrients added; TL - prairie control tilled with the addition of straw; P - prairie control areas; X - site of pipeline rupture that created the spill

After removal from the soil, each SPMD was rinsed with RGW to remove any soil, sealed in its original can, and frozen (-20 (C) until dialysis. Trip blank, manufacture blank, and spike-recovery SPMDs were used. Trip blanks were opened at various intervals during deployment. Manufacturer blanks were not opened until dialysis. Spike recovery was done by injecting 100 µL of PHE certified standard (Chem Service F81MS, 100 (g/ml) through the membrane and resealing the membrane. Spike recovery for PHE was 80% and PHE was not detected in blank SPMDs. Since HPLC analysis of dialysates from the two SPMDs in the NL-till area during the preliminary deployment showed quantifiable levels of phenanthrene and benzo[a]pyrene, it was decided to proceed with a full deployment of SPMDs. Four SPMDs were deployed in each of the prairie and tilled reference areas and in the two sections of the north lobe of the spill. Three SPMDs were placed in each half of the south lobe of contamination, for a total of 22 SPMDs. The SPMDs were deployed under field conditions for 21-days.

Hexane dialysis and gel permeation cleanup (GPC) of SPMDs was conducted by Environmental Sampling Technologies (EST; St. Joseph, MO) following the methods of Huckins et al. (1993). Briefly, after hexane dialysis, samples were concentrated using a Kuderna-Danish evaporator and reduced to 0.5 ml under UHP-grade nitrogen gas. Samples were then filtered through sodium sulfate to remove any possible water contamination, evaporated under UHP nitrogen, and passed through GPC with methylene chloride as the mobile phase. After the GPC procedure, samples were again concentrated under UHP nitrogen, quantitatively transferred to ampules using hexane, and sealed. SPMD extracts were received from EST in 5-ml ampules and quantitatively transferred to 15-mL glass graduated conical-centrifuge tubes (Baxter, ( 0.05 ml) and adjusted to analytical volume. Hydrocarbon content of the dialysate was analyzed by HPLC or GC-MS.

Bioavailable petroleum hydrocarbon (BPH), using a solid-phase microextraction fiber (SPME), was determined according to a modified method of Parkerton and Stone (1998). The goal of SPME analysis was to determine the potentially bioavailable fraction of hydrocarbons in the soil rather than TPH. Solid phase microextraction fibers (SPME, 7 um polydimethyl siloxane (PDMS) with manual holders, Supelco, Bellefonte, PA) were used to assess uptake of hydrocarbons directly from the aqueous phase of soil at 24 (1(C. Ten SPME fiber assemblies were used in this study. Soil samples (0.500 g), 15 mL RGW, and a Teflon(-coated magnetic stir bar (0.3 cm x 1.3 cm) were placed in screw-top amber SPME vials (15 ml headspace with Teflon septum, Supelco). A ten-place magnetic stirrer (1200 RPM, IKA) was used with ten sample vials and ten SPME fiber assemblies to obtain steady-state data for hydrocarbon concentrations in soil suspensions. A support stand was constructed to hold ten SPME manual holders simultaneously during exposure. The needle of the SPME apparatus was inserted through the Teflon septum of the sample vial when the fiber was deployed. Each vial was aligned on the magnetic stirrer for optimum stirring velocity (~1 000 rpm). Each SPME fiber was exposed (until steady state was achieved - 4 d). This was verified during method development by monitoring hydrocarbon uptake at 2, 4, and 8 d. Hydrocarbon analysis was accomplished by gas chromatography (Tracor 565 GC-FID, megabore fused silica capillary column (DB-5, 30 m X 0.53 mm ID X 1.5 (m, J&W Scientific), 0.75-mm ID SPME-inlet liner (Supelco), JADE septum-less injector with SPME adapter (0.56 mm ID, Alltec)). Helium (High Purity, Sooner Airgas) was used as the carrier and makeup gas. The flow rate for the carrier gas was set to 35 cm/sec linear velocity and make-up flow rate was set to 45 mL/min. Hydrogen (fuel for FID, High Purity, Sooner Airgas) flow rate was 35 mL/min and breathing air (oxidant, Grade D, Sooner Airgas) flow rate was 350 ml/min. The temperature program for direct injection GC analysis was: injection port temp-290 (C, detector temp-300 (C, initial oven temp-160 (C (5 minute hold) with 35 (C/min ramp to 210 (C (7 minute hold).

Thermal desorption and conditioning of the SPME fiber was accomplished by exposing the fiber while inserted into the heated injection port (290 (C) of the GC for five minutes. This resulted in adequate desorption followed by blank analyses of each fiber to ensure no carryover problems existed. SPME fiber performance was determined before and after each soil determination by measuring a reference standard solution.... Integration of peaks was done by external calibration using injections of hydrocarbon standards with a certified PHE check standard (Chem Service, F81MS). Chromatogram data was collected and analyzed using PeakNet( chromatography software (Version 5.1, Dionex 1999).

Total petroleum hydrocarbon (TPH)

The TPH level of the soils were analyzed by standard EPA Methods 418.1 (IR) and 8015-B (GC) by Soil Analytical Services, Inc. (SASI), College Station, Texas. Soil samples were shipped by overnight delivery to SASI in completely filled glass jars with Teflon(-lined lids. On two occasions samples were also evaluated in-house (University of Tulsa, Dept. Chemistry, supervised by Dr. William Potter) with Petroflag( (Dexil Corp.), which uses a spectrophotometer to measure the turbidity produced by hydrocarbon-surfactant micelles after suspending the soil in a proprietary solution.

Soil chemistry

Soil samples from the treatment areas and from two uncontaminated, undisturbed areas in May, 1999 for soil chemistry analysis (Janzen 1993). Chloride, sulfate, nitrate, and phosphate levels were measured in water extracts of soil by ion chromatography (IC), while calcium, magnesium, and sodium levels were determined by inductively-coupled plasma spectrometry (ICP) (University of Tulsa, Dept. Chemistry, supervised by Dr. William Potter).

Soil sampling for microbial enumeration

Soil was collected for microbial enumeration with a sterile polyethylene centrifuge tube (50-mL size, approximately 5-cm diameter x 18 cm ) pushed into the soil at a depth of 1-8 cm. Four samples were taken per sampling location, all within a one-foot radius of a SPMD, and collected into a sterile Whirlpac( bag for transport back to the laboratory. Soil was stored in the Whirlpac( bag at 4o C for no more than three days before being composited by thorough mixing in a sterile glass beaker. A subsample was withdrawn for microbial enumeration and for estimation of soil moisture. Soil moisture was determined by gravimetric measurement of two 10-g samples (wet weight) after oven drying. All bacterial counts were expressed as per gram of soil (dry weight).

Aerobic heterotrophic bacteria and naphthalene-degraders

A soil suspension of composited soil was made for a series of ten-fold dilutions. Soil subsamples (5 g) were removed from each Whirlpac( bag and placed in a sterile 50-mL tube containing 25 mL of sterile isotonic saline (0.85% NaCl, pH 7.0) and 100 ug/mL cycloheximide (cxy, Sigma Chemical Co., St. Louis, MO) as an anti-fungal agent. The suspensions were mixed thoroughly by vortexing, diluted, and spread-plated (three replicates per dilution) on either PCA (Plate Count Agar-Difco) with cxy for total aerobic heterotrophs or mineral salts agar (MS, 8) with trace metals and cxy containing naphthalene (NAP) added as crystals on the bottom of the plate lid for naphthalene-degraders. All plates were incubated at room temperature. Colonies on PCA plates were counted after 48 hrs and again at one week, while colonies on NAP plates were counted after one week and again at two or three weeks, depending on their rate of growth. Individual colonies on NAP plates were transferred with a sterile toothpick from their original plates to two different sets of plates, one containing the same medium as the original plate, the other consisting of MS agar without any added hydrocarbon. This allowed confirmation of the ability of these isolates to utilize hydrocarbons by their abundant growth, or their lack of growth on the MS agar.

Results and Discussion:

Preliminary deployment of SPMDs in the NL-till section of the spill area accumulated detectable levels of the PAHs aromatic hydrocarbons phenanthrene (3.7+-3.6, Mean+-SD, n=2) and bezo[a]pyrene (2.5+-1.8, Mean+-SD, n=2) (Figure 2). SPMDs deployed in prairie reference areas contained no detectable hydrocarbons. Upon removal of the SPMDs from the NL-till area, it was noted that the SPMDs had a greenish-yellow tinge to them rather than being completely clear. Based upon these results, it was decided to conduct the deployment of a full complement of SPMDs in the test area. On July 28, bison that have been re-introduced to the Tallgrass Prairie preserve were observed walking on and taking dust baths on the areas where the SPMDs were deployed. The condition of the sampling area was checked on August 6 to determine if any severe damage had been inflicted on the sampling devices. Although flags were missing from some of the SPMDs in the areas that were tilled and received nutrients, it was decided that the SPMDs would be left undisturbed for the duration of the deployment period. When SPMDs were retrieved from the study area, it was found that only 14 of the 22 SPMDs deployed were still intact and suitable for dialysis and GPC. The remaining eight had been ruptured by the walking and rolling of bison in the study area. Analysis of the dialysates from the SPMDs deployed in the North lobe showed that there were no PAHs detectable by HPLC analysis. Further analysis of these samples by GC/MS found detectable levels of C12 hydrocarbons. The results of the definitive SPMD deployment are disappointing given that PAHs could be detected in SPMDs from the preliminary deployment. One reason for this difference could be environmental conditions in the study area during SPMD deployment. During the preliminary deployment, heavy rains were present, saturating he ground and resulting in pooled water on the study site. Very little precipitation was present during the definitive deployment, resulting in SPMD exposure during dry conditions. Since uptake of nonpolar chemicals by SPMDs is by diffusion, extremely wet conditions resulting in the immersion of the SPMD in a saturated soil would enhance hydrocarbon uptake, while dry conditions would be as favorable for diffusive uptake. Further research must be conducted to examine the effects of various environmental conditions on chemical uptake by SPMDs if they are to be used in screening for available chemical levels in field situations.

Analysis of hydrocarbon-contaminated soils by solid-phase microextraction (SPME) techniques has not yet been completed. Adaptation of the technique of Parkerton and Stone (1998) has taken much longer than expected. Baseline parameters such as fiber equilibration time with the soil sample (96 h) have been established and a set of standards have been developed to allow for the interpretation of SPME data. Initial analysis of a soil sample from the NL-till area is presented in Figure 3 for comparison to a TPH by GC analysis of the same soil (Figure 4). TPH by GC analysis of a prairie reference soil (Figure 5) is also presented for comparison. The method for the comparison of exposure dose between the SPME approach and TPH analysis will be to compare quantitatively and qualitatively the area under the curve for diesel range organics (DRO - C10-C28). SPME analysis of soils for bioavailable petroleum hydrocarbon (BPH) differs from TPH in two ways. Quantification of detectable hydrocarbon by SPME analysis (BPH) suggests that approximately 1% of TPH is actually present in a phase detectable by SPME. Additionally, SPME analysis appears to have a slightly lower sensitivity for hydrocarbons in the lower MW range for DRO (Figure 2) as compared to TPH by GC analysis (Figure 3).

In general, TPH levels decreased over the course of the season, as expected (Figure 6), with the exception of the Oct. 9 Petroflag( samples. Soil samples collected shortly before tilling and fertilizer application took place confirm that there was no contamination with brine (Table 1). Heterogeneity of the distribution of oil prevents strict comparisons between soils sampled at different times using alternative methods of measuring TPH levels, nevertheless, the discrepancy between the Oct. 9 levels measured by Petroflag(, and those expected from continuing the downward trend seen with GC and IR, make us hesitant to recommend the exclusive use of Petroflag( for TPH measurements at this time in spite of its low cost and rapidity. Once SPME analysis of soils for bioavailable petroleum hydrocarbon (BPH) is completed, it may become evident that BPH may be a useful tool in monitoring not only the bioavailable hydrocarbon, but also general trends in hydrocarbon levels in soil.

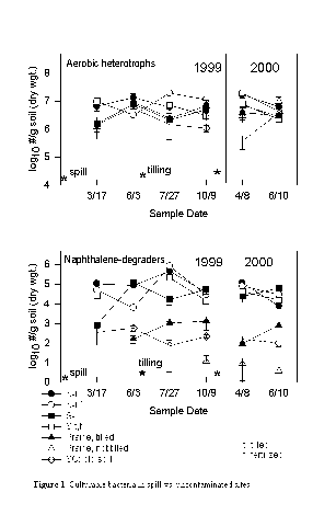
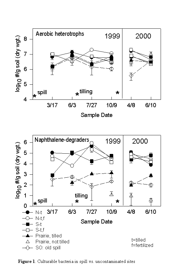
The numbers of hydrocarbon-degrading bacteria, represented by aerobic heterotrophs capable of growth on naphthalene, were elevated in comparison to samples taken from the tilled, uncontaminated prairie and a nearby aged spill site over the period from March 1999 to June 2000 (Figure 7). Similar trends were observed in previous studies of crude-oil contaminated sites in the Tallgrass Prairie (Duncan et al. 1999). Simply measuring numbers of aerobic heterotrophic bacteria, without specifically examining naphthalene-degrading bacteria, suggests no differences or trends between sites.

Toxicity tests conducted with earthworms (Eisenia fetida) show that levels of hydrocarbons in the soils were sufficient to cause mortality. Complete mortality of earthworms exposed to soils from the North lobe occurred in less than seven days (Figure 8). Although soils from the South lobe were less toxic, 13-27% mortality was observed in these treatments as well, suggesting that sufficient hydrocarbon was present to cause lethal effects. No mortality was observed in prairie reference and tilled reference soils. Cocoon production was evident only in the two reference soils and in soil from the South lobe-nutrient treatment. Cocoon production was greatest in the tilled reference area, with lower, but consistent numbers of cocoons in the prairie reference soil. Cocoons were only produced in one replicate of worms exposed to South lobe-nutrient soils, suggesting less than optimal conditions for cocoon production.

A

Figure 2a.

B

Figure 2b.

C

Figure 2c.

Figure 2: Polycyclic aromatic hydrocarbons (PAH) detected in semi-permeable membrane devices (SPMDs) deployed for two weeks in the north lobe of the Tall Grass Prairie spill site during early July, 1999. Chromatograms A and B are replicate SPMDs, while chromatogram C is a hexane extraction of a certified reference soil containing PAHs. SPMDs deployed in prairie reference areas contained no detectable hydrocarbons.

Figure 3.

Figure 3: TGP North Lobe Composite SPME - 20 mg DRO/kg soil or 10152.59 ng on the SPME fiber [0.500 g soil (4 mm sieved, as received), SPME 7 um polydimethyl siloxane (PDMS), 15 mL DI Water, 96 h stirring (~1 000 RPM @ 22 (C), Thermal desorption of SPME @ 300 (C for 7 min. DRO - Diesel Range Organics C10-C28 (12.5 - 33.5 min)

Figure 4.

Figure 4: TGP North Lobe Composite TPH - 2780 mg DRO/kg soil [10 g soil (4 mm sieved, as received), 25 mL MeCl2 (Fisher - Optima Grade), 15 min sonication @ 60% duty cycle, 15 ml recovered and concentrated to 2 mL] DRO - Diesel Range Organics C10-C28 (12.5 - 33.5 min)

Figure 5.

Figure 5: TGP Prairie Reference TPH - 0.2 mg DRO/kg soil [10 g soil (4 mm sieved, as received), 25 mL MeCl2 (Fisher - Optima Grade), 15 min sonication @ 60% duty cycle, 15 ml recovered and concentrated to 2 mL] DRO - Diesel Range Organics C10-C28 (12.5 - 33.5 min)

Table 1. Soil Chemistry

Site Cl- SO4= NO3- PO4- Ca2+ Mg2+ Na+
N-t 19.5* 2.2 2.2 0.1 9.8 0.5 6.1
N-t, f 29.3 2.8 2.8 0.3 9.0 0.7 9.4
S-t 17.1 1.1 2.0 0.2 8.5 0.5 8.1
S-t, f 15.8 1.1 1.1 0.2 8.7 0.5 20.6
Prairie 1 12.7 2.4 2.4 0.0 9.1 0.6 29.6
Prairie 2 24.2 1.9 1.9 0.2 7.2 0.6 5.6
* values in mg/kg

Note: samples were collected before the area was tilled and fertilizer applied. The site designations refer to manipulations that were performed after the soil samples were collected for chemical analysis.

N-t: North Lobe, tilled
N-t, f: North Lobe, tilled and fertilized
S-t: South Lobe, tilled
S-t, f: South Lobe, tilled and fertilized
Prairie 1, Prairie 2: adjacent, uncontaminated control areas

Figure 6.

Figure 6: TPH levels over the course of the 1999-2000 sampling season (averaged values). Upper figure: TPH as measured by GC (EPA Method 8015-B) by Soil Analytical Services, Inc. (SASI). Middle figure: TPH as measured by IR (EPA Method 418.1, SASI). Lower figure: TPH as measured by Petroflag™ Dexil Co.)

Figure 7.

Figure 7: Culturable aerobic heterotrophic bacteria and naphthalene-degrading heterotrophic bacteria from reference areas and hydrocarbon-contaminated areas of the Tallgrass Prairie preserve. Soil samples cover a period from March 1999 to June 2000.

Figure 8.

Figure 8: Earthworm mortality in tests with soils from the Tallgrass Prairie spill site.

Figure 9.

Figure 9: Cocoon production by earthworms in soils from the Tallgrass Prairie spill site.

Summary/Accomplishments (Outputs/Outcomes):

A break in a pipeline in February 1999 resulted in a spill of petroleum hydrocarbons at the Tallgrass Prairie preserve with a gradient of hydrocarbons, as determined by TPH, ranging from approximately 31,000 mg/kg in the North lobe to 4,400 mg/kg in the South lobe. Earthworm toxicity tests suggested lethality in all hydrocarbon-contaminated soils tested, ranging from 100% mortality in North lobe soils to partial mortality (13-27%) in South lobe soils. The numbers of hydrocarbon-degrading bacteria, represented by aerobic heterotrophs capable of growth on naphthalene, were elevated in comparison to samples taken from the tilled, uncontaminated prairie and a nearby aged spill site over the period from March 1999 to June 2000. Preliminary deployment of SPMDs during wet, rainy conditions resulted in the accumulation of detectable levels of PAHs, but subsequent deployment during dry conditions did not result in the accumulation of hydrocarbons.

Conclusions:

These results suggest that the hydrocarbon spill is toxic to earthworms tested in the soil and the presence of hydrocarbon has resulted in an increase in numbers of bacteria capable of degrading naphthalene. SPMDs placed deployed in situ at the contaminated site were marginally effective at taking up hydrocarbons from the soil, suggesting that SPMDs may be of limited use in measuring bioavailable hydrocarbons in soil, at least under dry environmental conditions. More information is needed on the effects of various environmental conditions on the uptake of nonpolar compounds by the SPMDs in soils to understand the limitations of this technology in determining chemical bioavailability in soils. Solid-phase microextraction (SPME) techniques have been developed to determine the bioavailable fraction of hydrocarbons in soil, but measurements in all test soils has not yet been completed. Once tests are completed, bioavailable petroleum hydrocarbons (BPH) determined using SPME technology would be correlated with earthworm responses to examine the dose-response relationship.

A break in a pipeline in February 1999 resulted in a spill of petroleum hydrocarbons at the Tallgrass Prairie preserve. A gradient of hydrocarbons, as determined by TPH, ranging from approximately 31,000 mg/kg in the North lobe to 4,400 mg/kg in the South lobe. Earthworm toxicity tests suggested lethality in all hydrocarbon-contaminated soils tested, ranging from 100% mortality in North lobe soils to partial mortality (13-27%) in South lobe soils. The numbers of hydrocarbon-degrading bacteria, represented by aerobic heterotrophs capable of growth on naphthalene, were elevated in comparison to samples taken from the tilled, uncontaminated prairie and a nearby aged spill site over the period from March 1999 to June 2000. These results suggest that the hydrocarbon spill is toxic to earthworms tested in the soil and the presence of hydrocarbon has resulted in an increase in numbers of bacteria capable of degrading naphthalene. SPMDs placed deployed in situ at the contaminated site were marginally effective at taking up hydrocarbons from the soil. Preliminary deployment during wet, rainy conditions resulted in the accumulation of detectable levels of PAHs, but subsequent deployment during dry conditions did not result in the accumulation of hydrocarbons. These results suggest that SPMDs may be of limited use in measuring bioavailable hydrocarbons in soil, at least under dry environmental conditions. More information is needed on the effects of various environmental conditions on the uptake of nonpolar compounds by the SPMDs in soils to understand the limitations of this technology in determining chemical bioavailability in soils. Solid-phase microextraction (SPME) techniques have been developed to determine the bioavailable fraction of hydrocarbons in soil, but measurements in all of the test soils has not yet been completed. Once tests are completed, bioavailable petroleum hydrocarbons (BPH) determined using SPME technology will correlated with earthworm responses to examine the dose-response relationship.

Journal Articles:

No journal articles submitted with this report: View all 5 publications for this subproject

Supplemental Keywords:

Sustainable Industry/Business, RFA, Scientific Discipline, Ecosystem Protection/Environmental Exposure & Risk, INTERNATIONAL COOPERATION, Geographic Area, Waste, Water, POLLUTANTS/TOXICS, Hazardous, Remediation, Technology for Sustainable Environment, Engineering, State, Chemistry, Sustainable Environment, Biology, Analytical Chemistry, Contaminated Sediments, Monitoring/Modeling, Hazardous Waste, Midwest, Bioavailability, Bioremediation, Chemicals, Environmental Engineering, hydrocarbons, toxicity, oil removal, petrochemical waste, Oklahoma (OK), bioremediation of soils, measurement, microorganism, soil, oil spills, petroleum contaminants, Tallgrass Prairie Perserve, Pawhuska, OK, chemical contaminants, soils, hazardous waste identification, passive sampling devices, microbes, petroleum, toxics, petrochemicals, degradation, oil biodegradation, hazardous waste characterization, sampling

Progress and Final Reports:

Original Abstract
  • 1999 Progress Report

  • Main Center Abstract and Reports:

    R827015    Center for the Study of Metals in the Environment

    Subprojects under this Center: (EPA does not fund or establish subprojects; EPA awards and manages the overall grant for this center).
    R827015C001 Evaluation of Road Base Material Derived from Tank Bottom Sludges
    R827015C002 Passive Sampling Devices (PSDs) for Bioavailability Screening of Soils Containing Petrochemicals
    R827015C003 Demonstration of a Subsurface Drainage System for the Remediation of Brine-Impacted Soil
    R827015C004 Anaerobic Intrinsic Bioremediation of Whole Gasoline
    R827015C005 Microflora Involved in Phytoremediation of Polyaromatic Hydrocarbons
    R827015C006 Microbial Treatment of Naturally Occurring Radioactive Material (NORM)
    R827015C007 Using Plants to Remediate Petroleum-Contaminated Soil
    R827015C008 The Use of Nitrate for the Control of Sulfide Formation in Oklahoma Oil Fields
    R827015C009 Surfactant-Enhanced Treatment of Oil-Contaminated Soils and Oil-Based Drill Cuttings
    R827015C010 Novel Materials for Facile Separation of Petroleum Products from Aqueous Mixtures Via Magnetic Filtration
    R827015C011 Development of Relevant Ecological Screening Criteria (RESC) for Petroleum Hydrocarbon-Contaminated Exploration and Production Sites
    R827015C012 Humate-Induced Remediation of Petroleum Contaminated Surface Soils
    R827015C013 New Process for Plugging Abandoned Wells
    R827015C014 Enhancement of Microbial Sulfate Reduction for the Remediation of Hydrocarbon Contaminated Aquifers - A Laboratory and Field Scale Demonstration
    R827015C015 Locating Oil-Water Interfaces in Process Vessels
    R827015C016 Remediation of Brine Spills with Hay
    R827015C017 Continuation of an Investigation into the Anaerobic Intrinsic Bioremediation of Whole Gasoline
    R827015C018 Using Plants to Remediate Petroleum-Contaminated Soil
    R827015C019 Biodegradation of Petroleum Hydrocarbons in Salt-Impacted Soil by Native Halophiles or Halotolerants and Strategies for Enhanced Degradation
    R827015C020 Anaerobic Intrinsic Bioremediation of MTBE
    R827015C021 Evaluation of Commercial, Microbial-Based Products to Treat Paraffin Deposition in Tank Bottoms and Oil Production Equipment
    R827015C022 A Continuation: Humate-Induced Remediation of Petroleum Contaminated Surface Soils
    R827015C023 Data for Design of Vapor Recovery Units for Crude Oil Stock Tank Emissions
    R827015C024 Development of an Environmentally Friendly and Economical Process for Plugging Abandoned Wells
    R827015C025 A Continuation of Remediation of Brine Spills with Hay
    R827015C026 Identifying the Signature of the Natural Attenuation of MTBE in Goundwater Using Molecular Methods and "Bug Traps"
    R827015C027 Identifying the Signature of Natural Attenuation in the Microbial Ecology of Hydrocarbon Contaminated Groundwater Using Molecular Methods and "Bug Traps"
    R827015C028 Using Plants to Remediate Petroleum-Contaminated Soil: Project Continuation
    R827015C030 Effective Stormwater and Sediment Control During Pipeline Construction Using a New Filter Fence Concept
    R827015C031 Evaluation of Sub-micellar Synthetic Surfactants versus Biosurfactants for Enhanced LNAPL Recovery
    R827015C032 Utilization of the Carbon and Hydrogen Isotopic Composition of Individual Compounds in Refined Hydrocarbon Products To Monitor Their Fate in the Environment
    R830633 Integrated Petroleum Environmental Consortium (IPEC)
    R830633C001 Development of an Environmentally Friendly and Economical Process for Plugging Abandoned Wells (Phase II)
    R830633C002 A Continuation of Remediation of Brine Spills with Hay
    R830633C003 Effective Stormwater and Sediment Control During Pipeline Construction Using a New Filter Fence Concept
    R830633C004 Evaluation of Sub-micellar Synthetic Surfactants versus Biosurfactants for Enhanced LNAPL Recovery
    R830633C005 Utilization of the Carbon and Hydrogen Isotopic Composition of Individual Compounds in Refined Hydrocarbon Products To Monitor Their Fate in the Environment
    R830633C006 Evaluation of Commercial, Microbial-Based Products to Treat Paraffin Deposition in Tank Bottoms and Oil Production Equipment
    R830633C007 Identifying the Signature of the Natural Attenuation in the Microbial Ecology of Hydrocarbon Contaminated Groundwater Using Molecular Methods and “Bug Traps”
    R830633C008 Using Plants to Remediate Petroleum-Contaminated Soil: Project Continuation
    R830633C009 Use of Earthworms to Accelerate the Restoration of Oil and Brine Impacted Sites

    Top of Page

    The perspectives, information and conclusions conveyed in research project abstracts, progress reports, final reports, journal abstracts and journal publications convey the viewpoints of the principal investigator and may not represent the views and policies of ORD and EPA. Conclusions drawn by the principal investigators have not been reviewed by the Agency.

    Project Research Results

    • 1999 Progress Report
    • Original Abstract
    5 publications for this subproject
    1 journal articles for this subproject
    Main Center: R827015
    120 publications for this center
    16 journal articles for this center

    Site Navigation

    • Grantee Research Project Results Home
    • Grantee Research Project Results Basic Search
    • Grantee Research Project Results Advanced Search
    • Grantee Research Project Results Fielded Search
    • Publication search
    • EPA Regional Search

    Related Information

    • Search Help
    • About our data collection
    • Research Grants
    • P3: Student Design Competition
    • Research Fellowships
    • Small Business Innovation Research (SBIR)
    Contact Us to ask a question, provide feedback, or report a problem.
    Last updated April 28, 2023
    United States Environmental Protection Agency

    Discover.

    • Accessibility
    • Budget & Performance
    • Contracting
    • EPA www Web Snapshot
    • Grants
    • No FEAR Act Data
    • Plain Writing
    • Privacy
    • Privacy and Security Notice

    Connect.

    • Data.gov
    • Inspector General
    • Jobs
    • Newsroom
    • Open Government
    • Regulations.gov
    • Subscribe
    • USA.gov
    • White House

    Ask.

    • Contact EPA
    • EPA Disclaimers
    • Hotlines
    • FOIA Requests
    • Frequent Questions

    Follow.