Skip to main content
U.S. flag

An official website of the United States government

Here’s how you know

Dot gov

Official websites use .gov
A .gov website belongs to an official government organization in the United States.

HTTPS

Secure .gov websites use HTTPS
A lock (LockA locked padlock) or https:// means you have safely connected to the .gov website. Share sensitive information only on official, secure websites.

  • Environmental Topics
  • Laws & Regulations
  • Report a Violation
  • About EPA
Contact Us

Grantee Research Project Results

Final Report: Biochar-Geomedia Water Filter for the Colonias, South Texas

EPA Grant Number: SU839900
Title: Biochar-Geomedia Water Filter for the Colonias, South Texas
Investigators: Kang, James Jihoon , Kim, Jomgmin
Institution: University of Texas Rio Grande Valley
EPA Project Officer: Page, Angela
Phase: I
Project Period: October 1, 2019 through September 30, 2020 (Extended to September 30, 2021)
Project Amount: $24,875
RFA: P3 Awards: A National Student Design Competition Focusing on People, Prosperity and the Planet (2019) RFA Text |  Recipients Lists
Research Category: Urban Air Toxics , Heavy Metal Contamination of Soil/Water , P3 Awards , P3 Challenge Area - Safe and Sustainable Water Resources

Objective:

The colonia households near Donna Canal and Reservoir (Superfund site) in Hidalgo County, Texas, have concerns about their water quality associated with elevated level of lead (Pb2+) and polychlorinated biphenyls (PCB) and there is a need for a more sustainable and cost-effective a point-of-use filter media to remove Pb2+ and PCB in water. A proto-type filter made of locally sourced biomass (biochar) and geomaterial (pumice) in a mixed media was evaluated for Pb2+ adsorption while PCB adsorption by the biochar was tested in a batch adsorption experiment. A total of 9 biochar materials consisting of three biomass types (avocado seed, aspen bedding, and palm tree bark) pyrolyzed at three pyrolysis temperatures (400, 600, and 900 °C) were produced and tested for their performance for Pb2+ and PCB removal in water (Fig 1). Specific objectives were to 1) characterize the biochar materials for selected physicochemical properties, 2) test the biochar materials under varying initial pH conditions for Pb2+ adsorption, and 3) determine the sorption capacity of biochar materials for Pb2+ and PCB, and 4) evaluate biochar-pumice filter column for Pb2+ removal.

Figure 1

Fig 1. Biomasses (feedstocks) and their respective biochars.

Summary/Accomplishments (Outputs/Outcomes):

Overall biochar yield decreased with increasing pyrolysis temperatures. Palm tree (PT) biochars (29-50 %) showed higher yield than avocado seed (AB) biochars (25-30 %) and aspen bedding (AE) biochars (13-19 %), indicating PT biochars was produced more per same amount of feedstocks compared to other biochar types Biochar pyrolyzed at higher temperature exhibited more opened pore than low temperature biochars according to SEM Micrographs of biochar materials.

Pb2+ adsorption onto the biochar materials was pH dependent and PT biochars were the most effective in removing Pb2+ (Fig 2). The measured data were fitted well with the Langmuir model indicating mono-layer adsorption of Pb2+ onto the biochar materials (R2 = 0.92-0.99). PT biochar yielded the greatest Smax (41 mg g-1 for PT400, 44 mg g-1 for PT600, and 42 mg g-1 for PT800) followed by BE800 (32 mg g-1) and AB800 (27 mg g-1).

Figure 2

Fig 2. Pb2+ adsorption isotherm affected by biochar types. Fitted line was constructed with the Langmuir adsorption isotherm model. The pH was constant at 6.0 across the samples.

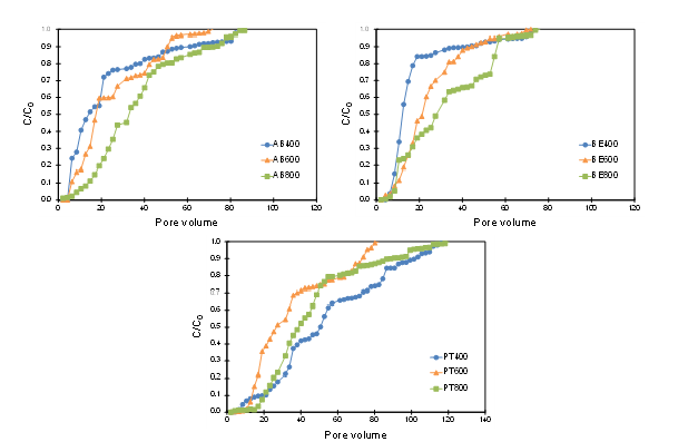
Filter breakthrough experiment of Pb2+ (influent = 50 mg L-1) confirmed that PT biochar filter was the most efficient in treating Pb2+ (retardation of Pb2+ between 27 to 51) compared to AB biochar (14–33) and BE biochar (12-28) (Fig 3). Note that the higher retardation value is, the longer life span of the filter is (treating more water). Biochar characterization data suggested that oxygen-containing functional groups and volatile matters in the biochar materials were the key factors in affecting Pb2+ removal.

Figure 3

Fig 3. Relative concentration of Pb2+ as a function of pore volume in biochar-pumice filter experiment

The PCB removal in water was the most effective with avocado biochars (50-63 % removal) followed by aspen bedding (34-51 %) and palm tree biochars (17-31 %) when the biochar materials were equilibrated with 10 mg L-1 of Aroclor 1254 (Fig 4). Low temperature biochars (400°C) was favored for the PCB removal in water.

Figure 4

Fig 4. Adsorption of PCB by biochar as a function of pyrolysis temperature and feedstock.

This project found that PT biochar particularly with low temperature (PT 400) performed the best in removing Pb2+ from aqueous solution. These findings were supported by batch adsorption experiment and retardation of Pb2+ in biochar-pumice filter column experiment. Palm tree is very common in South Texas, and it can be easily obtained in a large quantity after the tree trimming. For the low-income community (colonias) experiencing cationic heavy metal pollution, PT biochar could be a promising treatment filter media. Avocado seed biochars were favored for the PCB removal and low temperature biochars (AB400) performed better. Blending This project found that PT biochar particularly with low temperature (PT 400) performed the best in removing Pb2+ from aqueous solution. These findings were supported by batch adsorption experiment and retardation of Pb2+ in biochar-pumice filter column experiment. Palm tree is very common in South Texas, and it can be easily obtained in a large quantity after the tree trimming. For the low-income community (colonias) experiencing cationic heavy metal pollution, PT biochar could be a promising treatment filter media. Avocado seed biochars were favored for the PCB removal and low temperature biochars (AB400) performed better. Blending PT and AB biochars may enhance simultaneous removal of Pb2+ and PCB in water.  

Journal Articles:

No journal articles submitted with this report: View all 4 publications for this project

Supplemental Keywords:

Biochar, Pumice, Water filter, Lead, PCBs, Adsorption, Breakthrough Curve

Progress and Final Reports:

Original Abstract
  • 2020 Progress Report
  • Top of Page

    The perspectives, information and conclusions conveyed in research project abstracts, progress reports, final reports, journal abstracts and journal publications convey the viewpoints of the principal investigator and may not represent the views and policies of ORD and EPA. Conclusions drawn by the principal investigators have not been reviewed by the Agency.

    Project Research Results

    • 2020 Progress Report
    • Original Abstract
    4 publications for this project

    Site Navigation

    • Grantee Research Project Results Home
    • Grantee Research Project Results Basic Search
    • Grantee Research Project Results Advanced Search
    • Grantee Research Project Results Fielded Search
    • Publication search
    • EPA Regional Search

    Related Information

    • Search Help
    • About our data collection
    • Research Grants
    • P3: Student Design Competition
    • Research Fellowships
    • Small Business Innovation Research (SBIR)
    Contact Us to ask a question, provide feedback, or report a problem.
    Last updated April 28, 2023
    United States Environmental Protection Agency

    Discover.

    • Accessibility
    • Budget & Performance
    • Contracting
    • EPA www Web Snapshot
    • Grants
    • No FEAR Act Data
    • Plain Writing
    • Privacy
    • Privacy and Security Notice

    Connect.

    • Data.gov
    • Inspector General
    • Jobs
    • Newsroom
    • Open Government
    • Regulations.gov
    • Subscribe
    • USA.gov
    • White House

    Ask.

    • Contact EPA
    • EPA Disclaimers
    • Hotlines
    • FOIA Requests
    • Frequent Questions

    Follow.